INTRODUÇÃO
Tropaeolum majus L., popularmente conhecida por capuchinha, é originária do Peru, México e regiões da América Central. Seu nome popular faz alusão à forma de suas flores, que quando vistas por trás lembram um capuz (Reis, 2006). Planta da família Tropaeolaceae, de crescimento vigoroso, hábito trepador, flores grandes com colorações variadas, com duas pétalas superiores inteiro-onduladas e três inferiores estreitas em forma de franja (Souza et al., 1998).
A capuchinha é uma planta bastante versátil e toda parte aérea possui ampla utilização, como planta medicinal, melífera, hortaliça não-convencional e ornamental (Franzen et al., 2016; Reis, 2006).
Com o crescimento e desenvolvimento do mercado gastronômico, os chefs de alto padrão começaram a buscar produtos novos para decoração dos mais incríveis e inova dores pratos. Surgiram então as flores comestíveis, que agregam ao prato não só beleza, mas também, eventualmente, sabor (Orr, 2011). A capuchinha é uma planta totalmente comestível, eclética e de ampla utilização. Silva (2012) descreve que o sabor de suas flores se assemelham ao agrião, que a planta pode ser usada como vegetal fresco não convencional, bem como medicinal e ornamental em projetos de paisagismo.
O manejo correto de flores é muito importante, principalmente quando estas são destinadas à alimentação, pois não se podem utilizar agrotóxicos ou tratamentos químicos. O manejo de irrigação é um fator que interfere diretamente no desenvolvimento e produção da planta por isso a importância de se escolher a técnica de irrigação que melhor irá se adequar à cultura, de maneira a suprir a necessidade hídrica da mesma.
Existem pesquisas que comprovam a alta eficiência da técnica de subirrigação por capilaridade, inclusive em substrato comercial, em que o molhamento ocorre facilmente, atingindo rapidamente a frente de umedecimento em diferentes colunas de substrato, como estudado por Barreto et al. (2012). Esta técnica se torna uma ótima alternativa para o manejo da planta, pois o umedecimento ocorre assim que o vaso entra em contato com a lâmina, além de diminuir a lixiviação dos nutrientes contidos no substrato, a umidade atinge as raízes por ascensão capilar.
Estudos sobre o sistema radicular das plantas ainda são escassos, embora, recentemente, tem-se observado um aumento destes. Segundo Otto et al. (2009) o estudo do sistema radicular, sob condições naturais, é muito laborioso. Por esta razão, sabe-se muito pouco sobre a morfologia, distribuição e fisiologia deste órgão. No caso de espécies ornamentais, pouquíssimos autores se dedicaram a este estudo.
O conhecimento do sistema radicular da capuchinha, bem como de outras flores e plantas ornamentais, é de extrema importância para o manejo correto da cultura, pois, associado a fatores edafoclimáticos, raízes bem desenvolvidas promovem melhor absorção e aproveitamento da água e de nutrientes, aplicados via substrato.
A compreensão dos fenômenos que ocorrem na parte aérea das plantas torna-se mais completa quando também se compreende o que ocorre abaixo da superfície do solo, principalmente com relação ao crescimento e à distribuição de raízes (Silva, 2015b).
Deste modo, estudar o sistema radicular e o manejo de irrigação via capilaridade, em plantas ornamentais pode ser uma ferramenta a mais para orientar práticas de manejo destas espécies. Diante do exposto, objetivou-se avaliar a técnica de irrigação por capilaridade (subirrigação) na produção de flores e no crescimento radicular da capuchinha.
MATERIAL E MÉTODOS
O experimento foi conduzido em casa de vegetação, na área experimental do curso de Engenharia Agrícola, da Universidade Federal do Pampa, Alegrete, Rio Grande do Sul, em temperatura média variando entre 18,9 ºC e 20,4 ºC e umidade relativa do ar oscilando entre 73,7 % e 80,6%. A insolação total mensal, entre os meses de março à agosto, variam de 155,1 à 232,8 horas mensais (INMET, 2009).
