Introdução
Na atualidade, a Climatologia tem à sua disposição várias formas de acompanhar a variação da atmosfera (ex: satélites, estações meteorológicas, etc.) que nos auxiliam na compreensão das características climáticas da Terra. O desenvolvimento de novas tecnologias promoveu mudanças em diversas áreas e setores da sociedade, principalmente no acesso tecnológico a informação e comunicação (texto retirado), facilitando sobretudo a difusão de dados meteorológicos e climatológicos. Essa disponibilidade de dados climáticos, quase em tempo real, permite revisitar trabalhos pretéritos para com novas abordagens procurar melhorar e enriquecer as inúmeras classificações climáticas existentes.
A reanálise climática é um dos vários exemplos disponíveis que podem acrescentar conhecimento no domínio das classificações climáticas já disponíveis e que devem, por esse motivo, ser experimentadas.
Há uma diversidade de características utilizadas como critério de classificação climática, sendo todos de grande valia para a ciência do clima. Vários autores elaboraram classificações climáticas conhecidas no mundo inteiro, sendo muito utilizados atualmente, como Köppen (1948), Thornthwaite e Mather (1955) e Strahler (1989). A metodologia de Köppen, por exemplo, é usada pelo Instituto Português do Mar e da Atmosfera (IPMA). Além desses, de Martonne (1925) e Papadakis (1960) também se destacam em sistemas de classificação climática no continente europeu.
Em Portugal, temos alguns exemplos de classificação climática. Dalgado (1914) fez um mosaico climático com critério de classificação adotado pela Geografia Médica, com influência marítima e da Corrente do Golfo. Alcoforado et al. (2009) publicou uma reedição de seu trabalho sobre os Domínios Bioclimáticas de Portugal onde a mesma utiliza em sua pesquisa, dados de 1981, aplicando os índices de Gaussen e de Emberger. Para ser considerado mês seco, Gaussen e Bagnouls (1953) usa uma fórmula onde a precipitação tem de ser igual ou menor que o dobro do valor da temperatura média do mês analisado (°C). A quantidade de informações e de dados são consideradas fracas pela autora, sobretudo nos planaltos do interior, onde as estações meteorológicas estão geralmente próximas de locais habitados.
Ribeiro e Lautensach (1988) já enfatizavam as diferenças entre o Norte Atlântico, Norte Transmontano e o Sul Português, nas influências mediterrânea e atlântica e, pela sua atenuação como o afastamento do litoral. Daveau (1985) elaborou um esboço provisório das Regiões Climáticas de Portugal, levando em conta as características geográficas de cada região, mostrando seus contrastes térmicos e pluviométricos, encontrando 4 sub-tipos, de acordo com Monteiro et al. (2005): litoral oeste, fachada atlântica, marítimo de transição e diferenciado pela altitude.
Monteiro (1988), aplica uma análise factorial para a descrição e definição sistemática do Clima de Portugal. Foram utilizados 17 elementos climáticos de 43 pontos de observação, com a adição da variável de altitude. Assim a análise buscou encontrar modelos que explicam o comportamento básico do quadro climático português. Foi construída uma matriz de correlação entre todas as variáveis. As regiões foram divididas em dois grupos: marítimo (tipos: litoral oeste, fachada atlântica, Algarve e Arrábida, e Transição), e continental (tipos: Alentejo, Trás-os-Montes e relevo).
No Brasil, o Instituto Brasileiro de Geografia e Estatística (IBGE) adota a classificação climática de Nimer (1972). Também podemos destacar Monteiro (1962, 1973), que criou uma classificação para o estado de São Paulo, abrangendo as escalas regionais e locais, mostrando a variabilidade dos elementos climáticos locais, com influência de fatores geográficos na análise rítmica das condições do tempo atmosférico.
Visando criar um método que associe o grande volume de dados climáticos disponibilizados de forma gratuita, aos avanços tecnológicos incorporados à cartografia e geoprocessamento, Novais (2019) desenvolveu um sistema que classifica os climas a partir da escala climática adotada, utilizando dados de reanálise do projeto CHELSA, com modelagem cartográfica para relacionar e sobrepor os dados obtidos. Assim, esse sistema pode auxiliar no desenvolvimento de planos de gestão ambientais e regionais, na medida em que gera informação com detalhe na resolução original (1km²) dos dados de entrada.
