Serviços Personalizados
Journal
Artigo
Indicadores
-
Citado por SciELO -
Acessos
Links relacionados
-
Similares em
SciELO
Compartilhar
Revista de Ciências Agrárias
versão impressa ISSN 0871-018X
Rev. de Ciências Agrárias vol.42 no.4 Lisboa dez. 2019
https://doi.org/10.19084/rca.17301
ARTIGO
Efeito da palha de cana-de-açúcar e da precipitação na eficácia de indaziflam
Effect of sugarcane straw and precipitation on indaziflam efficacy
Paulo Vinicius da Silva1,*, Rafael Botacine Alves2, Marcelo Rafael Malardo3, Pedro Henrique Nanini Duarte3, Nágilla Moraes Ribeiro4, Roque de Carvalho Dias5, Patrícia Andrea Monquero4 e Pedro Jacob Christoffoleti3
1 Universidade Federal da Grande Dourados (UFGD)- Faculdade de Ciências Agrárias Dourados, Mato Grosso do Sul, Brasil
2 Centro Universitário da Fundação de Ensino Octavio Bastos (UNIFEOB) São João da Boa Vista, São Paulo, Brasil
3 Escola Superior de Agricultura Luiz de Queiroz da Universidade de São Paulo (ESALQ/USP) -Piracicaba, São Paulo, Brasil
4 Universidade Federal de São Carlos, Centro de Ciências Agrárias (UFSCar/CCA) -, Araras, São Paulo, Brasil
5 Universidade Estadual Paulista (Unesp), Faculdade de Ciências Agronômicas, Botucatu, São Paulo, Brasil
(*E-mail: paulo.vinicius@unifeob.pro.br)
RESUMO
A quantidade de palha sobre o solo, após a colheita da cana-de-açúcar, afeta a emergência de plantas daninhas e o comportamento de herbicidas residuais. O objetivo deste trabalho consistiu em estudar a eficácia de diferentes doses do herbicida indaziflam no controle de plantas daninhas monocotiledóneas, quando aplicados em quantidades diferentes de palha de cana-de-açúcar e de precipitação. O delineamento experimental foi inteiramente casualizado, em esquema fatorial 4 x 2, com quatro repetições, sendo quatro quantidades de palha (0, 2, 5 e 10 t ha-1) e duas doses de indaziflam (75 e 100 g ha-1). Esse fatorial foi isolado para a simulação da precipitação (10, 30 e 40 mm) e plantas daninhas (Urochloa plantaginea, Digitaria nuda, Panicum maximume Rottboelia exaltata). Para todas as doses de herbicida, valores de simulação de chuva e plantas daninhas o controle foi superior a 80% em 0 t ha-1 de palha. Para Urochloa plantaginea, Panicum maximum e Rottboellia exaltata, na dose 75 g ha-1 de indaziflam, o controle foi menor nas maiores quantidades de palha. O controle de Digitaria nudafoi superior a 90% em todos os tratamentos. Em síntese, a eficácia do herbicida indaziflam pode ser afetada negativamente pela quantidade de palha e de precipitação.
Palavras-chave:remoção-de-palha,herbicida, monocotiledóneas, lâminas de água.
ABSTRACT
The amount of straw on the soil after a harvest of sugarcane affects the weed emergency in the field and the behaviour of the pre-emergent herbicides. The objective of this work was to study the effectiveness of the indaziflam herbicide in the control of monocotyledon weeds, when to spread in different rates, amount of sugarcane straw and rainfall simulations. The experimental design was completely randomized, in a 4 x 2 factorial scheme, with four replications, being four straw amounts (0, 2, 5 and 10 t ha-1) and two indaziflam doses (75 and 100 g ha -1). This factorial was isolated for rain (10, 30 and 40 mm) and weeds (Urochloa plantaginea, Digitaria nuda, Panicum maximum and Rottboelia exaltata). For all doses of herbicide, rainfall simulations and weed, the control was higher than 80% in 0 t ha-1 of straw. For Urochloa plantaginea, Panicum maximum and Rottboellia exaltata, at the dose of 75 g ha-1 of indaziflam, the control was lower in the larger amounts of straw. Digitaria nuda control was greater than 90% in all treatments. In conclusion, the amount of straw and rainfall can have a negative effect on weed control through indaziflam.
Keywords:herbicide, monocotyledons, straw removal, water blades.
INTRODUÇÃO
No sistema de produção de cana-de-açúcar (Saccarum officinarum L.), também denominado cana-crua, há a manutenção e a acumulação de grandes quantidades de palha na superfície do solo. Nesse sistema, após a realização da colheita sem queima prévia, é possível observar no campo uma quantidade de palha que permanece na superfície do solo, variando entre 10 a 20 t ha-1 (Souza et al., 2005). Esse material pode funcionar como uma fonte alternativa para cogeração de bioeletricidade, agregando valor na agroindústria sucroalcooleira (Dantas, 2010). Logo, algumas empresas têm recolhido a palha presente na superfície do solo e destinando esse material para a produção de energia elétrica. Essa remoção pode ser total ou parcial, culminando em quantidades variáveis de palha presente na superfície do solo em áreas canavieiras (Coelho et al., 2016).
Christoffoleti e Nicolai (2012) avaliaram as áreas onde a palha de cana-de-açúcar é totalmente removida e constataram uma exposição da superfície do solo de até 66%. Tal efeito pode favorecer a germinação e emergência de plantas daninhas monocotiledóneas, as quais poderiam ser controladas pela presença da palha (Monquero et al., 2008, 2011).
