Serviços Personalizados
Journal
Artigo
Indicadores
-
Citado por SciELO -
Acessos
Links relacionados
-
Similares em
SciELO
Compartilhar
Psicologia, Saúde & Doenças
versão impressa ISSN 1645-0086
Psic., Saúde & Doenças vol.20 no.2 Lisboa ago. 2019
https://doi.org/10.15309/19psd200205
Escala de qualidade de vida (EQV): evidências psicométricas de medida em adultos
Quality of life assessment scale(QVS): psychometric evidences the measure for adult
Iama Soares1, Amanda Silva1, Isabelle Chariglione1, Nilton Formiga2, & Gislane Ferreira de Melo1
1Universidade Católica de Brasília (UCB), Brasília, Brasil, iama@ucb.br, amandaalvesgerontologia@gmail.com, ichariglione@gmail.com, gmelo@ucb.br
2Universidade Potiguar, UnP, Brasil, nsformiga@yahoo.com
RESUMO
O conceito de qualidade de vida tem emergido como um fator de destaque nas investigações relacionadas à saúde, e por este motivo, nas últimas décadas, surgiram diversos instrumentos com o propósito de avaliá-la. No entanto, o Brasil ainda dispõe de poucos indicadores sobre a prevalência e a inter-relação de fatores comportamentais de risco à saúde. O objetivo deste estudo foi elaborar uma Escala Psicométrica para avaliação de qualidade de vida em adultos. É uma pesquisa de cunho quantitativo, onde para a construção do instrumento Escala Psicométrica para Avaliação de Qualidade de Vida (EQV) foi elaborada uma escala de 05 pontos. Esta escala foi composta inicialmente por 68 itens e aplicada a 551 sujeitos adultos, residentes no Distrito Federal. A partir da análise estatística, surgiu um novo instrumento, com 23 itens. Nesta última versão, foi excluído o fator religiosidade devido à sua baixa consistência interna (0,71). O modelo final do construto “qualidade de vida” foi composto, portanto, por dois vetores ortogonais, com correlação positiva, representados pelos fatores: “comportamental e psicológico”. A partir dos resultados apresentados, pode-se afirmar que a EQV representa um importante passo no estudo da qualidade de vida, pois o plano vetorial estabelecido por esta, possibilita a avaliação do perfil real do indivíduo a partir dos grupos tipológicos propostos no modelo.
Palavras-chaves: instrumentos psicométricos, qualidade de vida, bem-estar
ABSTRACT
The concept of quality of life has emerged as a prominent factor in investigations related to health. For this reason, in recent decades, there have been various instruments in order to assess the well-being and quality of life of populations. However, Brazil still has a few indicators on the prevalence and the interrelationship of behavioral risk factors to health. Therefore, the aim of this study was to develop a psychometric scale for assessing quality of life in adults. It is a quantitative nature of research, where for the construction of psychometric scale instrument for Quality of Life Assessment (VEK) was drawn up a scale of 05 points. This scale consisted of 68 items and applied to 551 adult subjects residing in the Federal District. From the statistical analysis, a new instrument, with 23 items. In this latest version, the religious factor was excluded due to its low internal consistency (0.71). The final model construct "quality of life" comprised thus by two orthogonal vectors with positive correlation represented by the following factors: "behavioral and psychological." From the results presented, it can be said that the VEK is an important step in the study of quality of life, because the vector plan established by this permits the evaluation of the actual profile of the individual from the typological groups proposed in the model.
Keywords: psychometric instruments, quality of life, well-being
Na atualidade, pesquisas científicas têm evidenciado que, em qualquer sociedade, o processo saúde-doença está intimamente relacionado com uma rede multicausal onde, além de aspectos genéticos e biológicos, causas subjetivas como a relação do homem com o meio-ambiente, formas de enfrentamento das situações cotidianas e estilos de vida ganham destaque por interferirem diretamente na saúde como fatores de risco (Geib, 2012; Melo & Egry, 2014; Rocha & Ciosak, 2014).