Além da aplicação para todo o território brasileiro feito por Novais e Machado (2023) e Novais (2023), esse sistema foi aplicado no estado de São Paulo (Novais & Galvani, 2022), no estado de Goiás e no Distrito Federal (Colli & Novais, 2021; Novais, 2020); em alguns municípios e regiões de Minas Gerais, como Ponte Nova (Allocca et al., 2021a), Prata (Novais, 2021b), Uberlândia (Novais, 2021c), Zona da Mata Mineira (Allocca et al., 2021b), Triângulo Mineiro e Alto Paranaíba (Novais, 2011; Novais et al., 2018; Novais, 2022); no Espírito Santo, no município de Serra (Oliveira & Allocca, 2021); em Goiás, no município de Formosa (Novais & Pimenta, 2021; Pimenta & Novais, 2021); no maciço da Pedra Branca, município do Rio de Janeiro (Silva, 2022); e no Pantanal Mato-grossense (Novais, 2021a).
Para Armond et al. (2016), a complexidade do mundo e a necessidade de uma abordagem híbrida dos fenômenos, nos desafiam a realizar classificações climáticas com uma relação sociedade e natureza.
O objetivo principal desse trabalho foi aplicar os procedimentos metodológicos utilizados por Novais (2019) para Portugal, através da automatização de dados elaborada no software Dinamica EGO. O modelo de classificação adapta a qualquer escala climática, utilizando hierarquias de unidades, que vão desde as Zonas Climáticas até os Subtipos Climáticos. Nesse contexto, a pesquisa nessa dimensão escalar pode concorrer para melhorar o entendimento do clima regional e sub-regional de Portugal.
Área de Estudo
O território português (Figura 1) configura-se como uma das mais diversificadas nações em termos climáticos da Europa. Contribuindo para isso, a sua localização latitudinal entre 32° e 42° ao norte do Equador (Portugal Continental), e também com territórios insulares no meio do Oceano Atlântico Norte (as Regiões Autônomas de Açores e Madeira).
É uma área de transição entre climas subtropicais e temperados, possuindo um relevo com variações de altitude significativas. Conforme Ferreira (2005), a região norte do país é caracterizada por máximos de chuva anual, vegetação sempre verde, policultura, gado graúdo e elevada densidade demográfica. Já o sul possui características mediterrâneas, extensas planuras, cultura florestal perene e de cereais, e densidade demográfica baixa.
De acordo com Lacerda (2016), Portugal situa-se numa faixa de latitudes onde a circulação atmosférica é fortemente influenciada pela migração sazonal do sistema de circulação atmosférica situado nas latitudes médias. No verão, a circulação atmosférica é maioritariamente dominada por um sistema subtropical de altas pressões centrado nos Açores, mais conhecido como anticiclone dos Açores, favorecendo o bom tempo e temperaturas elevadas (Talaia & Fernandes, 2009). Ferreira (2005) diz que o Jato Subtropical é o ramo descendente do ar da Célula de Hadley, que alimenta o anticiclone dos Açores, e o Jato Polar é o vento de oeste vindo da depressão subpolar, formada pela Célula de Ferrel. No verão, Portugal fica inteiramente incluído no anel latitudinal afetado pela descendência do ar da Célula de Hadley. Os meses de transição entre os sistemas de anticiclones e depressões, normalmente são abril e outubro. Durante o inverno o anticiclone dos Açores desloca-se para as baixas latitudes do sul, e permite a passagem das frentes frias, juntamente com outras pertubações meteorológicas vindas do oceano Atlântico em direção ao continente europeu (Martins, 2012).
Numa escala regional do clima, Portugal sofre influência à noroeste das massas de ar árticas marítima e polar marítima, vindas do Oceano Atlântico Setentrional e do Oceano Glacial Ártico. De nordeste, vem o ar polar continental, que durante as vagas de frio, tranpõe a barreira dos Pireneus. De sudoeste, advém as massas de ar quente e úmida do Oceano Atlântico Tropical e Subtropical. E do sudeste, o ar tropical continental seco do Deserto do Saara, influencia nas vagas de calor (Ferreira, 2005).
A Península Ibérica, em sua maioria, é formada por um relevo de altitude acima de 600 metros, o que dificulta a penetração do ar marítimo até o centro da península. A organização do relevo, sua compartimentação, multiplicando as condições de exposição ao Sol e aos ventos atlânticos, são alguns dos fatores mais importantes da diferenciação climática de Portugal Continental na escala regional. Segundo Ferreira (2005), a continentalidade influencia os relevos de mesetas e planaltos interiores, com frio noturno invernal, e calor extremo diurno estival. Nas Regiões Autônomas dos Açores e da Madeira, as ilhas baixas são totalmente envolvidas pelo ar oceânico, já nas ilhas montanhosas de média altitude, seus cumes ficam cobertos por nebulosidade, e nas ilhas montanhosas de alta altitude, possuem um contraste climático do ar frio e seco acima e ar quente e úmido abaixo.