Diversos trabalhos avaliaram o efeito positivo no controle de espécies de plantas daninhas pela palha cana-de-açúcar como Amaranthus hybridus L., Cyperus rotundus L., Sida rhombifolia L. e Sida spinosa L. (Martins et al., 1999, Rodrigues et al., 2000; Silva et al., 2003; Correia e Durigan, 2004). Paralelamente, nas operações em que a palha é recolhida para a produção de energia e/ou acumulação, apenas algumas fileiras, podem resultar na perda do efeito de controle de plantas daninhas através da palha.
Concenço et al. (2017) observaram que onde ocorreu processo de acumulação de palha nas entrelinhas houve maiores níveis de infestação de plantas daninhas em comparação a áreas em que não houve remoção da palha. Além disso, notaram aumento na densidade de plantas monocotiledóneas, como, por exemplo, Commelina benghalensisL., Digitaria insularis(L.) Fedde, Digitaria horizontalis Willd e Urochloa plantaginea(Link) R.D. Webster. Também, segundo Aimar e Durigan (2001), em canaviais com remoção de palha pode ocorrer um aumento do número de espécies monocotiledóneas da família Poaceae, como por exemplo as dos géneros Digitaria, Rottboelia, Panicume Urochloa.
O controlo químico de plantas daninhas em canaviais em que a palha é mantida na superfície do solo é mais complexo, pois esse material pode afetar a eficácia de herbicidas com ação exclusiva e/ou preferencial no solo, pois atua como uma barreira física, que impede os herbicidas de atingirem o solo (Christoffoleti e Ovejero, 2009). Dessa forma, os herbicidas interceptados pela palha de cana-de-açúcar estão sujeitos à retenção, volatilização, degradação térmica e à fotólise, até que sejam transportados para o solo (Selim et al., 2003). Esse transporte é dependente de diversos fatores, tais como, a quantidade e a origem do resíduo, as características do herbicida e as condições climáticas, bem como do intervalo entre a aplicação e a ocorrência de precipitação (Cavenaghi et al., 2007; Da Silva e Monquero, 2013; Carbonari et al., 2016).
O herbicida indaziflam, pertence à família química denominada nitrilos (HRAC Group L), apresenta registro para cana-de-açúcar, e tem como mecanismo de ação a inibição da biossíntese de celulose (Tompkins, 2010). Apresenta amplo espectro de ação, controlando tanto monocotiledóneas quanto eudicotiledôneas, em tratamentos de pré-emergência e de pós-emergência inicial (Brosnan et al., 2011, 2012). Quanto às características físico-químicas, o indaziflam apresenta baixa solubilidade em água (2010 mg L-1) e baixo Kow (2.0 a pH=2.00; 2.8 a pH=4 e pH=9), podendo apresentar consideráveis perdas por retenção após a aplicação.
Da Silva et al. (2018) observaram maior interceptação do produto pela palha de cana-de-açúcar, sendo necessário uma maior quantidade de precipitação para que ocorra a transposição do produto da palha até a superfície do solo. Segundo Cavenaghi et al. (2007) é necessário uma precipitação equivalente a um mínimo de 20 mm para que ocorra a mobilidade de herbicidas de alta solubilidade através da palha, no entanto essa quantidade de precipitação pode ser maior no caso de herbicidas lipofílicos, como por exemplo o indaziflam (Da Silva et al., 2018). Guerra et al. (2015) verificaram que a simulação de precipitação de 20 mm sobre a palha (10 t ha-1) é indispensável para promover o transporte do indaziflam até o solo onde irá exercer a sua ação como herbicida de pré-emergência.
Diante do exposto, o objetivo deste trabalho foi estudar a eficácia de diferentes doses do herbicida indaziflam no controle de plantas daninhas monocotiledóneas, quando aplicado em diferentes quantidades de palha de cana-de-açúcar e de diferentes simulações de precipitação.
MATERIAL E MÉTODOS
Os ensaios decorreram em estufa pertencente ao Departamento de Produção Vegetal da Escola Superior de Agricultura "Luiz de Queiroz" - ESALQ/USP, no município de Piracicaba/SP, Brasil.
O delineamento experimental utilizado foi inteiramente casualizado, organizado em esquema fatorial 4 x 2, com quatro repetições, sendo o primeiro fator palha de cana-de-açúcar (0, 2, 5 e 10 t ha-1) e o segundo fator dose do herbicida indaziflam (75 e 100 g ha-1). Esse esquema fatorial foi isolado para as três diferentes quantidades de chuva (10; 30 e 40 mm) e para as espécies monocotiledóneas de plantas daninhas Urochloa plantaginea(Link) R.D.Webster., Digitaria nudaSchumach., Panicum maximumJacq e Rottboelia exaltataL.f.
As unidades experimentais foram constituídas por vasos plásticos de polietileno com capacidade para 10 L, preenchidos com Latossolo Vermelho distrófico oriundo da camada arável, previamente peneirado. Esse solo foi colhido em área sem histórico de utilização de herbicidas e as suas características químicas e físicas foram analisadas no laboratório de solos da ESALQ/USP (Quadro 1).
Na sequência, as sementes das espécies daninhas foram semeadas de maneira individual nos vasos, ou seja, em cada vaso foi semeada uma única espécie, evitando dessa forma a competição interespecífica. Utilizou-se uma quantidade de sementes suficiente para proporcionar 10 plantas por vaso, de acordo com as informações prévias de germinação fornecidas pela empresa Agrocosmos, onde foram adquiridas as sementes de plantas daninhas. Sendo: 0,12 g para U. plantaginea;0,15 g para P. maximum;0,23 g para D. nuda e 0,51 g para R. exaltata.A sementeira foi realizada à profundidade de 1 cm do perfil do solo.
