Serviços Personalizados
Journal
Artigo
Indicadores
-
Citado por SciELO -
Acessos
Links relacionados
-
Similares em
SciELO
Compartilhar
Silva Lusitana
versão impressa ISSN 0870-6352
Silva Lus. v.18 n.Especial Lisboa dez. 2010
Contributo da Robinia pseudoacacia para a Valorização de Espécies Folhosas Produtoras de Madeira de Qualidade: Um Caso de Estudo
Maria do Sameiro Patrício*, Luís Filipe Nunes**, Maria do Loreto Monteiro*** e Domingos Manuel Lopes****
*Equiparada a Professora Adjunta; E-mail: sampat@ipb.pt
**Equiparado a Assistente 2º Triénio
***Investigadora
Centro de Investigação de Montanha CIMO. Instituto Politécnico de Bragança. Escola Superior Agrária. Quinta Sta. Apolónia, Apartado 1172, 5301-855 BRAGANÇA
****Professor Auxiliar
Universidade de Trás-os-Montes e Alto Douro. Departamento de Ciências Florestais e Arquitectura Paisagista. Quinta de Prados, Apartado 1013, 5001-801 VILA REAL
Sumário
Em 1998, no âmbito do projecto PRAXIS XXI 3/3.2/Flor/2127/95, foi estabelecido um ensaio de consociação de folhosas nobres: cerejeira, carvalho e castanheiro com a espécie acessória, robínia, numa série substitutiva, em Vimioso (Latitude 41º34'12''N; Longitude 6º30'7''W e altitude 700 m), antes da publicação do Decreto-Lei 565/99. O ensaio foi delineado em 30 parcelas de estudo permanentes estruturadas num desenho experimental aleatorizado com dez tratamentos e três repetições, sendo testados dois tipos de mistura (espécie objectivo alternada linha a linha com robínia e espécie objectivo alternada pé-a-pé com robínia). O objectivo deste estudo é avaliar os ganhos das espécies principais em mistura com uma fixadora de azoto. O teste da máxima verosimilhança demonstrou, para a cerejeira, uma elevada probabilidade de sobrevivência (77-80%). As restantes espécies estão associadas a baixa probabilidade de sobreviver devido, principalmente, ao insucesso verificado na fase de instalação (sobrevivência 4655%). Comparou-se o crescimento para cada espécie, entre os diferentes tratamentos, usando o teste das diferenças mínimas significativas (LSD). O efeito da facilitação proporcionado pela espécie acessória é visível no caso da cerejeira. Para o castanheiro e para o carvalho verifica-se um efeito depressivo da robínia na mistura pé-a-pé sobre a espécie objectivo não sendo evidente o processo de facilitação.
Palavras-chave: Plantações mistas; fixadoras de azoto; espécie acessória; castanheiro; cerejeira; carvalho americano; robínia falsa-acácia
Contribution of Robinia pseudoacacia for Valuating Broadleaved Tree Species for Timber Production: A Case of Study
Abstract
In 1998, in the framework of the Project PRAXIS XXI 3/3.2/Flor/2127/95, a mixture plantation trial with valuable broadleaved tree species: wild cherry, red oak and sweet chestnut with the accessory species black locust, was established in substitutive or replacement series design in Vimioso (Latitude 41º34'12''N; Longitude 6º30'7''W and altitude 700 m), before the publication of decree-law 565/99. A completely random experimental design of 30 permanent sample plots with 10 treatments and 3 replications was adopted and two types of mixtures were considered (alternating lines of the target-species with black locust and target-species alternating with black locust in the line). The aim of this study is to evaluate the benefits for the target-species when mixed with a nitrogen fixing species. The maximum likelihood ratio test showed that the cherry was associated to a high probability of survival (77-80%). The remaining target-species indicated a low probability of survival mainly because of the breakdown verified in the establishment phase (46-55% survival). For each species, the growth was compared among the different treatments using the least significant difference test (LSD). The facilitation effect promoted by the accessory species is evident in the cherry. For both the red oak and the chestnut species a depressive effect of black locust on the target-species was observed in the intimate mixture situation, causing the facilitation effect not to be so obvious.