O contrate pluviométrico entre as regiões de Portugal continental é evidenciado por Ribeiro e Lautensach (1988), onde o norte recebe em média anual, chuvas muito abundantes. Com isso, as depressões influenciam todos os meses, exceto julho e agosto. O sul de Portugal recebe muito menos precipitações, porque as que resultam das trovoadas não podem compensar o fato de as depressões do Atlântico Norte não causarem ali chuvas durante a maior parte do ano. Há também o contraste entre o litoral e o interior, diminuindo a quantidade de chuva quanto mais se penetra para o interior do país.
Daveau (1985), afirma que a distribuição da temperatura depende da continentalidade, altitude e topografia, sendo a latitude de pouca influência, principalmente no inverno. As temperaturas mínimas de inverno ficam acima de 6,0°C no litoral, e abaixo de 2,0°C no centro-norte português. A intensidade e duração do frio invernal é um indicador importante de possibilidade de gelo ao solo (temperatura mínima absoluta abaixo de 5,0°C, principalmente para a agricultura. No verão, no litoral e nas áreas montanhosas, a estação estival é de moderada a fresca, já no interior continental, principalmente nas áreas abrigadas dos ventos litorâneos, o verão é quente a muito quente.
Ainda, segundo Daveau (1985), a variação térmica nas ilhas é muito mais suave que no continente. Na escala local, os contrastes térmicos são maiores devido a orografia e exposição de vento dominante. As temperaturas mínimas nunca ficam abaixo de zero, somente nos pontos mais elevados dos Açores e Madeira.
Metodologia
Classificação climática de Novais
O sistema de classificação climática aplicado a Portugal é baseado na classificação adotada por Novais (2019), que em sua tese utilizou-o para o bioma Cerrado, no Brasil (texto retirado). O método é considerado híbrido, de caráter empírico e genético, seguindo uma hierarquia que aborda desde os níveis superiores até os inferiores da escala do clima, como mostrado a seguir por Novais e Galvani (2022):
A classificação climática de Novais é dividida em 8 hierarquias, sendo elas: 1) Zona Climática: de controle astronômico, determinada pela incidência dos raios solares durante o ano; 2) Clima Zonal - regulado pela Temperatura Média do Mês mais Frio (TMMMF); 3) Domínio Climático: também controlado pela TMMMF, mas com atuação de sistemas atmosféricos, fundamentais para a diferenciação dessas unidades climáticas; 4) Subdomínio Climático: determinado pela quantidade de meses secos (precipitação menor que a evapotranspiração potencial); 5) Tipo Climático: mostra a localização dos Domínios e Subdomínios no continente; 6) Subtipo Climático: também são delimitados por sua localização, mas com um melhor refinamento em relação aos Tipos, recebendo a nomenclatura da unidade geomorfológica do relevo em que está inserido; 7) Mesoclima: delimitado por elementos geomorfológicos de pequenos táxons, formas de relevo de grande destaque na paisagem e também pelas zonas urbanas; e 8) Topoclima: aplicado a vertentes de relevo (p. 5).
As unidades climáticas foram formadas pela interação dessas hierarquias, dependendo da escala adotada. Para esse trabalho, utilizou-se todo o nível superior da escala do clima e o primeiro nível da escala inferior (até a 6ªhierarquia climática de Novais). A Tabela 1 demonstra a conexão das hierarquias climáticas de Novais (2019) com as escalas do clima.
Dados de reanálise ERA-Interim
Para definição dos domínios e subdomínios climáticos, foi necessário obter uma base de dados de 30 anos para temperatura e precipitação. Os dados utilizados foram obtidos do projeto CHELSA (Climatologies at High Resolution for the Earth’s Land Surface Areas) de Karger et al. (2021). O CHELSA consiste em um conjunto de dados de resolução melhorada a partir de produtos de reanálise global disponíveis para download gratuito, utilizando mais de 26 mil estações meteorológicas espalhadas pela superfiice do Planeta (Novais, 2023). O projeto dispõe de dados matriciais com resolução espacial de 1km² em formato matricial de temperatura do ar, precipitação e 19 biovariáveis derivadas. Para esse trabalho, foi utilizado a versão 2.1, com médias mensais de temperatura do ar e precipitação do período de 1989 a 2018. Os dados foram baixados, recortados para Portugal, e calculada a média mensal para os 30 anos da série, gerando uma normal climatológica desse período (Figura 2).