A palha de cana-de-açúcar utilizada no presente estudo foi retirada de um canavial logo após a colheita e antes da aplicação de herbicidas, evitando dessa forma a sua decomposição no campo e a contaminação. Posteriormente, essa palha foi seca ao ar, picada de forma manual com auxílio de tesouras, e na sequência esse material foi distribuído na superfície dos vasos de forma homogénea, visando se estabelecer as quantidades de palha proporcionais em toneladas por hectare de cada tratamento.
Os tratamentos foram constituídos pelas doses de 75 e 100 g ha-1 do indaziflam, as quais foram aplicadas na condição de pré-emergência das plantas daninhas, no mesmo dia em que foi realizada a sementeira das plantas daninhas, com auxílio de um pulverizador de dorso pressurizado a CO2, com pressão de 2.0 bar, provido de barra de pulverização contendo quatro bicos tipo leque Teejet 110.02 e com volume de aplicação de 200 L ha-1. No momento da aplicação as condições meteorológicas foram as seguintes: temperatura = 28,2 ºC; umidade relativa do ar = 58,8% e velocidade do vento = 2,6 km h-1.
Após aplicação dos tratamentos, as unidades experimentais foram submetidas a três diferentes simulações de precipitação (10, 30 e 40 mm). Essa simulação foi realizada através de um sistema de irrigação por aspersão com débito de 1 L min-1, na qual os vasos foram irrigados por tempo suficiente para proporcionar as respectivas quantidades de precipitação. Posteriormente, a irrigação foi desligada por um período de 48-h, possibilitando dessa forma, que a palha na superfície dos vasos secasse. Assim, a palha foi retirada dos vasos, a fim de se estudar apenas a interceptação do herbicida e não o efeito de barreira física como supressão da germinação. Após esse processo, os vasos foram mantidos com irrigação diária equivalente a 10 mm, conforme proposto por Hixson (2008).
As avaliações visuais de controle das plantas daninhas ocorreram aos 7, 14, 21, 28 e 35 dias após a emergência das plantas daninhas (DAE) e foram baseadas na escala visual da Alam (1974), que utiliza uma escala percentual de notas, onde zero corresponde a ausência de controle (0%) e100 corresponde à morte das plantas (100%). Aos 35 DAE foi realizada a avaliação de massa seca da parte aérea (MSPA). Para isso, as plantas remanescentes nos tratamentos foram cortadas rentes ao solo, acondicionadas em sacos de papel e levadas para uma estufa de circulação forçada (70º C), onde permaneceram por 48 horas, até atingirem peso constante.
Os dados foram submetidos à análise de variância pelo teste F, e as médias foram comparadas por meio do teste de Tukey, utilizando-se o programa estatístico AgroEstat®. Quando significativos, foram analisados com o emprego de regressões não lineares, com o auxílio do programa SigmaPlot®.
RESULTADOS
Em relação aos dados obtidos, nota-se que houve interação entre as quantidades de palha e as doses do herbicida indaziflam, nas quantidades de precipitação de 10 e 30 mm, no controle e redução de massa seca da parte aérea (MSPA) de Urochloa plantaginea (Figuras 1A e 1B). Na simulação de precipitação de 10 mm (Figura 1A), na dose de 75 g ha-1, o controle foi de 83,5 e 78% e a redução da MSPA de 85 e 75%, nas aplicações sobre 5 e 10 t ha-1 de palha de cana-de-açúcar, respectivamente, nos outros tratamentos o controle foi superior a 80%. Já na dose de 100 g ha-1 o controle e a redução de MSPA, pode ser considerado excelente com porcentagens de 100%, para todas as quantidades de palha (0; 2; 5 e 10 t ha-1). Para a simulação de 30 mm de precipitação (Figura 1B) e a aplicação da dose de 75 g ha-1, a eficácia do herbicida foi de 75% na quantidade de palha de 10 t ha-1, mas na dose de 100 g ha-1 a eficácia foi de 100% em todas as quantidades de palha.
Na Quadro 2 são apresentados os dados de controle e redução de MSPA para Urochloa plantagineaaos 35 DAE, com simulação de 40 mm de precipitação. Não se obteve interação significativa, contudo, a análise das médias mostra que, independentemente da dose e da quantidade de palha, o controle foi superior a 97%, em todos os tratamentos.
Já para Digitaria nuda, aos 35 DAE, com simulação de 10 mm de precipitação (Figura 2), observou-se interação entre os fatores, palha e dose de indaziflam. Independentemente da dose de indaziflam, o controle foi eficaz, com porcentagens superiores a 90%. A redução da MSPA acompanhou as porcentagens de controle, ou seja, à medida que a porcentagem de controle de Digitaria nuda diminui, a redução na massa seca também diminui, com porcentagens de redução superiores a 92%.
Na Quadro 3, estão expressos os resultados de controle e a redução da MSPA de Digitaria nudaaos 35 DAE, na simulação de 30 mm de precipitação, nessa interação não houve diferença significativa. No entanto em todos os tratamentos o controle foi superior a 97% e a redução da MSPA foi superior a 95%.
O controle e a redução da MSPA de Digitaria nudaaos 35 DAE, na simulação de precipitação de 40 mm, não apresentaram interação fatorial significativa, no entanto o controle dessa espécie foi considerado excelente, pois a menor porcentagem foi de 96,3% mediante a aplicação de 75 g ha-1 de indazifam sobre 10 t ha-1 (Quadro 4).