Key words: Mixed plantation; nitrogen fixing species; accessory species; sweet chestnut; wild cherry; red oak; black locust
Contribution de la Robinia pseudoacacia pour la Valorisation des Feuillus Précieux: Un Cas d'Étude
Résumé
En 1998, a été établi, dans le Projet PRAXIS XXI - 3/3.2/Flor/2127/95, un essai de plantations mélangées entre les feuillus précieux: merisier, chêne rouge et châtaignier, et l'essence secondaire du robinier faux-acacia, dans une série substitutive, à Vimioso (Latitude 41º34'12''N; Longitude 6º30'7''W et altitude 700 m), avant la publication du décret-loi 565/99. L'essai a été structuré en 30 parcelles d'échantillons permanents selon un dessin expérimental aléatoire avec 10 traitements et 3 répétitions. Deux types de mélanges ont été considérés: (en lignes, alternant l'espèce principale avec robinier, et l'espèce principale en alternance avec le robinier dans la ligne). Le but de cette étude est d'évaluer les avantages pour la principale espèce mélangée à une fixatrice d'azote. Le test de Maximum Vraisemblance a montré que le merisier a été associé à une haute probabilité de survie (77-80%). Les restantes espèces principales ont indiqué une basse probabilité de survie à cause de l'insuccès vérifié dans la phase de l'établissement (46-55% de survie). Pour chaque espèce, la croissance a été comparée parmi les différents traitements avec le test de la différence minimale significative (LSD). L'effet de la facilitation proportionné par l'espèce secondaire est évident dans le merisier. Pour le chêne rouge et pour le châtaignier nous vérifions un effet dépressif du robinier sur l'espèce principale en ce qui concerne la situation du mélange par pied d'arbre. Dans cette situation le procédé de la facilitation n'est pas évident.
Mots clés: Plantations mélangés; espèce fixatrice d'azote; espèce secondaire; châtaignier; merisier; chêne rouge; robinier faux-acacia
Introdução
Tradicionalmente são atribuídas aos povoamentos mistos diversas vantagens como o melhor aproveitamento dos horizontes do solo, maior estabilidade e resistência a agentes bióticos, maior biodiversidade associada, maior interesse do ponto de vista paisagístico, maior potencialidade produtiva, entre outros.
Actualmente existe um interesse renovado nos povoamentos mistos, considerados mais "naturais" e mais equilibrados em termos bio-ecológicos, mas também em plantações mistas às quais podem ser atribuídas algumas das vantagens dos povoamentos mistos. Nesta última categoria podemos incluir as misturas ou consociações com espécies acessórias fixadoras de azoto às quais têm sido imputados um aumento da fertilidade do solo, uma redução da competição, principalmente entre espécies com diferentes tipologias aéreas e radiculares, um aumento do crescimento da espécie objectivo e valorização da qualidade da madeira da espécie principal devido à melhoria da forma.
A elevada produtividade do lenho em povoamentos mistos tem sido atribuída, muitas vezes, à melhoria da nutrição mineral (Kelty, 1992; Frivold e Kolström, 1999; Binkley, 2003; TANI et al., 2006). De acordo com a bibliografia as espécies lenhosas fixadoras de azoto mais utilizadas como acessórias nas regiões temperadas são: Alnus sp, Eleagnus angustifolia e a Robinia pseudoacacia.
O conhecimento científico tem demonstrado que a nutrição e a produção relativa das espécies em mistura pode diferir das monoculturas.
A consociação de Juglans regia com espécies acessórias, principalmente fixadoras de azoto, proporcionou uma melhoria da forma e crescimento da nogueira (TANI et al., 2006; Cutini e Giannini, 2009).
Gavaland et al. (2002) observaram maiores crescimentos para a cerejeira, em três estações diferentes, principalmente em altura mas também em diâmetro, quando consociada com amieiro relativamente às plantações puras. Contudo, referem que este efeito benéfico inicial se transforma em efeito depressivo a prazo quando se instala a competição do amieiro sobre a cerejeira.
