Serviços Personalizados
Journal
Artigo
Indicadores
-
Citado por SciELO -
Acessos
Links relacionados
-
Similares em
SciELO
Compartilhar
Revista de Ciências Agrárias
versão impressa ISSN 0871-018X
Rev. de Ciências Agrárias vol.42 no.2 Lisboa jun. 2019
https://doi.org/10.19084/rca.17175
ARTIGO
Gherkin seedling production in saline environment based on seeds treated with biostimulant
Produção de mudas de maxixeiro em meio salino a partir de sementes tratadas com bioestimulante
Francisco de A. de Oliveira*, Maria L. de Souza Neta, Salvador de B. Torres, Antônia A. T. Souza, Dennis D. A. da Silva and Sandy T. dos Santos
Universidade Federal de Rural do Semi-Árido, Dpto. de Ciências Ambientais e Tecnológicas, Campus Mossoró, CEP: 59625-900, Mossoró, RN, Brasil
(*E-mail: thikaoamigao@ufersa.edu.br)
ABSTRACT
Quality seedling production is related to various factors including irrigation water quality which, depending on the quantity of salts dissolved in it, can negatively affect seed germination, seed vigor and seedling growth. The aim of this experiment was thus to evaluate gherkin seedling germination and development in saline stress conditions using seeds treated with different doses of biostimulant. To do so, gherkin seeds cv. Liso de Calcutá, were subject to two levels of irrigation water salinity (0.5 and 3.5 dS m-1) and five doses of Stimulate® biostimulant (0, 5, 10, 15, and 20 mL kg-1 of seeds) in a completely randomized experimental framework using a 2 x 5 factorial design with four 40 seed repetitions. Seedlings emergence, emergence speed index, number of leaves, root collar diameter, plantlet height, root length, dry mass of root and of aerial part, and total dry mass were evaluated at the end of this experiment. The results indicated that high quality seedlings were obtained using seed treatment with a biostimulant in 10 mL kg-1 of seed doses; however, the use of saline water considerably reduced gherkin seedling development and inhibited the beneficial effect of biostimulants.
Keywords: Cucumis anguria. Salinity. Seed treatment. Bioregulator.
RESUMO
A produção de mudas de qualidade está relacionada a diversos fatores incluindo a qualidade da água de irrigação que dependendo da quantidade de sais nela dissolvidos pode afetar negativamente a germinação e vigor das sementes e mudas. Desse modo, o objetivo deste experimento foi avaliar a germinação e o desenvolvimento das mudas de maxixeiro em condições de estresse salino a partir de sementes tratadas com diferentes doses de bioestimulante. Para isso, utilizaram-se sementes de maxixeiro, cv. Liso de Calcutá, submetidas a dois níveis de salinidade da água de irrigação (0,5 e 3,5 dS m-1) e cinco doses do bioestimulante Stimulate® (0; 5; 10; 15 e 20 mL kg-1 de sementes) em delineamento experimental inteiramente casualizado, em esquema fatorial 2 x 5, com quatro repetições de 40 sementes. Avaliou-se ao final do experimento a emergência de plântulas, índice de velocidade de emergência, número de folhas, diâmetro do colo, altura de plântula, comprimento da raiz, massa seca de raiz, massa seca da parte aérea e total. A análise dos resultados indicou que mudas de melhor qualidade foram obtidas a partir do tratamento de sementes com bioestimulante na dosagem de 10 mL kg-1 de sementes; porém, o uso de água salina reduz consideravelmente o desenvolvimento de mudas de maxixeiro e inibe o efeito benéfico do bioestimulante.
Palavras-chave: Cucumis anguria. Salinidade. Tratamento de sementes. Biorregulador.
INTRODUCTION
The gherkin (Cucumis anguria L.), from the Cucurbitaceae family, is a creeping or climbing, annual, rustic plant, normally cultivated in small scale in the regions North and Northeast of Brazil. Its edible fruit has a green skin, is oval in format, and can have small spines that are soft and blunt (Filgueira, 2008). Consumption of this fruit is more extensive in the North and Northeast regions of Brazil in natura (salads), jarred (pickled), or cooked (stews or soups).
Due to the gherkin being a barely exploited crop, studies related to this species are rare, and papers with an emphasis on seedling production are even less evident (Oliveira et al., 2016, 2017). However, this stage of cultivation is of major importance, since final plant development in a particular location depends on it (Trani et al., 2007).