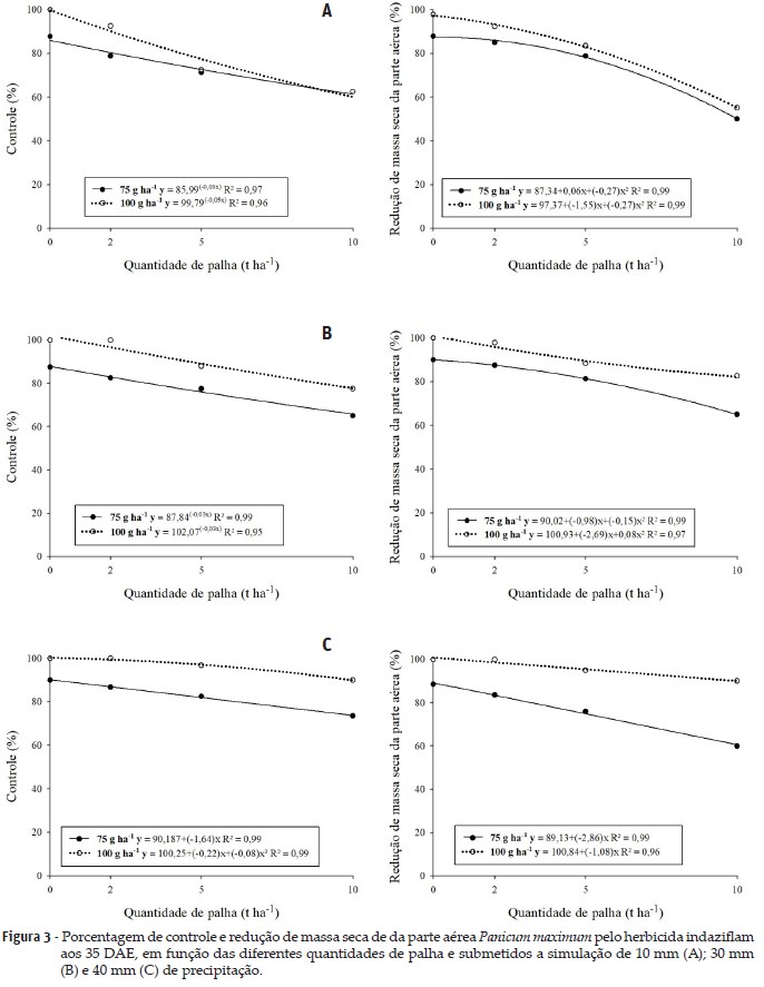
Em relação às porcentagens de controle e de redução de MSPA de Panicum maximumaos 35 DAE, proporcionadas pelas diferentes doses de indaziflam, quando submetidos a simulação de 10, 30 e 40 mm de precipitação, observou-se interação significativa (Figura 3). De maneira geral, ocorreu diminuição do controle Panicum maximum à medida que houve aumento da quantidade de palha na superfície do solo. Na simulação de 10 mm de precipitação, observou-se que na dose de 75 g ha-1, a partir da quantidade de 2 t ha-1, o controle foi insuficiente, com porcentagens inferiores a 80%. Já em relação a dose de 100 g ha-1, o controle foi inferior a 80% nas quantidades de palha de 5 e 10 t ha-1. Na simulação de 30 mm de precipitação na dose de 100 g ha-1 o controle de Panicum maximum foi satisfatório, superior a 80%, independentemente da quantidade de palha. A aplicação da dose de 75 g ha-1 do herbicida indaziflam, foi eficaz nas aplicações sobre 0 e 2 t ha-1 de palha. Esses resultados demonstram que o aumento da dose de indaziflam pode ser uma alternativa viável para aplicação sobre maiores quantidades de palha (Figura 3). Já para a simulação de precipitação de 40 mm, aplicação da dose de 75 g ha-1 o controle de Panicum maximum não foi adequado apenas na aplicação sobre 10 t ha-1de palha, com uma porcentagem de controle próxima a 75%. Na dose 100 g ha-1 o controle de Panicum maximumfoi excelente independentemente da quantidade de palha. No entanto, para ambas as doses (75 g ha-1e 100 g ha-1), as porcentagens de controle e de redução de biomassa sofreram diminuição à medida que a quantidade de palha foi aumentando na superfície do solo (Figura 3).
No controle e redução da MSPA de Rottboelia exaltata, para os fatores a quantidade de palha e doses de indaziflam, observou-se interação significativa aos 35 DAE nas três quantidades de precipitação. Na simulação de 10 mm de precipitação, para a dose de 75 g ha-1 o controle foi efetivo nas quantidades de 0 e 2 t ha-1, com porcentagens superiores a 80%, na dose de 100 g ha-1 apenas na quantidade de 10 t ha-1, o controle foi inferior a 75% (Figura 4A).
Na simulação de precipitação de 30 mm, em ambas as doses (75 e 100 g ha-1), o controle e redução da MSPA de Rottboelia exaltataaos 35 DAE, foi inadequado (inferior a 80%), nas aplicações sobre 10 t ha-1. Estes resultados demonstram que o aumento da quantidade de palha culminou na redução na porcentagem de controle. O controle de Rottboelia exaltata diminui em função do aumento da quantidade de palha, a redução da MSPA também apresentou esse padrão de decréscimo nas suas porcentagens (Figura 4B). Os resultados de controle e redução da MSPA de Rottboelia exaltataaos 35 DAE, mediante a simulação de 40 mm de precipitação estão expostos na Figura 4C. A porcentagem de controle e a redução de MSPA foram influenciadas pelo aumento da quantidade de palha no momento da aplicação, independente da dose de indaziflam utilizada (75 e 100 g ha-1). Na dose de 75 g ha-1 o controle foi excelente com porcentagens superiores a 90% para as quantidades de palha de 0, 2 e 5 t ha-1, já para quantidade de 10 t ha-1, o controle foi inferior a 80%. Na dose de100 g ha-1 o controle foi superior a 80% independentemente da quantidade de palha.