Rothe e Binkley (2001) fazem uma revisão bibliográfica dos estudos relativos à evidência empírica das interacções nutricionais de misturas de árvores, incluindo informação nutricional ao nível das folhas, fornecimento de nutrientes ao solo, taxas de "inputs" de nutrientes e padrões de distribuição das raízes. Segundo estes autores os efeitos lineares são os mais comuns, com as misturas intermédias em valor entre as monoculturas. Em alguns casos, os valores das misturas são inferiores ao esperado, indicando uma interacção antagonista, noutros, incluindo espécies fixadoras de azoto, observou-se uma interacção sinérgica, apresentando as misturas valores superiores às monoculturas.
O sucesso das misturas reside na combinação de espécies suficientemente distintas no uso dos recursos uma vez que os recursos limitados serão utilizados mais eficientemente. Vandermeer (1989) propôs dois princípios ecológicos fundamentais para a compreensão do funcionamento entre espécies:
1 - Princípio da complementaridade (também conhecido por "redução competitiva", "produção competitiva "ou "repartição de recursos") segundo o qual duas espécies apresentam menor competição em mistura, comparativamente com as respectivas monoculturas, devido a uma utilização mais eficiente dos recursos.
2 - Princípio da facilitação (também conhecido por "produção facilitativa") em que uma espécie da mistura afecta positivamente o crescimento da outra (aumento da disponibilidade de nutrientes, redução do impacto das pragas e doenças, maior resistência ao vento).
O princípio da facilitação tem sido conseguido através da consociação de espécies acessórias fixadoras de azoto com espécies produtoras de madeira de qualidade que mostraram um crescimento substancial com o aumento da disponibilidade de azoto (KELTY, 2006). Segundo este autor, as espécies em mistura devem apresentar características complementares associadas à interacção nutricional facilitativa para alcançar um elevado nível de produtividade. Assim, os processos biológicos associados com a complementaridade e facilitação devem promover o uso eficiente dos recursos (luz, água, nutrientes, etc.) e contribuir para aumentar a vitalidade e consequentemente a sustentabilidade dos povoamentos.
Embora as observações e projecções dos efeitos das alterações climáticas estejam envoltas em alguma incerteza as acções sobre as florestas de hoje têm consequências nas gerações futuras salientando-se a necessidade de implementar uma gestão adaptativa nas práticas de silvicultura.
Bernier e Schoene (2009) consideram existirem três possíveis abordagens para adaptação das florestas às alterações climáticas: não-intervenção, adaptação reactiva e adaptação planeada.
Segundo os autores planear a adaptação envolve a redefinição dos objectivos e práticas florestais em avanço tendo em vista os riscos e incertezas relacionados com as alterações climáticas. Envolve também intervenções antecipadas a diferentes níveis e sectores cruzados. A gestão adaptativa inclui explorar novas oportunidades que surgem em resultado das alterações climáticas como plantar proveniências ou espécies que cresçam mais rápido nas condições das alterações climáticas simuladas ou retirando benefícios de novos produtos e serviços como o sequestro de carbono e as novas formas de bioenergia.
Ao nível do povoamento a instalação de plantações mistas com fixadoras de azoto pode contribuir para a melhoria da nutrição mineral da espécie objectivo aumentando o vigor e a resistência às pragas e doenças devido à maior saúde das árvores para além da manutenção de um clima de povoamento do qual beneficiam largamente as plantações jovens.
Por outro lado, a produção de folhosas nobres para madeira de qualidade só é possível em boas estações, i.e., estações com solos suficientemente frescos, profundos e equilibrados e pH próximo da neutralidade, condições raramente encontradas nos terrenos abandonados de agricultura no nordeste transmontano. Com a finalidade de melhorar a nutrição e vigor de folhosas nobres, com ganhos esperados ao nível da forma e do crescimento, estabeleceu-se em 1998, no âmbito do projecto PRAXIS XXI 3/3.2/Flor/2127/95, um ensaio de consociação de folhosas nobres com a espécie acessória fixadora de azoto robínia, falsa-acácia (Robinia pseudoacacia), em Vimioso concelho de Bragança. Consideraram-se como espécies principais a cerejeira (Prunus avium), o castanheiro (Castanea sativa) e o carvalho americano (Quercus rubra).