A complexidade do estado vital “saúde” fomenta estudos sobre critérios para considerar objetivamente uma pessoa como sã ou com uma qualidade de vida boa. Estes estudos buscam a identificação de fatores externos, na tentativa de minimizar a mortalidade por causas muitas vezes “evitáveis” (Moreira & Furegato, 2013). A literatura especializada reforça aspectos emocionais, atitudes e comportamentos habituais como fatores de risco ao surgimento de diversas doenças, convidando à reflexão sobre a inter-relação entre as emoções e as funções corporais (Silva, Pais-Ribeiro, Cardoso, & Ramos, 2012). Fatores modificáveis como inatividade física, fumo, dieta inadequada e uso excessivo de bebidas alcoólicas, por exemplo, estão intimamente relacionados às mortes prematuras por doenças crônicas não transmissíveis (Cyrino & Nardo Junior, 2012; Mota, 2013; Pinto, Pichon-Riviere, & Bardach, 2015).
Para se especificar ou compreender melhor a relação dos sujeitos com situações do dia-a-dia, a qualidade de vida deve ser valorizada em todas as esferas onde se desenvolvam atividades humanas, com o intuito de conhecer e comparar o estado de saúde das populações e melhor delinear programas de intervenção.
Nas últimas décadas, o conceito de qualidade de vida tem emergido como um fator de destaque nas investigações relacionadas à saúde, sendo muitos os instrumentos que visam avaliar a mesma (Campos, & Rodrigues Neto, 2014; Rufine, Formiga, Valentini, & Melo, 2013; Silva, et al., 2012). No entanto, muitas escalas têm sido aplicadas principalmente às populações enfermas cujas percepções do nível de saúde podem encontrar-se alteradas em função da doença (Almeida & Pereira, 2012; Duarte, Miyazaki, Ciconelli, & Sesso, 2003; Novelli, 2014)
Como a avaliação da qualidade de vida apresenta inúmeros aspectos subjetivos, deve-se realizá-la com instrumentos válidos, reproduzíveis e confiáveis. Assim, é importante um maior conhecimento dos instrumentos para esta avaliação completa dos indivíduos, realização de ensaios clínicos e avaliação dos serviços de saúde e discutir melhor os princípios que devem guiar a avaliação (processos de medidas e interrogatório). Para Seidl e Zannom (2004) ao avaliar qualidade de vida a pessoa devemos utilizar sempre métodos os quais sejam sensíveis às diferenças culturais e ao fato de os sistemas organizacionais mudarem o objetivo dos indicadores deste construto.
Nesse estudo conceituaremos “qualidade de vida” como uma condição subjetiva dinâmica relacionada ou não com o processo de doença onde fatores emocionais, sociais e físicos adquirem maior ou menor relevância para longevidade e bem-estar, a partir da habilidade pessoal de enfrentar questões cotidianas de maneira positiva, com respeito e dignidade, expressa através do grau de satisfação frente ao momento atual de vida e/ou expectativas futuras.
Sendo assim, o modelo teórico proposto neste estudo partirá de uma avaliação multidimensional constituída por fatores de riscos “evitáveis” ou “modificáveis” que levam à mortalidade precoce: sedentarismo; sobrepeso ou obesidade; uso de drogas (lícitas e ilícitas); estresse emocional e depressão. Na determinação dos domínios ou categorias para a construção de um modelo teórico de qualidade de vida sugere-se agregar às condições biofisiológicas, enfoques religiosos, atividades de lazer, trabalho, renda e relacionamentos uma vez que, estas injunções sociais podem afetar a qualidade de vida do ser humano. Busca-se, portanto, uma estrutura multifatorial que satisfaça às necessidades humanas do dia-a-dia.
É certo que a percepção de qualidade de vida é relativa e tem dimensões ainda mais abrangentes que as expostas neste desenho, isto porque variam, também, de acordo com questões culturais, com suas simbologias, representações e crenças. Neste estudo a mensuração da qualidade de vida foi definida a partir de três categorias fundamentais, onde serão verificados os domínios: psicológico (estresse emocional e depressão), sócio-econômico-cultural (trabalho/renda, relacionamentos, lazer e espiritualidade) e físico (hábitos alimentares, sedentarismo, sobrepeso/obesidade, uso de drogas lícitas e ilícitas).
O objetivo deste estudo foi buscar evidências psicométricas para normatizar uma escala de avaliação de qualidade de vida que abrangesse as categorias acima descritas.
Método
Participantes
A amostra total foi composta por 551 sujeitos adultos, sendo 63% do sexo feminino, 68,6% solteiros, com faixa etária média de 26,5 anos (DP = 6,68) e nível de escolaridade igual ou superior ao nível médio incompleto, residentes no Distrito Federal- Brasil. Destes dados, 337 foram utilizados para a construção da escala (estudo 1) e os outros 214 foram utilizados no segundo estudo para a validação da mesma (estudo 2). Já para o estudo 3 utilizamos os dados da amostra total.