DISCUSSÃO
Uma observação relevante é que a quantidade de palha de cana-de-açúcar na superfície do solo no momento da aplicação do indaziflam influenciou de forma significativa e negativa a sua eficácia sobre o controle de plantas daninhas. Esse comportamento foi comprovado para os resultados obtidos na aplicação de 75 g ha-1 de indaziflam na ausência de palha em que se obteve eficácia em Urochloa plantaginea, Digitaria nuda, Panicum maximum e Rottboelia exaltata, independentemente da precipitação simulada (10, 30 e 40 mm).
Ressalta-se que as variações na eficácia em função da quantidade de palha foram ainda mais expressivas na simulação da precipitação de 10 mm, ou seja, quanto menor a quantidade de precipitação após aplicação do indaziflam menores foram as porcentagens de controle. Estes resultados indicam que aplicações de indaziflam sobre maiores quantidades de palha de cana-de-açúcar, podem interferir de forma negativa na eficácia deste herbicida no controle de plantas daninhas.
No entanto, o aumento da dose aplicada de 75 para 100 g ha-1, em relação as quantidades de palha de 5 e 10 t ha-1, induziram o aumento das porcentagens de controle. De maneira geral, esse aumento foi ainda mais expressivo, quanto maior a quantidade de precipitação simulada após a aplicação dos tratamentos de indaziflam. Vale destacar que esse comportamento sofreu variações em função das espécies estudadas (U. plantaginea, D. nuda, P. maximum e R. exaltata) e das doses do herbicida, que variam entre 75 e 100 g ha-1 (Rodrigues e Almeida, 2018).
Desta forma, pode inferir-se que quanto maior a quantidade de palha presente na superfície do solo no momento da aplicação do indaziflam menor será a sua eficácia, indicando uma possível interceptação e/ou adsorção do herbicida na palha de cana-de-açúcar, e diminuindo assim a quantidade que é arrastada para o solo. Estes resultados podem ser justificados pelas características físico-químicas do indaziflam, visto que se trata de um produto com baixa solubilidade em água (0,0028 kg m-3 a 20°C) e log Kow em pH 4; 7 ou 9 = 2,8, sendo considerado moderadamente móvel (Tompkins, 2010) ou pouco móvel no solo (Alonso et al., 2011; Jhala et al., 2012; Jhala e Singh, 2012).
Essa situação foi comprovada por Clark et al. (2019), os quais aplicando indaziflam sobre palha de Bromus tectorum e realizando simulações de precipitações, verificaram que uma maior quantidade do herbicida foi interceptada, quando a aplicação ocorreu sobre uma maior quantidade de palha (2600 kg ha-1) quando comparado com a menor quantidade (1300 kg ha-1). A recuperação de indaziflam interceptado na palha, quando as simulações de precipitação ocorreram aos 0 dias após a aplicação dos tratamentos, foi equivalente a 9,3% na precipitação de 3 mm e de 53,7% para precipitação de 24 mm. Estes resultados reforçam os dados encontrados no presente trabalho, pois demonstram que a aplicação de herbicidas de caráter lipofílico sobre palha, apresentam uma tendência de serem retidos e/ou interceptados. Essa retenção torna-se ainda maior em detrimento da maior quantidade de palha presente na superfície do solo.
Logo na aplicação de herbicidas lipofílicos sobre palha de cana-de-açúcar, pequenas quantidades de precipitação podem ser insuficientes para promover o arrastamento em quantidades suficientes do herbicida para promover o controle adequado das plantas daninhas (Da Silva, 2018; Clark et al., 2019). Isto é, a quantidade de precipitação que ocorre após aplicação dos tratamentos de herbicidas é fundamental para proporcionar a transposição desses produtos da palha para o solo, culminando no controle adequado das plantas daninhas (Maciel e Velini, 2005). Nas aplicações de herbicidas de pré-emergência das plantas daninhas sobre palha de cana-de-açúcar, a água (seja oriunda da precipitação ou de irrigação) torna-se essencial para promover o transporte para o solo (Simoni et al., 2006).
Rossi et al. (2013), aplicando metribuzina (1,92 kg ha-1) sobre diferentes quantidades de palha de cana-de-açúcar e com simulações de precipitações de 2,5, 5, 10, 15, 20, 35, 50 e 100 mm, um dia após a aplicação (DAA), observaram que, nas aplicações sobre 20 t ha-1 mais de 99% da metribuzina foi extraída na lâmina de precipitação de 30 mm. Nos tratamentos de 5, 10 e 15 t ha-1, o valor de mais de 99% de extração de metribuzina da palha de cana-de-açúcar foi obtido pela precipitação simulada de 22, 21,5 e 24 mm, respectivamente. Salienta-se que esse herbicida apresenta uma alta solubilidade em água (1100 mg L-1 a 20 °C).
No presente estudo, a simulação de precipitação de 10 mm apresentou maior eficácia no controle das plantas daninhas quando as aplicações ocorreram sobre 0 e 2 t ha-1 de palha, em comparação com as aplicações sobre 5 e 10 t ha-1 de palha. Dessa forma, o aumento da quantidade de precipitação pode favorecer o transporte do indaziflam, inicialmente posicionado na palha de cana-de-açúcar para a solução do solo, onde ele irá exercer sua ação como herbicida pré-emergente, culminando em controle adequado das plantas daninhas.