Fonte: Novais e Machado (2023)
Figura 2: Roteiro metodológico para classificação de domínios e subdomínios climáticos
Softwares utilizados
Os cálculos necessários para definição dos domínios e subdomínios climáticos foram incluídos em dois modelos cartográficos gerados no software livre Dinamica EGO (Figura 2). O software consiste em uma plataforma de modelagem de dados que permite a associação de dados espaciais e não espaciais, utilizando-se equações condicionais. A definição dos domínios climáticos é calcada na Temperatura Média do Mês Mais Frio (TMMMF). De acordo com Novais e Machado (2023), o modelo consulta todos os rasters mensais de temperatura média identificando qual é o pixel mais frio do ano. Em seguida, concatena esses valores em um único raster, definindo, assim, a TMMMF (Figura 3). Este raster é, então, reclassificado pelo modelo utilizando os limiares de TMMMF apresentados na Tabela 2.

Fonte: próprios autores
Figura 3: Temperatura do mês mais frio (a) e mês mais frio do ano (b) para Portugal
Para definição dos subdomínios são observados os meses secos do ano, os quais são definidos conforme a subtração dos valores de precipitação pelos valores de evapotranspiração potencial (ETP). Conforme Novais e Machado (2023), essa é estimada através do método de Thornthwaite e Matter (1955), obtendo-se, primeiramente, a evapotranspiração potencial padrão (ETp, mm/mês) pela fórmula:
Onde Tn é a temperatura média do mês n, em °C e I e a são índices que expressam o nível de calor disponível na região.
Para o cálculo dos índices térmicos, aplicou-se as equações:
No caso de Tn> 26,5°C, a ETp é dada pela equação de Willmott et al. (1985).
O valor de ETP calculado, por definição, representa o total mensal de evapotranspiração que ocorreria naquelas condições térmicas, mas para um mês padrão de 30 dias, em que cada dia teria 12 horas de fotoperíodo (Thornthwaite & Matter, 1955). Portanto, para se obter a ETP do mês correspondente, a ETP deve ser corrigida em função do número real de dias e do fotoperíodo do mês. Os valores de correção são apresentados por Thornthwaite e Matter (1955) como uma média para determinadas faixas latitudinais, conforme é apresentado na Tabela 3.
Tabela 3: Fator de Correção da Evapotranspiração Potencial Padrão para Portugal

Fonte: Thornthwaite e Matter (1955).
Após calculada a ETP, o modelo faz a subtração dos valores mensais de ETP pela precipitação e define os pixels que representam meses secos, sendo aqueles em que o resultado da subtração é negativo (Figura 4a). Ao final, é calculado o número de meses secos no ano por pixel e esse raster é reclassificado de acordo com os limiares apresentados na Figura 4b.

Fonte: próprios autores
Figura 4: Número de meses secos no ano em Portugal (a); Classificação de Subdomínios(b)
Em seguida, os rasters resultantes do modelo de domínio e subdomínio foram convertidos para o formato shapefile no software ArcGis 10.8, os quais são sobrepostos em um único arquivo através da ferramenta “union” contendo duas colunas na tabela de atributos com os dados de domínios e subdomínios. É feita a simbologia dos dados utilizando-se a categorização por vários campos que permite a visualização dos dados de domínio e subdomínio sobrepostos (Novais e Machado, 2023).
A metodologia de mapeamento dos tipos climáticos (Figura 5) utilizou a localização dos domínios e subdomínios dentro do continente europeu, baseado na delimitação de unidades de relevo como planícies litorâneas, depressões e escarpas de planaltos e serras; juntamente com aspectos bioclimáticos continentais, de acordo com Roekaerts (2002). Os subtipos climáticos foram divididos dentro dos tipos climáticos, a partir da morfoescultura do relevo e orientados pelas unidades geomorfológicas de Portugal, conforme Pereira et al. (2014).

Fonte: próprios autores
Figura 5: Tipos climáticos presentes em Portugal, a partir da localização dos domínios e subdomínios no continente europeu
Para a identificação das unidades climáticas no mapa, foi elaborada uma codificação mostrando a interação hierárquica dos climas, de acordo com Novais e Machado (2023). A Figura 6, apresenta o código (em inglês) da unidade climática Temperado semisseco mediterrâneo ibérico, da bacia do baixo Zêzere. No domínio utilizamos duas letras (Te), uma abreviação de Temperado; o subdomínio, que é determinado pela quantidade de meses secos, é mostrado por caracteres que vão de ( ” ) úmido, ( ’ ) semiúmido, ( * ) semisseco e ( ** ) seco; e para o tipo climático são empregadas mais três letras em caixa baixa (mib = mediterranean iberian). O subtipo é mostrado pelo número, relacionado a unidade geomorfológica em que está inserido, em ordem alfabética.