Em 21 de Dezembro de 1999 é publicado o Decreto-Lei n.º565 do Ministério do Ambiente que regula a introdução na natureza de espécies não indígenas da flora e da fauna que inclui a robínia na categoria de invasora. Contudo, este Decreto salvaguarda a utilização deste tipo de espécies no seu artigo 8º (ponto 4) para fins científicos. No entanto, tem vindo a ser feita uma monitorização regular para evitar o risco de expansão da espécie. Nesta estação, a monitorização tem mostrado que a regeneração de robínia se confina somente à influência da copa, não tendo sido observadas quaisquer plantas desta espécie nos tratamentos puros (controlo).
O ensaio foi avaliado em termos dendrométricos, estando a decorrer, paralelamente, estudos ao nível do solo e da folhada tendo em vista a avaliação do contributo da robínia para a melhoria das condições da estação.
Material e métodos
Em 1998 instalou-se um ensaio de consociação de folhosas nobres com a espécie acessória robínia falsa-acácia, numa série substitutiva, com um compasso 3x2 m, no lugar de Uva, Vimioso (Latitude 41º34'12''N; Longitude 6º30'7''W e altitude de 700 m). O ensaio foi delineado em 30 parcelas de estudo permanentes, com uma área útil de 800 m2 e bordadura, estruturadas num desenho experimental aleatorizado com dez tratamentos e três repetições (T1 Puro de castanheiro (Castanea sativa); T2 Puro de cerejeira (Prunus avium); T3 Puro de carvalho americano (Quercus rubra); T4 Puro de robínia (Robinia pseudoacacia); T5 Consociação linha de castanheiro x linha de robínia; T6 Consociação linha de cerejeira x linha de robínia; T7 Consociação linha de carvalho americano x linha de robínia; T8 Consociação pé-a-pé de castanheiro x robínia; T9 Consociação pé-a-pé de cerejeira x robínia; T10 Consociação pé-a-pé de carvalho americano x robínia). Pretende-se ir eliminando a robínia à medida que se observe um efeito depressivo sobre a espécie objectivo.
O ensaio foi avaliado em termos de sobrevivência e crescimento aos 7 e 10 anos de idade. Neste trabalho, faz-se a avaliação do crescimento com base na última medição dendrométrica efectuada no repouso vegetativo de 2008. Foram avaliados os seguintes parâmetros: diâmetro à altura do peito (d), percentagem de copa viva (%copa), altura total (h), coeficiente de estabilidade (h/d) e sobrevivência das árvores das diferentes espécies. A análise estatística foi efectuada com recurso ao programa Statistical Analysis System (SAS) versão 9.1.
Foi usada a regressão logística para modelar a sobrevivência das espécies objectivo nas misturas. Para tal utilizou-se o PROC CATMOD do programa SAS uma vez que o tratamento é considerado uma variável independente categórica (SAS INSTITUTE INC., 2004).
As variáveis h e d, bem como a percentagem de copa viva (%copa) e o coeficiente de adelgaçamento da árvore (h/d), foram submetidas a análise de variância (após verificação dos respectivos pressupostos estatísticos) e comparadas entre os diferentes tratamentos, para cada espécie objectivo, usando o teste das diferenças mínimas significativas (LSD).
Tendo em conta as baixas percentagens de sobrevivência observadas em algumas parcelas, devido ao insucesso verificado nos primeiros anos de vida, eliminou-se da análise do crescimento a repetição com pior taxa de sobrevivência. Por sua vez, em cada uma das parcelas, foram seleccionadas para análise 10 árvores da espécie principal em plenas condições de interacção com os vizinhos de acordo com o tratamento aplicado inicialmente (ausência de falhas num polígono rectangular à volta da árvore objectivo central).
Resultados e discussão
A análise de variância pelo método da máxima verosimilhança demonstrou existirem diferenças significativas (P<0,001) entre tratamentos. O teste da máxima verosimilhança utilizado (Quadro 1) evidenciou, para a cerejeira, uma elevada probabilidade de sobrevivência tanto no tratamento puro como nos consociados com a robínia (sobrevivência 77-80%). As restantes espécies estão associadas a baixa probabilidade de sobreviver devido, principalmente, ao insucesso verificado na fase de instalação (sobrevivência 46-55%).