Esse comportamento foi comprovado por Da Silva (2018), que verificou uma adsorção de indaziflam superior a 80% independentemente da sua concentração (0,125, 0,5 e 1 ppm), já a sua dessorção foi de 30%, 28,5% e 27,5% a 0,125, 0,5 e 1 ppm, respectivamente, após 5 dias, com amostras saturadas. Em relação à recuperação do herbicida posicionado sobre as quantidades de palha de 5 e 10 t ha-1, a precipitação de 24 mm resultou em uma remoção máxima de apenas 25% do herbicida. Indicando que o alto Kow e baixa solubilidade em água deste herbicida, podem culminar numa maior adsorção e/ou interceptação desse produto na palha de cana-de-açúcar. Isto está de acordo com os resultados encontrados no presente estudo em que, à medida que a quantidade de palha presente na superfície do solo aumentou a porcentagem de controle das plantas daninhas diminui, todavia, o aumento da precipitação após a aplicação do herbicida atenuou esse efeito negativo da interceptação do herbicida pela palha, resultando em maiores eficácias. Resultados semelhantes foram obtidos por Guerra et al. (2015) que avaliaram a influência da precipitação e palha da cana-de-açúcar na eficiência de controle do indaziflam (100 g ha-1). Esses autores concluíram que é necessário uma precipitação de 20 mm ou a irrigação diária sobre palha (10 t ha -1) para promover o transporte do indaziflam da palha para o solo, para um controle satisfatório das espécies Ipomoea grandifolia (Dammer) e Euphorbia heterophylla L.
Paralelamente, destaca-se que embora o indaziflam apresente amplo espectro de controle, sendo indicado para espécies monocotiledóneas e eudicotiledóneas, a sua maior eficácia é observada em plantas monocotiledóneas (Amim et al., 2014; Sebastian et al., 2016, 2017; Malardo et al., 2017). Essa maior eficácia sobre o controle de plantas monocotiledóneas foi confirmada no presente estudo pois, nas aplicações de indaziflam sobre 0 t ha-1 de palha ou seja, sem barreira física proporcionada pela palha, esse herbicida apresentou controle adequado de todas as plantas daninhas estudadas (Urochloa plantaginea, Digitaria nuda, Panicum maximum e Rottboelia exaltata). Digitaria nuda, teve um controle excelente independentemente da quantidade de palha ou quantidade de precipitação simulada.
Malardo et al. (2017) ao determinarem a eficácia do indaziflam na dose de 75 g ha-1 aplicado em pré-emergência no controle de Chloris polydactyla (L.) Sw. (capim-branco) e Eleusine indica (L.) Gaertn. (capim-pé-de-galinha) sob diferentes quantidades de palha (0, 1, 2 e 4 t ha-1) e regimes de precipitação pluvial (simulação de precipitação de 20 mm a 1 ou 10 dias após a aplicação dos herbicidas) constataram que o indaziflam foi ineficaz para o controle de C. polydactyla, independentemente da quantidade de palha e regime hídrico. Já para a espécie E. indica, na simulação de 20 mm de precipitação um dia após a aplicação (1 DAA), obtiveram porcentagens de controle de 97,5% para 4 t ha-1 e de 100% para 2 t ha-1.
Amim et al. (2014) aplicaram seis doses do indaziflam (0, 30, 60, 90, 120 e 150 g ha-1) na condição de pré-emergência em três solos com características físico-químicas contrastantes (texturas arenoso, argiloso e franco-argilo-arenoso), nessas condições, os autores constataram que o fator solo influenciou a eficácia do indaziflam. As espécies D.horizontalis, P. maximum foram controladas de maneira eficaz em todos os solos. Rottboellia cochinchinensis (Lour.) Clayton foi eficientemente controlada nos solos franco argiloso e arenoso (em todas as doses), mas no solo argiloso essa espécie só foi controlada em doses mais altas. Para as espécies E.heterophylla e ., grandifolia, o controle foi mais eficiente no solo franco-argilo-arenoso. Reforçando a maior eficiência do indaziflam no controle de plantas daninhas monocotiledóneas.
CONCLUSÕES
Desta forma, o indaziflam configura uma opção para o controle adequado de plantas daninhas monocotiledóneas na cultura da cana-de-açúcar, entretanto os aspectos inerentes a quantidade de palha presente na superfície do solo e a quantidade de precipitação após aplicação deste herbicida devem ser observadas para uma boa da eficácia deste produto.
A espécie de D. nuda teve controle excelente independentemente da dose de herbicida, quantidade da palha e da precipitação. De maneira geral, as espécies de monocotiledóneas apresentaram suscetibilidade ao herbicida indaziflam. Todavia as espécies U. plantaginea, P. maximume R. exaltataapresentaram variação nas porcentagens de controle em detrimento da dose do indaziflam, quantidade de palha e simulação de precipitação.