Resultados
O clima regional de Portugal apresenta um forte gradiente oeste-leste, segundo Daveau (1985), isso resulta da diminuição progressiva da intensidade e frequência da penetração das massas de ar atlânticas. Outro fator importante da divisão regional é o relevo, que facilita, ou dificulta, a circulação, ou estagnação, das massas de ar, sendo modificadas no seu deslocamento pelo continente.
Os resultados são apresentados a seguir, abordando, primeiramente, os aspectos térmicos e pluviométricos de Portugal, gerando um panorama das características climáticas, para então se apresentar a classificação climática obtida.
Aspectos termo-pluviométricos de Portugal
A Figura 7a mostra a temperatura média anual para Portugal, onde podemos observar os maiores valores no extremo sudeste do país, seguindo o vale do Guadiana, onde os valores são superiores a 17,8°C. O centro-sul de Portugal apresenta uma certa uniformidade térmica entre 15,9° e 17,8°C; e a partir daí, para o norte, a temperatura do ar mostra uma maior diversidade, sendo que nas maiores altitudes do relevo os valores ficam abaixo de 7,9°C, devido ao resfriamento adiabático do ar.
A ETP anual relaciona-se com a temperatura do ar (Figura 7b), pois a perda de umidade do solo para atmosfera é diretamente relacionada com o calor atmosférico. Os maiores valores estão no sudeste de Portugal, com mais de 920 mm, e os menores valores (abaixo de 620 mm) nas regiões serranas de maior proeminência, como a Serra da Estrela, Peneda-Geres e Marão.
A precipitação pluviométrica acumulada anual é apresentada na Figura 7c, sendo visível que o sul do país, após o maciço calcário Estremenho-Guardunha, recebe uma quantidade abaixo de 750 mm, isso devido a barreira orográfica do maciço central. Acontece a mesma característica no nordeste do país (Trás-os-Montes), com a continentalidade e sombra de chuvas (barreira de condensação) provocada pelas serras minhotas (Peneda-Gerês), Cabreira, Marão, Montemuro, Alvão e Barroso. Os maiores valores localizam-se no oeste da ilha da Madeira (acima de 2500 mm), e também nas vertentes a barlavento da serra de Peneda-Gerês (entre 2150 e 2500mm), com maior atuação dos ventos úmidos do litoral norte de Portugal.
Unidades climáticas de Portugal
A classificação de Novais é dividida em hierarquias, que faz uma unidade climática integrar a outra a partir da escala adotada. A seguir, começa a caracterização e a descrição analítica das unidades climáticas, presentes no mapa da Figura 13, mostrando todas as hierarquias utilizadas, sendo que a 6ª (subtipo climático), será apresentada em forma de quadros.
Zona Climática
A inclinação do eixo de rotação da Terra em relação ao plano de órbita ao redor do Sol, diferencia a altura solar na superfície terrestre, sendo mais evidenciada durante os solstícios. Para Novais (2019), o Planeta é cortado por linhas imaginárias de incidência solar que delimitam as Zonas Climáticas, sendo elas: Equador, Subequadores, Trópicos, Subtrópicos e Círculos Polares (Figura 8).
Todo o território português está inserido na Zona Climática Moderada, ou seja, entre os paralelos de 23°27’ Norte (Trópico de Câncer) e 46°54’ Norte (Subtrópico Setentrional). Essa zona climática tem uma particularidade: em nenhuma época do ano o Sol estará a pino (no zênite local), mas no verão a incidência solar é alta e com grande duração da luz do dia.
4.2.2. Climas Zonais
Nos Climas Zonais a temperatura varia de acordo com limites específicos, que vão desde a percepção ao frio de populações localizadas na região equatorial, até a proliferação de doenças tropicais e acúmulo de neve no inverno (Novais, 2019). A Figura 9 mostra a distribuição dos Climas Zonais no Planeta.
O Clima Zonal Moderado, com TMMMF entre 0° e 15°C, ocupa a totalidade de Portugal Continental (Figura 10). Já na Ilha de Santa Maria (Arquipélago dos Açores), e no arquipélago da Madeira, configura-se o Clima Zonal Quente, com TMMMF entre 15° e 22,5°C.
4.2.3. Domínios Climáticos
A escala regional do clima mostra a interação dos aspectos astronômicos com os sistemas meteorológicos, influenciando a 3ª, 4ª e 5ª hierarquias climáticas da classificação de Novais. O domínio tem na TMMMF seu principal atributo, mas sistemas atmosféricos podem diferenciá-los de outros com a mesma característica (caso da Zona de Convergência Intertropical entre os Domínios Equatorial e Tropical, por exemplo).