Para a produção das mudas foram utilizadas sementes da capuchinha cultivar ‘Jewel’ (Tropaeolum majus L.), a semeadura foi realizada no dia 31 de março de 2017, dispostas em duas bandejas alveoladas de isopor, ambas com perfurações na base para fins de aeração e drenagem da água. As células foram preenchidas com substrato comercial (Mecplant®), composto por casca de pinus, vermiculita, corretivo de acidez e fertilizantes. As irrigações foram feitas diariamente, com borrifadores. Aos 22 dias após a semeadura, as mudas, unitariamente, foram transplantadas para vasos de polietileno com capacidade de 1,28 L e altura de 11 cm, preenchidos com o mesmo substrato utilizado para emergência.
Para o substrato foram determinadas as seguintes características físico-hídricas: espaço de aeração; densidade; volume dos sólidos e dos poros; e a capacidade de retenção de água do vaso (CV), seguindo metodologia proposta por Kämpf et al. (2006).
O delineamento experimental foi bifatorial 4x4, inteiramente casualizado, com quatro repetições, totalizando 64 unidades experimentais. Sendo o primeiro fator altura de lâmina de água (13, 12, 10 e 8 cm) e o segundo fator tempo de subirrigação: T1 - acréscimo de 2 minutos do tempo de CV; T2 - tempo para atingir a CV; T3 - redução de 2 minutos do tempo de CV e T4 - redução de 4 minutos do tempo de CV. Assim, segundo Gava et al. (2015) e Pereira (2017), os tratamentos que recebiam lâmina de água inferior a 100% da CV estavam em condições de déficit hídrico, os que recebiam lâmina superior a 100% da CV foram submetidos ao excesso hídrico, já os tratamentos que recebiam a lâmina de água correspondente a 100% da CV, encontrar-se em condição de irrigação plena.
As definições das alturas de lâmina e tempos de subirrigação ocorreram a partir da determinação da CV. A mesma foi determinada seguindo a metodologia proposta por Kämpf et al. (2006). No Quadro 1 são apresentados os valores utilizados do tempo de subirrigação e de altura de lâmina de água, para cada tratamento, adotados no manejo de irrigação.
Quadro 1 Tempos das subirrigações em função das cargas de água adotadas nos diferentes tratamentos, no cultivo em vaso da capuchinha (Tropaeolum majus L)
| Carga de água (cm) | Tempos de subirrigação (min.) | |||
| T11 | T22 | T33 | T44 | |
| 8 | 13 | 11 | 9 | 7 |
| 10 | 11 | 9 | 7 | 5 |
| 12 | 9 | 7 | 5 | 3 |
| 13 | 7 | 5 | 3 | 1 |
1 acréscimo de 2 minutos do tempo T2; 2 tempo para atingir a CV; 3 redução de 2 minutos do tempo T2; 4 redução de 4 minutos do T2.
Para as subirrigações, utilizaram-se bacias plásticas de 44 cm de diâmetro e 14,5 cm de altura. Em cada bacia, já preenchida com a altura de lâmina de água designada, eram dispostos os vasos de cada tratamento, e o tempo da subirrigação cronometrado. A frequência da subirrigação foi realizada conforme a demanda hídrica da cultura e, das condições meteorológicas no interior da casa de vegetação.
O consumo de água pela planta foi mensurado pela fórmula:
em que ETr é a evapotranspiração da cultura no início de um dado intervalo de tempo (mm.dia-¹); Mi é a massa de substrato e água contida no vaso no início de um dado intervalo de tempo; Mi+1 é a massa de substrato e água remanescente no final do intervalo de tempo considerado; I é a irrigação aplicada no intervalo Δt; D é a drenagem que ocorre no período Δt.
Para determinar a produção, computou-se o número de flores, a partir do 56 dia após transplante (DAT) até o ápice de seu desenvolvimento (180 DAT), considerado o estágio final de frutificação, onde a planta alcançou sua produção máxima de flores, e suas inflorescências já estavam desenvolvidas e produzindo frutos.
A avaliação do sistema radicular da planta, foi realizada aos 180 DAT, por meio da retirada da planta inteira do vaso, sem danificar as raízes. As mesmas foram depois lavadas em água corrente, a fim de retirar o excesso de substrato.
O comprimento das raízes foi obtido com auxílio de mesa quadriculada, com escala em centímetros, sendo cada quadrícula de área igual a 1 cm2. Posteriormente, para a obtenção do teor de umidade, as mesmas foram armazenadas em sacos de papel e pesadas, para então serem submetidas a secagem, a 65 ºC, em estufa e pesadas novamente para obtenção da matéria seca.