In the seedling production stage, some factors should be taken into consideration. These include the quality of water used in irrigation, particularly in regards to salinity, since a high level of salt, especially sodium chloride (NaCl), can negatively affect germination due to a reduction in osmotic potential, causing damage to the other stages in the germination process (Lima et al., 2005). Moreover, salinity can result in a decrease in crop development as well as in performance, since badly formed seedlings will result in plants that produce below their genetic potential (Viana et al., 2001).
Recent studies demonstrate that the gherkin is a crop sensitive to salinity (Morais et al., 2018; Souza Neta et al., 2018), both in the germination phase (Alves et al., 2014), and in the growth and production phase (Oliveira et al., 2014).
To the problems resulting from salinity, which often occurs in semiarid regions, an alternative must be found in order to reduce the negative effect on plant development. Among the promising technologies that act in the initial stage of development, under conditions of stress, is the use of substances with a growth regulating effect (Veluppillai et al., 2009). These plant growth regulators act in promoting an increase in productivity, although their use is not yet routine practice in crops that have not yet reached a high technological level, such as the gherkin.
The application of growth regulators during the initial stages of plant development generally promotes root growth, thus allowing rapid recovery after stress conditions (Silva et al., 2014; Souza Neta et al., 2018). Also, according to these authors, it increases resistance to insects, pests, diseases, and nematodes, and promotes rapid and uniform plant establishment, since it considerably improves the plants’ intake of nutrients.
In this context, the aim of this study was to evaluate gherkin seedling quality in saline stress conditions using seeds treated with biostimulant.
MATERIAL AND METHODS
The experiment was developed out during the period from June and July 2014, in a greenhouse at the Department of Environmental and Technological Sciences (DCAT) of the Federal Semi-Arid Rural University (UFERSA), Mossoró-RN, Brazil (5º11’31" S, 37º20’40" W).
The experimental framework used was completely randomized, with the treatments arranged in a 2 x 5 factorial design, with four repetitions, each one composed of 40 cells (four rows containing ten cells each). The first factor was composed of two irrigation water salinity levels (0.5 dS m-1, using water from the UFERSA supply sector, and 3.5 dS m-1, obtained from dissolving sodium chloride (NaCl) in tap water in a saline level of 0.5 dS m-1), the salinity of which was adjusted using a Tec-4MP stand conductivity meter (Tecnal®). The second factor was composed of five doses of biostimulant (Stimulate®) applied via seed treatment (0, 5, 10, 15, and 20 mL kg-1 of seeds).
The gherkin seeds, cv. Liso de Calcutá, from the company Feltrin® were acquired in the Mossoró, RN market. This cultivar has a 70 to 80 day cycle, with oblong shaped fruits that are light green in color, and have an average weight of 75 g and are 4 to 6 cm in length.
Stimulate® is a liquid product composed of three vegetable regulators, containing 90 mg L-1 (0.009%) of kinetin, 50 mg L-1 (0.005%) of gibberellic acid, 50 mg L-1 (0.005%) of indolbutiric acid, and 99.981% inert ingredients (Stoller do Brasil, 1998).
The seed treatment was carried out by applying the biostimulant directly over the seeds with a graduated pipette. The seeds were then conditioned in transparent plastic bags, inflated and agitated for one minute in order to level out the distribution of the product over their surface. After this, all seeds were collected to dry in the shade on a paper towel for one hour. For the treatments in which the biostimulant was absent (0 mL kg-1), the seeds underwent the same treatment but using distilled water.
Seeding was fulfilled out in plastic trays of 200 cells, filled with coco fiber based substrate (Vida Verde®), 100% coco fiber material, with a fine texture and without a base fertilizer, with one seed placed per cell.
During the experiment, irrigations were performed out daily using water with two levels of salinity, as previously described, in which the capillary irrigation was floating, which was installed on a 5 x 1 m wooden stand and 1m high racks. The top part of the stand was divided into four 80 x 80 cm parts using pieces of wood (beams). Each part was covered with plastic canvas forming a micro-pool with the ability to condition two trays (Oliveira et al., 2014).
The nutritive solution used was that recommended for melon crop in hydroponic system (Castellane and Araújo, 1994), because there is no specific recommendation for the culture of the gherkin and once this present similar requirement to the melon crop (Oliveira et al., 2012), containing the following nutrient concentration, in mg L-1: 200 (N); 40 (P); 165 (K); 150 (Ca); 133 (Mg); 100 (S); 0.3 (B); 2.2 (Fe); 0.6 (Mn); 0.3 (Zn); 0.05 (Cu), and 0.05 (Mo). In addition to micronutrients: 36 g of Fe-DTPA, 1.8 g of boric acid; 2.54 g of manganese sulfate; 1.15 g of zinc sulfate; 0.12 of copper sulfate, and 0.12 g of sodium molybdate.