Na Figura 11 são apresentados os domínios climáticos de Portugal: Tropical Ameno (ilhas oceânicas), Subtropical e Temperado.
Os domínios são divididos em subdomínios de acordo com a quantidade de meses secos (precipitação pluviométrica menor que ETP), tornando-os mais úmidos ou mais secos. Já os tipos climáticos, mostram a localização dos domínios e subdomínios dentro do continente, que no caso de Portugal, é a Europa. Tipos podem extravasar o território português, como por exemplo os continentais e mediterraneos ibéricos. Os subtipos são divisões dos tipos, de acordo com a unidade geomorfológica presente.
O mapa das unidades climáticas portuguesas (Figura 12) apresenta as 6 hierarquias adotadas nesse trabalho. As duas primeiras (Zonas Climáticas e Climas Zonais) estão representadas em dois encartes menores, mostrando a distribuição dessas unidades pelo País. Os domínios climáticos são simbolizados em cores diferentes (padronizadas para todo globo terrestre): verde para o Tropical Ameno; azul para o Subtropical e roxo para o Temperado. Os subdomínios são divididos em 4 tons de cores, quanto mais claro mais seco. Já os tipos climáticos, presentes em Portugal, foram traçados a partir da localização dos domínios e subdomínios dentro do continente europeu, sendo mostrados em forma de uma linha tracejada e identificados por numerais romanos. Os subtipos são agrupados por linhas pontilhadas de acordo com a unidade geomorfológica em que está inserido, e codificados em ordem alfabética.
As 125 unidades climáticas até a 6ª hierarquia (subtipos climáticos), foram codificadas pelo método já especificado anteriormente na metodologia. Essas unidades serão mostradas em forma de quadros dentro dos textos referentes aos domínios, com seus valores de área, altitude, temperatura média do mês mais frio (TMMMF), precipitação pluviométrica, evapotranspiração potencial (ETP) e quantidade de meses secos. Como diz Daveau (1985), o agrupamento dos climas sub-regionais não faz mais do que sugerir a existência de uma certa afinidade entre as características dos locais incluídos em cada região, mas de maneira alguma a uniformidade desta.

Fonte: próprios autores
Figura 12: Unidades climáticas de Portugal, segundo a classificação de Novais
Domínio Tropical Ameno (TrM)
O Tropical Ameno é um domínio climático caracterizado pelas suas temperaturas médias mais baixas em relação ao domínio Tropical, sendo uma transição para o domínio Subtropical. É o domínio mais quente de Portugal, com somente 139 km² de área no País, em dois locais distintos das ilhas oceânicas: o litoral da ilha de Santa Maria, nos Açores; e o litoral de todas ilhas do arquipélago da Madeira. A predominância do Anticiclone dos Açores durante o período de verão, favorece a estabilidade do tempo, provocando um verão quente e seco, o que acontece também em Portugal continental. A altimetria varia de 0 a 391 metros. Funchal (Madeira) e Vila do Porto (Açores), são as principais cidades desse domínio climático.
O Clima Zonal é Quente, pois sua TMMMF (fevereiro) está entre 15,0° e 17,2 °C. A precipitação média tem uma grande variação, a Ilha de Porto Santo (arquipélago da Madeira) registra os menores valores (abaixo de 400 mm), e os maiores valores estão nas vertentes a barlavento do norte da ilha da Madeira, ultrapassando os 2100 mm.
Possui 4 subdomínios: úmido, com 3 meses secos (litoral ocidental da ilha da Madeira); semiúmido, com 4 a 5 meses secos (litoral oriental da ilha da Madeira, litoral da ilha de Santa Maria - Açores); semisseco, com 6 a 7 meses secos (pico do Facho na ilha de Porto Santo-Madeira); e seco, com 8 a 9 meses secos (ilha de Porto Santo e ilhas Desertas-Madeira). O domínio climático Tropical Ameno aparece somente no tipo climático Oceânico Português. A Tabela 4 mostra os 5 subtipos climáticos de domínio Tropical Ameno presentes nas ilhas oceânicas portuguesas.
Tabela 4: Tipos climáticos de Domínio Tropical Ameno em Portugal

Fonte: adaptada pelos autores a partir de Programa Dinamica EGO, CHELSA, SRTM, Roekaerts (2002) e Pereira et al. (2014).