Material
O material foi construído após a análise de juízes (5 doutores) e análise semântica (20 sujeitos com idade entre 20 e 49 anos). O resultado destas análises foi um instrumento composto por 68 itens, subdivididos em três domínios (psicológico, sócio-econômico-cultural e físico), onde o respondente, ao utilizar uma escala de 5 pontos (sendo o escore 1 = “discordo totalmente” e o escore 5 = “concordo totalmente”) indicava o grau de sua concordância ou discordância em relação a cada item.
Com o objetivo de avaliar a satisfação do indivíduo em relação à sua vida atual foi elaborado um item, separadamente, acerca do seu grau de satisfação. Foram incluídos ainda, dados demográficos como: idade, sexo, estado civil e escolaridade.
Procedimento
Seguiu-se o procedimento ético padrão, os quais, estavam de acordo com as recomendações relacionadas à pesquisa com seres humanos, conforme os princípios éticos da Declaração de Helsinque da Resolução 196/96 do Conselho Nacional de Saúde e da Resolução 016/2012 do Conselho Federal de Psicologia. Este projeto foi aprovado pelo Comitê de Ética de Pesquisa da Universidade Católica de Brasília.
Para a aplicação do instrumento, os responsáveis pela coleta de dados entraram em contato diretamente com o voluntário o qual se apresentava como interessado. Os instrumentos foram administrados individualmente (houve uma duração média de vinte minutos) em local reservado para coleta.
A todos era assegurado o anonimato das suas respostas e que estas seriam tratadas em seu conjunto estatisticamente; apesar do questionário ser autoaplicável, contando com as instruções necessárias para que pudessem ser respondidos, os colaboradores estiveram presentes durante toda a aplicação para retirar eventuais dúvidas ou realizar esclarecimentos que se fizessem indispensáveis, não interferindo na lógica e compreensão das respostas dos respondentes.
No que se refere à análise dos dados, foram analisados por meio do Software SPSS (versão 21); além de estatísticas descritivas (média, desvio padrão, frequência e moda), teste t de Student, correlação de Pearson e alfa de Cronbach, estes, destinaram-se a comprovação dos pressupostos da teoria clássica dos testes (Pasquali, 2010). A verificação da normalidade foi realizada por meio do teste de Kolmogorov-Smirnov, adotou-se o nível de significância de p ≤ 0,05.
Para o primeiro estudo, os dados foram analisados através do SPSS (versão 21). Realizou-se uma análise dos eixos principais (PAF), não estabelecendo rotação; foi, também, calculada a consistência interna (Alfa de Cronbach) do fator resultante. Contudo, previamente, considerou-se a própria possibilidade de se realizar a análise PAF, tomando como critérios o KMO igual ou superior a 0,70 e o Teste de Esfericidade de Bartlett (qui-quadrado, χ²) significativo (p < 0,05) (Dancey & Reidy, 2006; Tabachnick & Fidell, 2012). Além disso, ao considerar que os critérios de Kaiser (valor próprio igual ou superior a 1) e Cattell (distribuição gráfica dos valores próprios, os quais visam distinguir aqueles sobressalentes) tendem a maximizar o número de fatores a extrair (Dancey & Reidy, 2006) decidiu-se, para isso, efetuar uma análise paralela (Hayton, Allen, & Scarpello, 2004; Ledesman & Valero-Mora, 2007). Neste caso, teve-se em conta a sintaxe do SPSS desenvolvida por O´Connor (2000) a fim de realizar a análise paralela proposta.
Para o segundo estudo, com uma nova amostra realizou-se uma análise fatorial confirmatória, com o programa AMOS 21.0, destinados aos cálculos de modelagem de equações estruturais (SEM). Esse programa estatístico tem a função de apresentar, de forma mais robusta, indicadores psicométricos que vise uma melhor construção da adaptação e acurácia da escala desenvolvida, bem como, permita desenhar um modelo teórico pretendido no estudo.
Considerou-se como entrada a matriz de covariâncias dos itens da EQV, tendo sido adotado o estimador ML (Maximum Likelihood). Sendo um tipo de análise estatística mais criteriosa e rigorosa, testou-se a estrutura teórica que se propõe neste estudo: isto é, a estrutura com um único fator. Esta análise apresenta alguns índices que permitem avaliar a qualidade de ajuste dos dados ao modelo proposto (Byrne, 1989; Hair, Tatham, Anderson, & Black, 2005; Lattin, Carroll, & Green, 2011). A seguir serão apresentados esses indicadores:
- O χ² (qui-quadrado) testa a probabilidade do modelo teórico se ajustar aos dados: quanto maior o valor do χ² pior o ajustamento. Entretanto, ele tem sido pouco empregado na literatura, sendo mais comum considerar sua razão em relação aos graus de liberdade (χ²/g.l.). Neste caso, valores até 3 indicam um ajustamento adequado.