Referências Bibliográficas
Aimar F.F.P.J. & Durigan J.C. (2001) - Controle de capim-colonião na cultura da cana-de-açúcar com herbicidas aplicados em pré-emergência. Revista Brasileira de Herbicidas, vol. 2, n. 3, p. 125-132. https://doi.org/10.7824/rbh.v2i3.361 [ Links ]
Alam (1974) - Recomendaciones sobre unificación de los sistemas de evaluación en ensayos de control de malezas. Alam, 1ª ed. Bogotá, Asóciacion Latinoamericana de Malezas, 38p. [ Links ]
Alonso, D.G.; Koskinen, W.C.; Oliveira, R.S.; Constantin, J. & Mislankar,S. (2011) - Sorption-desorption of indaziflam in selected agricultural soils. Journal of Agricultural and Food Chemistry, vol. 59, n. 24, p. 3096-3101. https://dx.doi.org/10.1021/jf203014g [ Links ]
Amim, R.T.; Freitas, S.P.; Freitas, I.L.J.; Gravina, G.A. & Paes, H.M.F. (2014) - Controle de plantas daninhas pelo indaziflam em solos com diferentes características físico-químicas. Planta Daninha, vol. 32, n. 4, p. 791-800. http://dx.doi.org/10.1590/S0100-83582014000400014 [ Links ]
Brosnan, J.T.; Breeden, G.K.; McCullough, P.E. & Henry, G.M. (2012) - Pre and post emergence annual bluegrass control with indaziflam. Weed Technology, vol. 26, n. 1, p. 48-53. https://doi.org/10.1614/WT-D-11-00088.1 [ Links ]
Brosnan, J.T.; Mc Culluogh, P.E. & Breeden, G.K. (2011) - Smooth crabgrass control with indaziflam at various spring timings. Weed Technology, vol. 25, n. 3, p. 363-366. https://doi.org/10.1614/WT-D-11-00005.1 [ Links ]
Carbonari, C.A.; Gomes, G.L.G.C.; Trindade, M.L.B.; Silva, J.R.M. & Velini, E.D. (2016) - Dynamics of sulfentrazone applied to sugarcane crop residues. Weed Science, vol. 64, n. 1, p. 201-206. https://doi.org/10.1614/WS-D-14-00171.1 [ Links ]
Cavenaghi, A.L.; Rossi, C.V.S.; Negrisoli E.; Costa, E.A.D.; Velini, E.D. & Toledo, R.E.B. (2007) - Dinâmica do herbicida amicarbazone (Dinamic) aplicado sobre palha da cana-de-açúcar (Saccarum officinarum). Planta Daninha, vol. 25, n. 4, p. 831-837. http://dx.doi.org/10.1590/S0100-83582007000400020 [ Links ]
Clark, S.L.; Da Silva, P.V.; Dayan, F.E.; Nissen, S.J. & Sebastian, D.J. (2019) - The influence of winter annual grass litter on herbicide availability. Weed Science, in press. https://doi.org/10.1017/wsc.2019.45 [ Links ]
Christoffoleti, P.J. & Ovejero, R.F.L. (2009) - Comportamento dos herbicidas aplicados ao solo na cultura da cana-de-açúcar. 1ª ed. Piracicaba, CP 2, 72 p. [ Links ]
Christoffoleti, P.J. & Nicolai, M. (2012) Cana-de-açúcar - expansão desafiada. Revista Cultivar, vol. XIV, n. 161. [ Links ]
Coelho, W.L.V.; Da Silva, F.S.; Dallacort, R. & Carneiro, P.A.V. (2016) - Análise do potencial de geração de energia elétrica a partir dos resíduos do setor sucroenergético no estado de Mato Grosso em diferentes cenários produtivos. Revista Brasileira de Energias Renováveis, vol. 5, n. 2, p. 332-351. http://dx.doi.org/10.5380/rber.v5i2.46305 [ Links ]
Concenço, G.; Leme Filho, J.R.A. & Silva, C. J. (2017) - O aleiramento do palhiço de cana-de-açúcar agrava a infestação de plantas daninhas. Embrapa Agropecuária Oeste. Comunicado técnico, 229. EMBRAPA - Embrapa Agropecuária Oeste, Dourados. [cit. 2019-01-27]. <https://ainfo.cnptia.embrapa.br/digital/bitstream/item/165739/1/COT-2017-229.pdf> [ Links ].
Correia, N.M. & Durigan, J.C. (2004) - Emergência de plantas daninhas em solo coberto com palha de cana-de-açúcar. Planta Daninha, vol. 22, n. 1, p. 11-17. http://dx.doi.org/10.1590/S0100-83582004000100002 [ Links ]
Dantas, D.N. (2010) - Uso da biomassa de cana-de-açúcar para geração de energia elétrica: analise energética, exergetica e ambiental de sistemas de cogeração em sucroalcololeiras do interior paulista. Dissertação de Mestrado. São Carlos, Universidade de São Paulo. 111 p. [ Links ]
Da Silva, P.V. & Monquero, P.A. (2013) - Influência da palha no controle químico de plantas daninhas no sistema de cana crua. Revista Brasileira de Herbicidas, vol. 12, n. 1, p. 94-103. https://doi.org/10.7824/rbh.v12i1.235 [ Links ]
Da Silva, P.V. (2018) - Comportamento ambiental e bioatividade sobre plantas daninhas de herbicidas residuais aplicados sobre a palha de cana-de-açúcar em diferentes condições hídricas do solo. Tese de Doutoramento. Piracicaba, Escola Superior de Agricultura Luiz de Queiroz, Universidade de São Paulo. 148 p. [ Links ]
Guerra, N.; Oliveira Júnior, R.S.; Constantin, J.; Oliveira Neto, A.M.; Puton, G. & Garrido, T.H.P. (2015) - Inluence of precipitation and sugarcane straw in aminocyclopyrachlor and indazifam control effciency. Planta Daninha, vol. 33, n. 3, p. 535-542. http://dx.doi.org/10.1590/S0100-83582015000300015 [ Links ]