The trays remained in one cm water film until seedling removal (21 days after sowing). The saline solution was replacement out daily for all the treatments, applying enough volume to replace what had been evapotranspirated and always maintaining a one cm saline solution film.
The seedlings were collected 21 days after sowing, and 20 seedlings from each repetition (two central rows in the plot) were evaluated for plantlet emergence (PE); emergence speed index (ESI), determined according to Maguire (1962) (ESI = E1/N1+E2/N2+ En/Nn), where: ESI= speed of seedling emergence index; E1, E2, En= number of emerged plants in the first, second, and at last counts; N1, N2, Nn= number of days from sowing to first, second and last counts; number of completely expanded leaves (NL); root collar diameter (RCD); plantlet height (HGHT); main root length (MRL); dry mass of the aerial part (DMAP); of the root part (DMR) and total dry mass (TDM).
Statistical analysis
The data obtained were submitted to a Two-Way Analysis of variance and the resulting average salinities were compared using the ‘t’ test with a 5% probability level. The data regarding the effect of biostimulant doses were subjected to regression analysis, because they are quantitative variables. Statistical analysis was performed using the System for Variance Analysis - SISVAR computer program (Ferreira, 2011).
RESULTS AND DISCUSSION
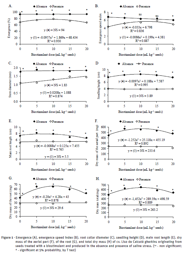
According to the analysis of variance (Table 1), the interaction between the factors salinity (S) and biostimulant (B) had significant effect on seedling emergence, emergence speed index, and main root length, on collar diameter, height, shoot dry matter, root dry matter and total dry matter, and there was no effect of interaction on the number of leaves (Table 1).
For the individual factors, salinity caused significant effect on all variables, whereas the biostimulant had effect on collar diameter, main root length, shoot dry matter, root dry matter and total dry matter. For this factor, there was no significant response of seedling emergence, emergence speed index, number of leaves and seedling height to the application of biostimulant (Table 1).
The use of non-salinized nutrient solution led to higher values of emergence percentage (Figure 1A), stem diameter (Figure 1C), shoot length (Figure 1D), root length (Figure 1E), shoot dry matter (Figure 1F), root dry matter (Figure 1G) and total dry matter (Figure 1H), regardless of the applied doses of biostimulant. Regarding the emergence speed index (Figure 1B), there were significant differences only at the doses 0, 5 and 20 mL kg-1 of seeds, with higher values obtained in the absence of salt stress.
Seed treatment with the biostimulant did not affect the number of leaves, independent of salinity, with average values of 5 to 4 leaves per seedling being obtained for 0.5 and 3.5 dS m-1 levels, respectively. This result is in accordance with Silva et al. (2014) when they applied a biostimulant to melon seeds.
The negative effect of saline stress under number of leaves was also verified by Alves et al. (2014), who found reductions in the vigor and initial development of gherkins. The same occurred for other species from the same botanical family, such as watermelons (Ribeiro et al., 2012) and mogango pumpkins (Harter et al., 2014).
The reduction of the vigor of seedlings with increased saline stress may be related to the occurrence of physiological drying, since when there is an addition in the concentration of salts in the germinative environment, it causes a reduction in osmotic potential, and consequently a loss in hydric potential (Fanti and Perez, 2004).
According to Góis et al. (2008), a reduction in germination, verified in saline environments when compared to non-saline ones, serves as a parameter for evaluating the tolerance index of the species to salinity. It also indicates plant tolerance to salts in subsequent stages of development (Taiz and Zeiger, 2013).
Concerning the biostimulant effect, it was verified that there was no significant effect on emergence in the absence of saline stress, in function of the different concentrations of Stimulate®, obtaining an average of 94% (Figure 1A). Silva et al. (2014), in evaluating cv. Crimson Sweet watermelon plantlet emergence and development, did not verify any effect of applying vegetable regulators via seeds on emergence either.
For the plantlets under conditions of saline stress, a second degree polynomial effect is observed in which an increase in emergence percentage initially occurred as a result of an increase in the concentration of biostimulant, with a maximum value of 78% for 9.77 mL kg-1 of seeds doses; after this dose, there was a reduction in the gherkin plantlet emergence percentage (Figure 1A).