Domínio Subtropical (St)
Com uma área abrangendo um quarto do território português, o domínio Subtropical ocupa toda a faixa litorânea do país, desde o Algarve até o norte de Portugal, além de grande parte das ilhas oceânicas, e também avançando pelo interior pelos vales do Tejo e Guadiana. É o clima predominante das principais cidades portuguesas, Lisboa e Porto, além de outros importantes sítios como: Aveiro, Leiria, Cascais, Santarém, Setúbal e Faro. A alta dos Açores contribui com a estabilidade do tempo no verão, enquanto as frentes frias vindas do norte, aumentam a precipitação e diminuem a temperatura do ar no inverno. A altimetria não ultrapassa os 430 metros em Portugal Continental.
Esse domínio climático pertence ao Clima Zonal Moderado, pois possui TMMMF (janeiro em Portugal Continental, fevereiro na Madeira e março nos Açores) entre 10,0°C e 14,9°C. Há ocorrência de geadas anuais nas proximidades das maiores elevações, principalmente no limite com o Domínio Temperado.
O acumulado médio de chuva anual atinge os maiores valores no norte do país, com mais de 1800 mm. A precipitação tem uma queda significativa a partir do centro de Portugal, chegando aos menores valores na Bacia do Guadiana (489 mm). A ETP fica entre 704 a 986 mm anuais.
Possui 3 subdomínios: úmido, de 2 a 3 meses secos, exclusivo do litoral do distrito de Viana do Castelo; semiúmido, de 4 a 5 meses secos, aparecendo desde o litoral de Esposende (Norte) até Setúbal (Centro), avançando para o interior do país, em média, por 20 km no norte, 40 km no centro e 100 km no sudoeste; e semisseco, de 6 a 7 meses secos, nos vales do rio Tejo, Saldo e Guadiana, além do litoral alentejano (abrigado pelo rebordo meridional da Serra da Arrábida), do Faro e do Cabo de São Vicente, no Algarve. O domínio Subtropical está presente nos tipos Oceânico Português e Mediterrâneo Ibérico, derivando em 42 subtipos climáticos, sendo apresentados na Tabela 5.
Tabela 5: Subtipos climáticos de Domínio Subtropical em Portugal

Fonte: adaptada pelos autores a partir de Programa Dinamica EGO, CHELSA, SRTM, Roekaerts (2002) e Pereira et al. (2014).
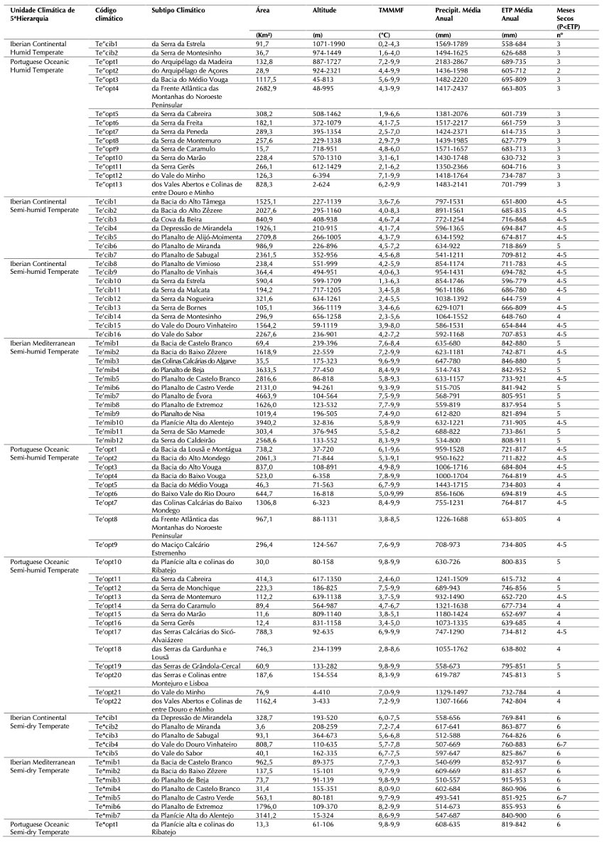
Domínio Temperado (Te)
O maior domínio climático presente em Portugal é o Temperado. Sua área tem aproximadamente 68.682 km², e se estende por todo o interior do país, chegando bem próximo ao litoral nos distritos de Viana do Castelo, Braga e Porto. É um domínio, que na Europa, vai desde Portugal até a Polônia e os Balcãs. Nas ilhas oceânicas prevalece nos cumes montanhosos. Caracterizado por ter um verão moderamente quente, influenciado pelo anticiclone dos Açores e inverno frio, na maior parte. É dividido principalmente em duas áreas: próximo a faixa litorânea (mais úmida), e a leste, de influência continental (mais seca). As principais cidades portuguesas presentes nesse domínio são: Coimbra, Braga, Bragança, Vila Real, Viseu, Guarda, Castelo Branco, Évora e Beja. A altimetria varia de valores que vão desde próximo ao nível do mar até as maiores elevações de Portugal.