Quadro 1 Análise dos parâmetros estimados pelo teste da máxima verosimilhança. Os sinais dos parâmetros indicam: (-) menor probabilidade de sobrevivência; (+) maior probabilidade de sobrevivência
A evolução do crescimento médio em altura para as espécies objectivo (ano 2005-2008) é apresentado na Figura 1. Como se pode observar verifica-se um maior crescimento na consociação linha a linha com a robínia para a cerejeira e carvalho americano o mesmo não acontecendo para o castanheiro o qual, para já, não apresenta ganhos relativamente ao tratamento puro.
Figura 1 Evolução do crescimento médio em altura, por espécie objectivo, nos diferentes tratamentos no período 2005-2008
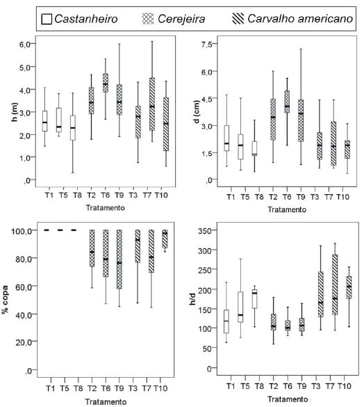
O desenvolvimento observado pelas espécies principais nos diferentes tratamentos é caracterizado através dos diagramas de extremos e quartis apresentados na Figura 2 para as variáveis em análise. Como se pode verificar a cerejeira é a espécie objectivo que apresenta maior crescimento, quer em altura, quer em diâmetro e maior estabilidade relativamente às restantes espécies.
Figura 2 - Diagramas de extremos e quartis das variáveis analisadas (altura total h (m), diâmetro à altura do peito d (cm), percentagem de copa viva %copa e coeficiente de estabilidade h/d), por tratamento, para as espécies principais
O crescimento médio em altura da robínia e restantes espécies, por tratamento, é apresentado na Figura 3. Como se pode observar o crescimento da espécie acessória (Rb) é superior ao das restantes espécies sendo, por isso, susceptível de provocar o seu abafamento nas misturas pé-a-pé devido ao rápido fechamento do coberto.
Figura 3 Crescimento médio em altura, por espécie, nos diferentes tratamentos (Cs castanheiro; Qr carvalho; Pa cerejeira; Rb robínia)
As variáveis h, d, %copa e h/d, foram comparadas entre os diferentes tratamentos, para cada espécie, usando o teste das diferenças mínimas significativas (LSD) cujo resultado é apresentado no quadro 2.
Quadro 2 Resultados do teste das diferenças mínimas significativas (LSD), de comparação de médias dos diferentes tratamentos, para as diferentes variáveis em análise, por espécie. Letras diferentes na linha, para a mesma espécie, significam diferenças significativas entre tratamentos (P<0,05) para a respectiva variável
Para a cerejeira o maior crescimento em altura é obtido na mistura linha a linha (T6) seguido da mistura pé-a-pé (T9) tendo sido observadas diferenças significativas (P<0,05) entre os tratamentos T6-T9 e T6-T2. O ensombramento lateral proporcionado pela robínia no tratamento T6 favorece o crescimento em altura da cerejeira devido à maior frescura e protecção proporcionadas. Seria de esperar, devido à maior competição, encontrar diferenças significativas entre a consociação pé-a-pé e o tratamento puro. No entanto, no crescimento em altura do tratamento T9 (consociação pé-a-pé) evidencia-se o efeito da facilitação proporcionado pela espécie acessória fazendo com que o crescimento médio da espécie objectivo neste tratamento seja superior à média do crescimento em altura observado no tratamento puro (T2). O efeito da competição pela luz ainda não se manifesta concretamente na medida em que a percentagem de copa viva não difere significativamente entre os tratamentos. Contudo, os valores médios observados para esta variável são superiores no tratamento puro (T2) seguidos do T6 e T9, respectivamente. Ao nível da estabilidade da espécie objectivo também não se verificaram diferenças significativas entre tratamentos embora o coeficiente de estabilidade (h/d), em termos médios, seja superior na mistura pé-a-pé onde a concorrência com a espécie acessória é maior. No que se refere ao crescimento em diâmetro não foram encontradas diferenças significativas entre tratamentos por se tratar de povoamentos jovens onde se faz sentir sobretudo o crescimento em altura em detrimento do crescimento em diâmetro. A concorrência observada no terreno, sobretudo devido ao factor luz, não afecta o crescimento em diâmetro na mistura pé-a-pé (T9), provavelmente devido ao processo da facilitação proporcionado pela robínia, sendo a menor quantidade de luz compensada com uma melhor nutrição ao nível do solo. Os estudos da mineralização do azoto a decorrer ao nível do solo irão permitir reforçar esta análise efectuada quanto aos crescimentos.