In relation to the emergence speed index, it was verified that the seedlings produced in the absence of saline stress exhibited a decreasing linear response, reaching 6.24 for 20 mL kg-1 of seeds doses. This result showed that the biostimulant made germination slower, despite not affecting the final result (Figure 1B).
For the seedlings subjected to saline stress, a second degree polynomial response was found, with an initial increase in the ESI occurring from the point at which the biostimulant dose was increased (Figure 1B). The highest ESI (5.5) was obtained with 11.6 mL kg-1 of seed doses. After this, a reduction in this index was verified, obtaining 4.93 for the highest dose of biostimulant (20 mL kg-1 of seed). As Munns and Tester (2008) emphasize =d, soil salinity can basically influence plant growth in two ways: high concentrations of salt in the soil makes water extraction by roots difficult, as well as causing plant phytotoxicity. Therefore, according to these authors, regulation of the flow of ions is necessary, keeping toxic levels low and maintaining a good level of those regarded as essential.
The increase in the number of leaves may be related to axillary gems having direct contact with the applied product, because the cytokinin present in the biostimulant can antagonize the inhibiting effect caused by auxin, produced by the plant’s apical meristem, over gem development (Taiz and Zeiger, 2013). Therefore, this effect did not occur for this study, probably due to the short evaluation time. The effect of a drop in lateral gem dormancy was also verified in sweet potato by Rós et al. (2015), in which an increase in Stimulate® concentrations up to 9.8 mL L-1 doses caused an increase in the number of leaves.
For root collar diameter, a significant response to the biostimulant was only verified for seedlings irrigated with saline water, exhibiting a linear and positive behavior (Figure 1C). Here, it is verified that the highest value occurred for 20 mL kg-1 of seeds doses (1.48 mm), causing a 37% increase in relation to the absence of a biostimulant (1.11 mm). Similar result was shown by Souza et al. (2013) that also found that the use of Stimulate® biostimulant caused an increase in the rootstock stem diameter of "Cleopatra" tangerines. In this case, 6 mL kg-1 doses caused the highest results for this variable. According to Oliveira et al. (2005), the increase obtained may be related to the joint action of gibberellin and cytokinin.
There was no biostimulant dose effect for height (Figure 1D) nor for main root length for gherkin seedlings submitted to saline stress (Figure 1E), with average values of 3.89 and 5.5 cm being obtained, respectively. On the other hand, these variables, in the absence of saline stress, were affected quadratic by an increase in biostimulant doses, with the highest values verified for 10.4 and 7.75 mL kg-1 of seeds doses, respectively. These results differ, in part, from those obtained by Silva et al. (2014), who did not find any significant response from this bioregulator in melon seedlings.
No biostimulant dose effect was verified for gherkins irrigated with saline water for the variables dry mass of the aerial part (Figure 1F), of the root (Figure 1G), and total dry mass (Figure 1H), the average values for which were 235, 29.6, and 264.6 mg plant-1, respectively. On the other hand, when the plants were irrigated with less saline water, these variables behaved quadratically. With increases in biostimulant doses, they reached the highest levels with 10.03, 10.7, 10.12 mL kg-1 of seeds doses, with 581.16, 66.3, and 647.4 mg plant-1 for dry mass of the aerial part, of the root, and total dry mass, respectively (Figures 1F, 1G, and 1H).
Other authors also verified positive responses for seed treatment with a biostimulant for biomass production in cowpeas (Oliveira et al., 2013) and passion fruits (Ferraz et al., 2014).
The increase in the accumulation in dry mass in response to seed treatment with Stimulate® is probably due to the actions of substances present in this bioregulator, since gibberellic acid, cytokinin, and auxin are hormones that are responsible for cellular division, with the former promoting stem growth via meristematic cell differentiation and the latter resulting in phloem and xylem differentiation (Taiz and Zeiger, 2013).
CONCLUSIONS
Cv. Liso de Calcutá gherkin seeds treated with a biostimulant in 10 mL kg-1 of seeds doses are effective for seedling production without saline stress.
The use of saline water considerably reduces gherkin seedling development and inhibits the beneficial effect of the biostimulant.
The use of biostimulant, a substance composed of growth hormones, tends to reduce the effect of saline stress on plants, being an efficient strategy for seed treatment in regions where the use of saline water is unavoidable.