O teor de umidade foi obtido através da razão da diferença entre a massa úmida e a massa seca da planta pela massa úmida, conforme metodologia proposta por Neto e Barreto (2011).
Os dados foram submetidos à análise estatística com o software Assistat (Silva, 2015a) com embasamento no delineamento experimental bifatorial, sendo testada a interação entre os fatores: altura de lâmina de água e tempo de subirrigação, a 5% (0,01=<p<0,05) de probabilidade pelo teste F. Sendo a interação significativa ajustou-se uma superfície de resposta, caso contrário, submeteu-se cada fator à análise de regressão buscando-se ajustar as equações. Na análise de regressão foram testados os modelos linear, polinomial quadrático e cúbico. As equações de regressão que melhor se ajustaram aos dados foram escolhidas com base na significância dos coeficientes de regressão a 5% de probabilidade pelo teste F, e no maior valor, superior a 70%, do coeficiente de determinação (R2). Segundo Garcia (1989), valores de coeficiente de determinação superiores a 0,70 indicam bons ajustes, entre as duas variáveis analisadas, e há recomendação de uso do modelo matemático gerado.
RESULTADOS E DISCUSSÃO
Através da caracterização físico-hídrica, realizada no substrato comercial Mecplant®, obteve-se 38,3% de espaço de aeração, 993,4 g.L-1 para densidade, a relação volume de poros e volume de sólidos foi de 1,0 e a capacidade de retenção de água do vaso foi de 27,7%.
O espaço de aeração está acima da faixa considerada ideal por De Boodt e Verdonck (1972), de 0,20-0,30 m3.m-3. Os resultados encontrados assemelham-se aos de Bellé e Kämpf (1993), que obtiveram valor de 0,42 m3.m-3 para essa característica.
Ferraz et al. (2005) em trabalho cujo objetivo foi determinar propriedades físicas e químicas dos seguintes substratos comercias: Germina (10%), Germina (20%), F3, F8, F12, Fibra Flor, Garden Plus e Turfa, obtiveram valores de espaço de aeração variando de 0,17 m3.m-3 a 0,28 m3.m-3.
Bosa et al. (2003) analisando o crescimento de mudas de Gypsophila paniculata, em diferentes substratos comerciais, obtiveram valores, muito inferiores ao ideal, variando de 3% a 11%.
A densidade do substrato estudado, assim como o espaço de aeração, está acima do valor considerado ideal. Segundo Bunt (1973), a densidade entre 400 e 500g.L-1 é a perfeita para o pleno desenvolvimento da planta. Esses valores, entretanto, são dependentes da altura do recipiente (Milks et al., 1989). Kämpf (2005) recomenda utilizar substratos com densidade de 100 a 350 kg.m-3 para bandejas multicelulares, de 250 a 400 kg.m-3 para vasos de até 15 cm de altura, de 300 a 550 kg.m-3 para vasos de 20 a 30 cm de altura e, de 500 a 800 kg.m-3 para vasos maiores de 30 cm de altura.
A relação poros/sólidos observada, no substrato em estudo, foi inferior ao recomendado por Kämpf et al. (2006). Para os autores, a relação poros/sólidos das matérias-primas indicadas para uso na composição de substratos devem-se encontrar, geralmente, acima de 3,0%.
Os valores observados corroboram com Schwab et al. (2010). Estes autores, realizando a caracterização física de dois substratos comercias, Plantmax Hortaliças® (PTX) e Carolina Joice® (CJ), encontraram valores de 1,3 e 2,1, para a relação poros/sólidos, respectivamente. Para a capacidade de retenção de água do vaso, estes autores observaram valores de 18% e 17,6% para os substratos PTX e CJ, respectivamente.
Na Figura 1, apresentam-se os consumos médios de água da capuchinha (mm.dia-1), observados nas diferentes alturas de lâminas ao longo de seus respectivos tempos de subirrigação. Os valores mais elevados de consumo de água foram alcançados nos tempos correspondes ao T2 (100% da CV) de cada altura de carga de água. Notou-se o maior consumo diário para a carga de água de 10 cm, com um consumo de 1,04 mm.dia-¹, para o tempo de subirrigação de 9 minutos. Já, na carga d’água de 12 cm, no tempo de subirrigação de 5 min, observou-se o menor consumo médio diário, 0,53 mm.dia-¹, que equivale também ao tempo em que a planta consumiu menor quantidade de água, em todas as alturas de água.