Relativamente ao castanheiro não foram encontradas diferenças significativas tanto no crescimento em altura como no crescimento em diâmetro da espécie objectivo entre os diferentes tratamentos embora o crescimento, em termos médios, seja superior no tratamento puro (T1) seguido da consociação linha a linha (T5).
A percentagem de copa viva difere significativamente entre os tratamentos T1-T5 e T5-T8 sendo o tratamento puro (controlo) aquele que apresenta maior percentagem de ramos vivos (100%). Os castanheiros na mistura pé-a-pé (T8) são de longe os que apresentam menor estabilidade dada pelo coeficiente h/d, diferindo significativamente do tratamento puro (T1). A menor estabilidade do castanheiro nestas condições é devida à maior pressão competitiva observada na consociação pé-a-pé com a robínia não havendo compensação suficiente ao nível do solo. A instabilidade no tratamento linha a linha (T5) é superior ao tratamento puro embora não possa ser considerada estatisticamente diferente. Na mistura pé-a-pé (T8) verifica-se uma tendência que nos leva a pensar não em facilitação, como no caso da cerejeira, mas num efeito depressivo da competição da robínia sobre o castanheiro.
No que se refere ao carvalho verifica-se um crescimento em altura, quando consociado linha a linha com a robínia (T7), significativamente superior ao observado na consociação pé-a-pé com esta espécie (T10) que apresenta, nestas condições, o crescimento médio em altura mais baixo. As diferenças observadas relativamente ao tratamento puro (T3) não podem ser consideradas estatisticamente significativas quer num caso quer no outro. Relativamente ao diâmetro não foram encontradas diferenças significativas entre tratamentos embora o crescimento, em termos médios, seja superior na consociação linha a linha (T7) seguido do tratamento puro (T3) e da consociação pé-a-pé (T10), respectivamente. A percentagem de copa viva, contrariamente ao que seria de esperar, é superior no tratamento T10 não tendo ocorrido ainda a morte dos ramos inferiores devido ao maior ensombramento e difere significativamente da consociação linha a linha mas não do tratamento puro. O coeficiente de estabilidade (h/d) é muito elevado em todos os tratamentos apresentando a consociação pé-a-pé o maior valor. A menor estabilidade do carvalho na consociação pé-a-pé com a robínia é devida à maior pressão competitiva observada não havendo compensação suficiente ao nível do solo uma vez que apresenta menor crescimento médio quer em altura quer em diâmetro. Da mesma forma que para o castanheiro verifica-se, nesta fase, um efeito depressivo da robínia sobre o carvalho não sendo evidente o processo de facilitação.
Apesar da avaliação da aplicação dos tratamentos às diferentes espécies objectivo se basear na complementaridade dos resultados obtidos na análise das diversas variáveis utilizadas, a altura e a percentagem de copa viva traduzem um melhor nível de resposta, na medida em que, na fase juvenil, o crescimento das espécies é caracterizado essencialmente por um intenso crescimento em altura e a percentagem de copa viva reflecte mais directamente as condições de concorrência pela luz. Por sua vez, o coeficiente de estabilidade na fase juvenil é normalmente elevado devido não só ao grande crescimento em altura mas também ao facto do engrossamento significativo do tronco só ocorrer bastante mais tarde mas, apesar disso, pode ser influenciado pelo tratamento.
Conclusões
Os resultados da análise efectuada, aos 10 anos de idade, do ensaio de consociação de espécies produtoras de madeira nobre (castanheiro, cerejeira e carvalho americano) com uma fixadora de azoto (robínia), demonstram que a mistura pé-a-pé (1:1) pode ser apropriada para a cerejeira, uma vez que apresenta ganhos por facilitação, mas não para as restantes espécies, que não evidenciam qualquer ganho com este tipo de mistura. Porém, é na mistura linha a linha que a cerejeira apresenta maiores crescimentos e melhor vigor aparente.