REFERENCES
Alves, C.Z.; Lourenço, F.M.S.; Silva, J.B. & Silva, T.R.B. (2014) - Efeito do estresse hídrico e salino na germinação e vigor de sementes de maxixe. Interciencia, vol. 39, n. 5, p. 333-337. [ Links ]
Castellane, P.D. & Araújo, J.A.C. (1994) - Cultivo sem solo: hidroponia. Jaboticabal, Funep. 43 p. [ Links ]
Fanti, S.C. & Perez, S.C.J.G.A. (2004) - Processo germinativo de sementes de paineira sob estresses hídrico e salino. Pesquisa Agropecuária Brasileira, vol. 39, n. 9, p. 903-909. http://dx.doi.org/10.1590/S0100-204X2004000900010 [ Links ]
Ferraz, R.A.; Souza, J.M.A.; Santos, A.M.F.; Gonçalves, B.H.L.; Reis, L.L. & Leonel, S. (2014) - Efeitos de bioestimulante na emergência de plântulas de maracujazeiro ‘Roxinho do Kênia’. Bioscience Journal, vol. 30, n. 6, p. 1787-1792. [ Links ]
Ferreira, D.F. (2011) - Sisvar: a computer statistical analysis system. Ciência e Agrotecnologia, vol. 35, n. 6, p. 1039-1042. http://dx.doi.org/10.1590/S1413-70542011000600001 [ Links ]
Filgueira, F.A.R. (2008) - Novo manual de olericultura. 3ª ed. Viçosa, UFV. 421p. [ Links ]
Góis, V.A.; Torres, S.B. & Pereira, R.A. (2008) - Germinação de sementes de maxixe submetidas a estresse salino. Revista Caatinga, vol. 21, n. 4, p. 64-67. [ Links ]
Harter, L.S.H.; Harter, F.S.; Deuner, C.; Meneghello, G.E. & Villela, F.A. (2014) - Salinidade e desempenho fisiológico de sementes e plântulas de mogango. Horticultura Brasileira, vol. 32, n. 1, p. 80-85. http://dx.doi.org/10.1590/S0102-05362014000100013 [ Links ]
Lima, M.G.S.; Lopes, N.F.; Moraes, D.M. & Abreu, C.M. (2005) - Qualidade fisiológica de sementes de arroz submetidas a estresse salino. Revista Brasileira de Sementes, vol. 27, n. 1, p. 54-61. http://dx.doi.org/10.1590/S0101-31222005000100007 [ Links ]
Morais, D.L.; Aroucha, E.M.M.; Oliveira, F.A.; Medeiros, J.F.; Paiva, C.A. & Nascimento, L.V. (2018) - Impact of salinity on quality and post-harvest conservation of gherkin (Cucumis anguria L.). Journal of Agricultural Science, vol. 10, n. 4, p. 167-177. https://doi.org/10.5539/jas.v10n4p167 [ Links ]
Munns, R. & Tester, M. (2005) - Mechanisms of salinity tolerance. Annual Review of Plant Biology, vol. 59, p. 651-681. http://dx.doi.org/10.1146/annurev.arplant.59.032607.092911 [ Links ]
Oliveira, A.; Ferreira, G.; Rodrigues, J.D.; Ferrari, T.B.; Kunz, V.L.; Primo, M.A. & Poletti, L.D. (2005) - Efeito de reguladores vegetais no desenvolvimento de mudas de Passiflora alata Curtis. Revista Brasileira de Fruticultura, vol. 27, n. 1, p. 9-13. http://dx.doi.org/10.1590/S0100-29452005000100005 [ Links ]
Oliveira, F.A.; Medeiros, J.F.; Oliveira, M.K.T.; Souza, A.A.T.; Ferreira, J.A. & Souza, M.S. (2013) - Interação entre salinidade e bioestimulante na cultura do feijão-caupi. Revista Brasileira de Engenharia Agrícola e Ambiental, vol. 17, n. 5, p. 465-471. http://dx.doi.org/10.1590/S1415-43662013000500001 [ Links ]
Oliveira, F.A.; Oliveira, J.M.; Souza Neta, M.L.; Oliveira, M.K.T. & Alves, R.C. (2017) - Substrato e bioestimulante na produção de mudas de maxixeiro. Horticultura Brasileira, vol. 35, n. 1, p. 141-146. http://dx.doi.org/10.1590/S0102-053620170122 [ Links ]