Figura 1 Consumo hídrico (mm.dia-1) da capuchinha (Tropaeolum majus L), cultivada em vasos, para as diferentes cargas de água e tempos de subirrigação.
O consumo de água, pelas plantas, não apresentou crescimento linear com o aumento das cargas de água e dos tempos de subirrigação. Estes resultados corroboram parcialmente com Ferrarezi et al. (2017), em trabalho cujo objetivo foi avaliar o efeito de diferentes alturas de lâmina e tempos de permanência de água na umidade volumétrica de substratos comerciais em subirrigação. Estes autores observaram aumento da umidade volumétrica dos substratos com a aplicação de alturas crescentes de lâmina. No entanto, o tempo de permanência de água apresentou pouca ou nenhuma influência nos resultados. Os autores concluíram que a subirrigação com altura de lâmina intermediária, foi a mais adequada como indicadora da umidade do substrato, em razão do menor efeito da evaporação que ocorre na camada superior e da saturação da camada inferior.
Já Gent e McAvoy (2011), encontraram aumento exponencial da umidade volumétrica com o aumento do tempo de permanência da água na mesa de subirrigação, variando de 0,22 a 0,58 m3.m-3 para tempos de 2 a 20 min.
O consumo de água observado foi inferior a outras espécies ornamentais. Soares et al. (2015) estudando cultivares de Kalanchoe blossfeldiana Poelln., cultivadas em substrato industrializado para floricultura, produto à base de fibra longa de turfa e vermiculita, notaram consumos médios diários, nos tratamentos com reposições de 100%, 80%, 60% e 40% da CV de, 7,41, 5,92, 4,44 e 2,96 mm.dia-1, respectivamente, com irrigação realizada superficialmente. Peiter et al. (2007), trabalhando com irrigação superficial, obtiveram a máxima eficiência técnica, para a mesma espécie, quando os valores de lâminas de irrigação variaram de 9 a 11 mm.dia-1. Souza et al. (2010), estudando o consumo hídrico e desempenho também da mesma espécie cultivada em substratos alternativos, observaram que o consumo oscilou entre 2,80 e 3,06 mm dia-1. Essas diferenças de consumo devem-se às características agronômicas destas espécies, pois o Kalanchoe é uma planta com um porte maior e folhas mais suculentas que a capuchinha.
Também, pode-se atribuir a diferença, entre os valores de consumo hídrico observados com os encontrados na literatura, ao método de irrigação utilizado e ao tipo de substrato empregado no experimento.
Entretanto, os resultados do presente estudo, se assemelham aos de Soares et al. (2017), que pesquisando os efeitos de níveis de irrigação superficial sobre a cultura da pimenta ornamental (Capsicum frutescens), cultivada em vaso com substrato comercial Mecplant®, registraram um consumo médio de água, variando entre 0,48 mm dia-1, para o tratamento com reposição de 20% da CV e 1,09 mm dia-1, no tratamento com 40% da CV. Essa semelhança, no consumo, deve-se às características fisiológicas análogas, entre esta espécie e a capuchinha.
Observaram-se diferenças significativas (Quadro 2) entre os fatores altura de carga de água e o tempo de subirrigação, ao nível de 5% de probabilidade, para o número de flores e comprimento da raiz (cm). No entanto, para o teor de umidade (%) do sistema radicular, não houve diferença significativa.