Tanto o carvalho como a cerejeira apresentam melhor comportamento na mistura linha a linha, beneficiando da maior frescura e protecção lateral proporcionada pela robínia, sem o afogo verificado na consociação pé-a-pé. Nesta fase, para estas espécies, é perceptível o efeito da complementaridade neste tipo de mistura.
O castanheiro não apresenta ganhos em qualquer uma das consociações testadas.
Como refere KELTY (2006) os elevados níveis de produtividade em misturas têm sido conseguidos com dois tipos de interacções entre espécies: (1) complementaridade do uso dos recursos entre espécies que formam um coberto estratificado (e possivelmente estratificação das raízes); (2) aumento da nutrição por facilitação das espécies produtoras de madeira de qualidade em mistura com espécies fixadoras de azoto (mas somente quando combinadas também com a complementaridade no uso dos recursos).
Neste estudo, o carvalho e o castanheiro respondem pior na consociação pé-a-pé devido ao excesso de ensombramento provocado pela robínia, faltando, provavelmente, a complementaridade no uso da luz, associada à melhoria da nutrição proporcionada pela robínia, para a obtenção de um melhor desempenho por parte destas espécies. O tipo de mistura desempenha um papel importante nesta matéria.
Tal como outros estudos indicaram, parece evidente que mesmo nas consociações com fixadoras de azoto, as espécies devem possuir características de complementaridade associadas à interacção nutricional facilitativa para atingirem um elevado nível de produtividade.
Agradecimentos
Investigação suportada pela Fundação para a Ciência e Tecnologia (FCT) através dos projectos: PRAXIS XXI 3/3.2/Flor/2127/95 e PTDC/AGR-CFL/68186/2006.
Bibliografia
Bernier, P., Schoene, D., 2009. Adapting forests and their management to climate change: an overview. Unasylva 60: 231-232. [ Links ]
Binkley, D., 2003. Seven decades of stand development in mixed and pure stands of conifers and nitrogen-fixing red alder. Can. J. For. Res. 33: 2274-2279.
Cutini, A., Giannini, T., 2009. Effects of thinning and mixed plantations with Alnus cordata on growth and efficiency of common walnut (Juglans regia L.). Forest@ 6:29-38. [online: 2009-01-29] URL: http://www.sisef.it/forest@/show.php?id=553-[doi: 10.3832/efor0553-006]
Frivold, L.H., Kolström, T., 1999. Yield and treatment of mixed stands of boreal tree species in Fennoscandia. In Management of mixed-species forest: silviculture and economics. Edited by A F M Olsthoorn, H H Bartelink, J J Gardiner, H Pretzsch, H J Hekhuis and A Franc. Institute for Forestry and Nature Research, Wageningen, the Netherlands. IBN Sci. Contrib. 15: 98-117.
Gavaland, A., Gauvin, J., Moreau, A., Bouvarel, L., 2002. De l'intérêt de planter le merisier avec un accompagnement d'aulne: les enseignements de trois essais INRA. Rev. For. Fr. 54: 143-160.
Kelty, M.J., 2006. The role of species mixtures in plantation forestry. Forest Ecology and Management 233: 195-204.
Kelty, M.J. (Editor), 1992. Comparative productivity of monocultures and mixed species stands. In The ecology of mixed species forests. Kluwer Academic Publishers, Dordrecht, pp. 125-141.
Rothe, A., Binkley, D., 2001. Nutricional interactions in mixed species forests: a synthesis. Can. J. For. Res. 31: 1855-1870.
SAS INSTITUTE INC., 2004. SAS/STAT® 9.1 User's Guide. Cary, NC.
Tani, A., Maltoni, A., Mariotti, B., Buresti, L.E., 2006. Juglans regia L. tree plantations for wood production in mining area of S. Barbara (AR). Evaluation of N-fixing accessory trees effect. Forest@ 3: 588-597. [online: 2006-12-18] URL: http://www.sisef.it/forest@/show.php?id=407 - [doi: 10.3832/efor0407-0030588]
Vandermeer, J., 1989. The ecology of intercropping. Cambridge University Press. Cambridge, UK, 237 pp.