De Clima Zonal Moderado, tem a TMMMF (janeiro) entre 0,2° e 9,9°C; esse menor valor ocorre na Serra da Estrela, o que deixa o topônimo bem próximo do Clima Zonal Frio. A precipitação média anual varia de 493 mm no sudeste do país a mais de 2300 mm nas serras de Peneda-Geres, fronteira com a Espanha. A ETP tem valores mais baixos em relação ao Subtropical, variando de 558 a 954 mm. Possui 3 subdomínios: úmido, de 2 meses secos (Montanha do Pico, nos Açores) e 3 meses secos (desde o extremo norte até a Serra do Caramulo, e na Serra da Estrela); semiúmido, de 4 a 5 meses secos, na maior parte do centro-leste português; e semisseco, de 6 a 7 meses secos, no alto Douro e alto Tejo português. Está presente nos 3 tipos climáticos: Oceânico Português, Mediterrâneo Ibérico e Continental Ibérico, derivando em 77 subtipos climáticos, a maior quantidade de Portugal, sendo apresentados na Tabela 6.
Tabela 6: Subtipos climáticos de Domínio Temperado em Portugal

Fonte: adaptada pelos autores a partir de Programa Dinamica EGO, CHELSA, SRTM, Roekaerts (2002) e Pereira et al. (2014).
4. Considerações Finais
Com os dados de reanálise do CHELSA, obtemos uma distribuição espacial uniforme dos dados de temperatura, precipitação e evapotranspiração, diferentemente do que encontramos em outras publicações, que utilizam estações meteorológicas espalhadas irregularmente pelas áreas de estudo, e não usam a influência do relevo.
Conforme os resultados alcançados, podemos verificar que o oeste (de tipo Oceânico) e o sul português (de tipo Mediterrâneo), possuem domínios Subtropical e Temperado, com influência direta do sistema de alta pressão dos Açores, de verão seco e inverno úmido. O domínio Tropical Ameno foi encontrado somente no arquipélago da ilha da Madeira e na ilha de Santa Maria (Açores), com temperaturas do ar mais elevadas. O interior de Portugal continental pertence a um Domínio Temperado, de tipos Continental e Mediterrâneo, com subdomínios mais secos em relação ao litoral.
A metodologia de mês seco utilizada por Novais (2019), evidencia a importância da quantidade de água disponível no sistema solo-planta-atmosfera, um dos principais parâmetros do balanço hídrico climatológico, e utiliza a diferença da precipitação pluviométrica com a ETP, o que difere essa classificação climática de outras anteriormente utilizadas. Sendo assim, foram registrados os 4 subdomínios climáticos existentes relacionados a meses secos: úmido, semiúmido, semisseco e seco (esse último registrado somente no domínio climático Tropical Ameno do arquipélago da Madeira).
A caracterização e a descrição analítica das unidades climáticas, mostra a importância da divisão em hierarquias, e elimina o problema do aparecimento de climas iguais em locais diferentes do país e do globo. A escala zonal do clima, de influência astronômica, é apresentada pelas primeiras hierarquias, ou seja, Zonas Climáticas e Climas Zonais. A escala regional do clima é caracterizada pelos Domínios, Subdomínios e Tipos Climáticos, e a escala sub-regional pelos Subtipos Climáticos.
Sobre uma comparação com classificações climáticas utilizadas em Portugal, como a de Köppen (Verslype et al., 2016), podemos notar que a quantidade de unidades climáticas é bem superior, sendo que a metodologia de Novais consegue obter mais detalhamento, chegando até a escala sub-regional do clima. Conforme a Figura 13, a Classificação de Köppen fica restrita a Escala Regional.
No que diz respeito à implementação da metodologia de Novais a modelagem cartográfica, essa representou um importante avanço para a pesquisa, na medida em que permitiu o processamento de um grande volume de dados em tempo reduzido. Além disso, permitiu a classificação climática na resolução espacial original dos dados (1km²), representando um ganho na perspectiva escalar da classificação. Assim, o geoprocessamento e a modelagem provam ser importantes aliados nos estudos do clima, subsidiando a manipulação e produção de dados de extrema importância ao entendimento das condições ambientais do espaço.




