Oliveira, F.A.; Oliveira, M.K.T.; Silva, O.M.P.; Maia, P.M.E.; Paiva, E.P. & Silva Júnior, J.G. (2012) - Desenvolvimento do maxixeiro cultivado em substrato fertirrigado com diferentes soluções nutritivas. Revista Brasileira de Ciências Agrárias, vol. 7, p. 777-783. http://dx.doi.org/10.5039/agraria.v7isa2014 [ Links ]
Oliveira, F.A.; Pinto, K.S.O.; Bezerra, F.M.S.; Lima, L.A.; Cavalcante, A.L.G.; Oliveira, M.K.T. & Medeiros, J.F. (2014) - Tolerância do maxixeiro, cultivado em vasos, à salinidade da água de irrigação. Revista Ceres, vol. 61, n. 1, p. 147-154. http://dx.doi.org/10.1590/S0034-737X2014000100020 [ Links ]
Oliveira, F.A.; Ribeiro, M.S.S.; Oliveira, M.K.T.; Martins, D.C.; Souza Neta, M.L. & Medeiros, J.F. (2016) - Produção de mudas de cultivares de maxixeiro em fibra de coco fertirrigadas com diferentes concentrações de nutrients. Revista Ceres, vol. 63, n. 5, p. 698-705. https://doi.org/10.1590/0034-737X201663050015 [ Links ]
Ribeiro, A.A.; Sales, M.A.L.; Eloi, W.M.; Moreira, F.J.C. & Sales, F.A.L. (2012) - Emergência e crescimento inicial da melancia sob estresse salino. Revista Bio Engenharia, vol. 6, n. 1, p. 30-38. [ Links ]
Rós, A.B.; Narita, N. & Araújo, H.S. (2015) - Uso de regulador de crescimento na cultura da batata-doce. Cientifica, vol. 43, n. 2, p. 135-142. http://dx.doi.org/10.15361/1984-5529.2015v43n2p135-142 [ Links ]
Silva, M.J.R.; Bolfarini, A.C.B.; Rodrigues, L.F.O.S.; Ono, E.O. & Rodrigues, J.D. (2014) - Formação de mudas de melancia em função de diferentes concentrações e formas de aplicação de mistura de reguladores vegetais. Revista Scientia Plena, vol. 10, n. 10, p. 1-9. [ Links ]
Souza Neta, M.L.; Oliveira, F.A.; Torres, S.B.; Souza, A.A.T.; Silva, D.D.A. & Santos, S.T. (2018) - Gherkin cultivation in saline medium using seeds treated with a biostimulant. Acta Scientarum Agronomy, vol. 40, art. e35216. https://doi.org/10.4025/actasciagron.v40i1.35216 [ Links ]
Souza, J.M.A.; Gonçalves, B.H.L.; Santos, A.M.F.; Ferraz, R.A. & Leonel, S. (2013) - Efeito de bioestimulante no desenvolvimento inicial de plântulas do porta-enxerto cítrico tangerineira ‘Cleópatra‘. Scientia Plena, vol. 9, n. 8, p. 1-8. [ Links ]
Stoller do Brasil (1998) - Stimulate® Mo em hortaliças. Cosmópolis: Stoller do Brasil Divisão Arbore. 1v. (Informativo Técnico). [ Links ]
Taiz, L. & Zeiger, E. (2013) - Fisiologia vegetal. 5ª ed. Porto Alegre, Artmed. 918 p. [ Links ]
Trani, P.E.; Feltrin, D.M.; Pott, C.A. & Schwingel, M. (2007) - Avaliação de substratos para produção de mudas de alface. Horticultura Brasileira, vol. 25, n. 2, p. 256-260. http://dx.doi.org/10.1590/S0102-05362007000200025 [ Links ]
Veluppillai, S.; Nithyanantharajah, N.; Vasantharuba, S.; Balakumar, A. & Arasaratnam, V. (2009) - Biochemical changes associated with germinating rice grains and germination improvement. Rice Science, vol. 16, n. 3, p. 240-242. https://doi.org/10.1016/S1672-6308(08)60085-2 [ Links ]
Viana, S.B.A.; Rodrigues, L.N.; Fernandes, P.D. & Gheyi, H.R. (2001) - Produção de alface em condições de salinidade a partir de mudas produzidas com e sem estresse salino. Revista Brasileira de Engenharia Agrícola e Ambiental, vol. 5, n. 1, p. 60-66. http://dx.doi.org/10.1590/S1415-43662001000100011 [ Links ]
Received/recebido: 2018.01.19
Accepted/aceite: 2018.12.16