Quadro 2 Análise da variância para o número de flores, comprimento de raiz (cm) e teor de umidade do sistema radicular (%), no cultivo da Tropaeolum majus L, submetida a diferentes cargas de água e tempos de subirrigação
| Fontes de variação | GL1 | SQ2 | QM3 | F4 |
| Número de flores | ||||
| Altura de lâmina - H | 3 | 7,57207 | 2,52402 | 0,5733-- |
| Tempo de subirrigação - T | 3 | 38,15484 | 12,71828 | 2,8886-- |
| H x T | 9 | 89,42591 | 9,93621 | 2,2567 * |
| Resíduo | 48 | 211,34023 | 4,40292 | |
| Total | 63 | 346,49304 | ||
| Comprimento da raiz (cm) | ||||
| Altura de lâmina - H | 3 | 304,06543 | 101,35514 | 7,6719-- |
| Tempo de subirrigação - T | 3 | 1,09937 | 0,36646 | 1,1654-- |
| H x T | 9 | 1,87862 | 0,20874 | 2,1958* |
| Resíduo | 48 | 3,48238 | 0,07255 | |
| Total | 63 | 7,26132 | ||
| Teor de umidade do sistema radicular (%) | ||||
| Altura de lâmina - H | 3 | 198,11232 | 66,03744 | 3,4786-- |
| Tempo de subirrigação - T | 3 | 46,81801 | 15,60600 | 0,8221-- |
| H x T | 9 | 287,05870 | 31,89541 | 1,6801 ns |
| Resíduo | 48 | 911,22890 | 18,98394 | |
| Total | 63 | 1.443,21793 | ||
1GL: graus de liberdade; 2SQ: soma de quadrados: 3QM: quadrado médio;4F: F calculado; --: os tratamentos são quantitativos; * significativo ao nível de 5%; ns: não significativo a 5% de probabilidade de erro.
A Figura 2 apresenta os valores médios de número de flores por planta em função dos fatores altura da lâmina de água e tempo de subirrigação. A produção máxima, de 9 flores por planta, foi alcançada na maior altura de lâmina em que a planta foi submetida (13 cm) no tempo de subirrigação de 3 minutos (100% da CV). Os resultados obtidos foram superiores ao encontrado por Melo et al. (2003), com produção média de cinco flores por planta computadas a partir do 55º DAT, ao avaliarem o crescimento da capuchinha (Tropaeolum majus) em hidroponia.

Figura 2 Valores médios do número de flores por planta, da Tropaeolum majus L, em função dos tempos de subirrigação e das alturas de carga de água.
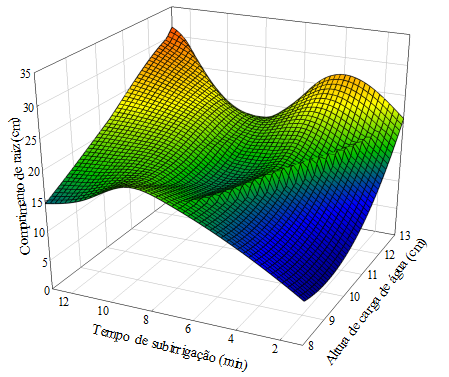
As médias do comprimento da raiz em função dos fatores altura de lâmina e tempo de subirrigação, são apresentadas na Figura 3, onde é possível observar que o maior comprimento foi de 26,25 cm, alcançado na altura de lâmina de água de 13 cm, no tempo de subirrigação de 3 minutos (100% da CV). Os resultados mostram que o comprimento da raiz decresce, conforme diminui a altura da lâmina. Assim, quanto menor a quantidade de água aplicada, via subirrigação na planta, menor tende a ser o seu comprimento radicular e seu porte.

Figura 3 Valores médios de comprimento de raiz, da Tropaeolum majus L., em função dos tempos de subirrigação e das alturas de carga de água.
Estes resultados corroboram com o estudo de Ball et al. (1994), no qual demonstram que o maior desenvolvimento das raízes ocorre nas camadas de solo, cuja disponibilidade de água foi maior.
Girardi et al. (2012) avaliando o comportamento e desenvolvimento radicular, de gipsofila (Gypsophila), em substrato de casca de arroz carbonizada, irrigada superficialmente, sob diferentes limites de disponibilidade hídrica e sua influência sobre parâmetros de produção, observaram que o crescimento radicular foi restringido à medida que o limite de disponibilidade hídrica reduziu.
Para Nascimento (2007), em trabalho com mamona (Ricinus communis), o parâmetro de volume das raízes foi afetado negativamente pela diminuição nos níveis de água no solo. Gruszynski et al. (2003), trabalhando com crisântemo (Chrysanthemum morifolium), em substrato formado pelas misturas de casca de tungue e casca de arroz carbonizada, constataram haver aumento do comprimento do sistema de raízes à medida que aumentava a água disponível no substrato, o que indica a forte atuação do fator água no desenvolvimento das raízes.