Hixson, A.C. (2008) - Soil properties affect simazine and saflufenacil fate, behavior, and performance. Dissertação de Mestrado em Fitotecnia. North Carolina, Faculty of North Carolina State University. 242 p. [ Links ]
Jhala, A.J.; Ramirez, A.H. & Singh, M. (2012) - Leaching of indaziflam applied of two rates under different rainfall situations in Florida Clandler Soil. Bulletin of Environmental Contamination and Toxicology, vol. 88, n. 3, p. 326-332. https://doi.org/10.1007/s00128-011-0514-6 [ Links ]
Jhala, A.J. & Singh, M. (2012) - Leaching of indaziflam compared with residual herbicides commonly used by Florida citrus. Weed Technology, vol. 26, n. 3, p. 602-607. https://doi.org/10.1614/WT-D-11-00161.1 [ Links ]
Maciel, C.D.G. & Velini, E.D. (2005) - Simulação do caminhamento da água da chuva e herbicidas em palhadas utilizadas em sistemas de plantio direto. Planta Daninha, vol. 23, n. 3, p. 471-481. http://dx.doi.org/10.1590/S0100-83582005000300011 [ Links ]
Malardo, M.R.; Monquero, P.A.; Santos, P.H.V.; Ribeiro, N.M.; Da Silva, P.V. & Hirata, A.C.S. (2017) - Influence of the sowing depth and amount of sugarcane straw on the emergence of Chloris polydactyla and Eleusine indica and their control by herbicides applied pre-emergence. Semina Ciências Agrárias, vol. 38, n. 3, p. 1187-1200. http://dx.doi.org/10.5433/1679-0359.2017v38n3p1187 [ Links ]
Martins, D.; Velini, E.D.; Martins, C.C. & Souza, L.S. (1999) - Emergência em campo de dicotiledôneas infestantes em solo coberto com palha de cana-de-açúcar. Planta Daninha, vol. 17, n. 1, p. 151-161. http://dx.doi.org/10.1590/S0100-83581999000100014 [ Links ]
Monquero, P.A.; Amaral, L.R.; Binha, D.P.; Silva, P.V.; Silva, A.C. & Martins, F.R.A. (2008) - Mapas de infestação de plantas daninhas em diferentes sistemas de colheita da cana-de-açúcar. Planta Daninha, vol. 26, n. 1, p. 47-55. http://dx.doi.org/10.1590/S0100-83582008000100005 [ Links ]
Monquero, P.A.; Silva, P.V.; Hirata, A.C.S. & Martins, F.R.A. (2011) - Monitoramento do banco de sementes em áreas de cana-de-açúcar colhida mecanicamente. Planta Daninha, vol. 29, n. 1, p. 107-119. http://dx.doi.org/10.1590/S0100-83582011000100013 [ Links ]
Rodrigues, B.N. & Almeida, F.S.(2018) - Guia de herbicidas. 7. ed. Londrina, 764 p. [ Links ]
Rodrigues, B.N.; Lima, J. de; Yada, I.F.U.; Ulbrich, A.V. & Fornarolli, D.A. (2000) - Influência da cobertura morta na retenção do imazaquim em plantio direto de soja. Planta Daninha, vol. 18, n. 2, p. 231-239. http://dx.doi.org/10.1590/S0100-83582000000200005 [ Links ]
Rossi, C.V.S.; Velini, E.D.; Luchini, L.C.; Negrisoli, E.; Correa, M.R.; Pivetta, J.P. & Costa, A.G.F. & Silva, F.M.L. (2013) - Dinâmica do herbicida metribuzin aplicado sobre palha de cana-de-açúcar (Saccarum officinarum). Planta Daninha, vol. 31, n. 1, p. 223-230. http://dx.doi.org/10.1590/S0100-83582013000100024 [ Links ]
Sebastian, D.; Nissen, S. & De Souza Rodrigues, J. (2016) - Pre-emergence Control of Six Invasive Winter Annual Grasses with Imazapic and Indaziflam. Invasive Plant Science and Management, vol. 9, n. 4, p. 308-316. [ Links ]
Sebastian, D.J.; Nissen, S.J.; Sebastian, J.R.; Meiman, P.J. & Beck, K.G. (2017) Pre emergence Control of Nine Invasive Weeds with Aminocyclopyrachlor, Aminopyralid, and Indaziflam. Invasive Plant Science and Management, vol. 10, n. 1, p. 99-109. https://doi.org/10.1017/inp.2017.7 [ Links ]
Selim, H.M.; Zhou, L. & Zhu, H. (2003) - Herbicide retention in soil as affected by sugarcane mulch residue. Journal of Environmental Quality, vol. 32, n. 4, p. 1445-1454. https://doi.org/10.2134/jeq2003.1445 [ Links ]
Simoni, F.; Victoria Filho, R.; San Martin, H.A.M.; Salvador, F.L.; Aalves, A.S.R. & Bremer Neto, H.(2006) - Eficácia de imazapic e sulfentrazone sobre Cyperus rotundus em diferentes condições de chuva e palha de cana-de-açúcar. Planta Daninha, vol. 24, n. 4, p. 769-778. http://dx.doi.org/10.1590/S0100-83582006000400018 [ Links ]
Silva, J.R.V.; Costa, N.V. & Martins, D. (2003) - Efeitos da palhada de cultivares de cana-de-açúcar na emergência da Cyperus rotundus. Planta Daninha, vol. 21, n. 3, p. 375-380. http://dx.doi.org/10.1590/S0100-83582003000300004 [ Links ]
Souza, Z.M.; Prado, R.M.; Paixão, A.C. S. & Cesarin, L.G. (2005) - Sistemas de colheita e manejo da palhada de cana-de-açúcar. Pesquisa Agropecuária Brasileira, vol. 40, n. 3, p. 271-278. [ Links ]
Tompkins, J. (2010) - Pesticide fact sheet: indaziflam. United States, Environmental Protection Agency, US. [cit. 2018-01-27]. <http://www.epa.gov/opp00001/chem_search/reg_actions/registration/fs_PC-080818_26-Jul-10.pdf> [ Links ]
Recebido/received: 2019.03.06
Aceite/accepted: 2019.09.21
