Esses resultados estão de acordo com Ferrarezi et al. (2013), que trabalhando com subirrigação, provaram que valores crescentes de conteúdo volumétrico de água, proporcionaram maior desenvolvimento vegetal na produção de porta-enxertos cítricos.
A Figura 4 apresenta o sistema radicular exposto da capuchinha, submetida às alturas de lâmina de água de 13, 12, 10 e 8 cm, nos tempos de subirrigação que equivalem ao tempo T2 (100% da CV). É visualmente perceptível o crescimento do sistema radicular da capuchinha com o aumento da altura de lâmina de água.

Figura 4 Sistema radicular da Tropaeolum majus L, nas cargas de água de 13 cm (a), 12 cm (b), 10 cm (c) e 8 cm (d), no tempo de subirrigação correspondente a 100% da CV, sobre mesa com quadrículas de área igual a 1 cm2.
Observou-se diferença na distribuição das raízes em função das alturas de lâmina, onde o sistema radicular tende a achatar quanto menor a altura da carga hídrica. Trata-se de um indício que conforme o decréscimo da lâmina, surge a dificuldade de crescimento radial das raízes.
Os resultados encontrados respaldam os observados por Girardi et al. (2012), estes em experimento com gipsofila (Gypsophila paniculata) envasada em substrato de casca de arroz carbonizada, em diferentes níveis de irrigação superficial, observaram uma distribuição visual diferenciada, em relação aos diferentes níveis de disponibilidade hídrica, o qual demonstrou que o déficit hídrico influencia diretamente no desenvolvimento radicular da planta. Os referidos autores concluem que a disponibilidade hídrica altera a distribuição espacial das raízes no vaso assim como o seu comprimento e matéria seca. O sistema radicular das plantas submetidas a irrigação com 100% da capacidade de retenção do vaso, apresentaram melhor distribuição ao longo do vaso, pois a água colocada na superfície alcançava as camadas inferiores do vaso. Já, quando as plantas foram submetidas a condições de déficit hídrico, o sistema radicular apresentou-se mais superficial, e em alguns casos teve um crescimento de retorno à superfície onde se concentrava a maior umidade.
A Figura 5 apresenta o teor de umidade do sistema radicular da capuchinha, em função das alturas de lâminas e tempos de subirrigação. A variável, em ambas as situações, ajustou-se a uma equação de terceiro grau, com coeficiente de determinação (R2) de 1. Na Figura 5a, para a variável em função da altura de lâmina, alcançou-se a máxima eficiência técnica (MET) na altura de carga de água de 11,67 cm, correspondente a 91,86% de teor de umidade. Já, a MET para o tempo de subirrigação (Figura 5b) ocorreu aos 3,34 min, com um teor de umidade da parte radicular de 91,22%.

Figura 5 Valores médios do teor de umidade do sistema radicular, da Tropaeolum majus L, em função das alturas de carga de água (a) e dos tempos de subirrigação (b).
Nota-se que próximo destes pontos de máxima eficiência técnica, para o teor de umidade do sistema radicular, também foi registrada a máxima produtividade de flores. As menores alturas de lâmina de água com tempos de subirrigação mais longos, além de demorarem mais para produzir flores, tiveram redução no crescimento radial, assumindo uma forma mais achatada. Esses resultados concordam com os de Scapinelli et al. (2016) que relatam que a redução do índice de área radicular do girassol provoca diminuição do desenvolvimento e da produtividade da cultura.
Esses resultados corroboram com os encontrados por Girardi et al. (2012), para a cultura da gipsofila (Gypsophila paniculata) e com Farias e Saad (2003), para o crisântemo (Chrysanthemum morifolium), os quais demonstraram que o déficit hídrico influenciou diretamente na formação de massa radicular das cultivares estudadas.
CONCLUSÕES
Níveis de altura de lâmina e tempos de subirrigação afetaram diretamente a distribuição espacial, o comprimento e o teor de umidade das raízes, assim como a produção de flores.
As plantas submetidas à maior altura de lâmina de água, nos tempos de subirrigação correspondentes à capacidade de vaso, produziram mais flores, bem como apresentaram uma melhor distribuição e maior comprimento do sistema radicular.
A subirrigação é uma técnica viável para a produção de capuchinha, onde a produção de flores e o crescimento radicular, podem ser regulados através dos níveis de lâmina de água e tempos de subirrigação.