- Raiz Quadrada Média Residual (RMR), que indica o ajustamento do modelo teórico aos dados, na medida em que a diferença entre os dois se aproxima de zero (Joreskög & Sörbom, 1989).
- O Goodness-of-Fit Index (GFI) e o Adjusted Goodness-of-Fit Index (AGFI) são análogos ao R² na regressão múltipla e, portanto, indicam a proporção de variância-covariância nos dados explicada pelo modelo. Os valores desses indicadores variam de 0 a 1, sendo que os valores na casa dos 0,80 e 0,90, ou superiores será satisfatório (Bilich, Silva, & Ramos, 2006; Hair et al., 2005).
- A Root-Mean-Square Error of Approximation (RMSEA), com seu intervalo de confiança de 90% (IC90%), é considerado um indicador de desadequação de “maldade” de ajuste, isto é, valores altos indicam um modelo não ajustado. Assume-se como ideal que o RMSEA se situe entre 0,05 e 0,08, aceitando-se valores até 0,10 (Garson, 2003; Kelloway, 1998).
- O Comparative Fit Index (CFI) - compara de forma geral o modelo estimado ao modelo nulo, considerando valores mais próximos de 1 como indicadores de ajustamento satisfatório (Bilich et al., 2006; Hair, et al., 2005).
- Akaike’s Information Criteria (AIC) é um critério que utiliza a parcimónia na avaliação do modelo, levando em conta o número de parâmetros estimados. É usado quando são comparados dois ou mais modelos. O modelo que apresenta melhor ajuste é o que possuiu menor AIC. Browne-Cudeck Criterion (BCC) é um critério que funciona da mesma maneira que o AIC e o CAIC com a diferença que impõe grandes penalidades para a complexidade do modelo. Bayes Information Criterion (BIC) mostra-se de forma mais consistente, uma vez que cada ajuste realizado nos componentes explicativos é gerado com base no ajuste adequado dos dados, penalizando severamente modelos com muitos parâmetros.
- O Expected Cross-Validation Index (ECVI) e o Consistent Akaike Information Criterion (CAIC) são indicadores geralmente empregados para avaliar a adequação de um modelo determinado em relação a outro. Valores baixos do ECVI e CAIC expressam o modelo com melhor ajuste (Bilich et al., 2006; Hair et al., 2005).
No terceiro estudo, o qual teve como objetivo construir uma equação que avaliasse o nível de satisfação com a vida, utilizamos a análise de regressão múltipla tipo Stepwise.
Resultados
Após a elaboração dos itens por cada domínio realizou-se a análise de juízes (5 professores doutores) e análise semântica (20 sujeitos de homens e mulheres, com idade entre 20 e 49 anos). O resultado destas análises sugeriu um instrumento composto por 23 itens, subdivididos em dois domínios.
A partir desses resultados, pretendeu-se, inicialmente, avaliar uma maior especificidade na análise estatística para a organização e verificação empírica da escala em questão; optou-se, a partir dos pressupostos da Teoria Clássica dos Testes, comprovar se os itens apresentavam capacidade de discriminar pessoas com magnitudes próximas, ou seja, discriminar aquelas dos grupos inferiores e superiores com relação ao construto medido (Pasquali, 2010). O objetivo dessa análise se deve tanto por não ter encontrado nos artigos sobre o tema um cálculo realizado nesta direção, bem como, buscou-se também, especificar a qualidade e discriminação dos itens pertencentes a medida da qualidade de vida.
Especificamente, a finalidade de discriminar os itens da escala, foi calculada uma pontuação total deste instrumento e em seguida sua mediana; as pessoas com pontuação abaixo da mediana foram classificadas como sendo do grupo inferior, enquanto que aquelas com pontuações acima da mediana foram definidas como do grupo superior. Considerando-se cada um dos itens desta medida, calculou-se um teste t para amostras independentes, comparando os dois grupos anteriormente listados. A partir destes testes foram observados que todos os itens foram capazes de discriminar pessoas com magnitudes próximas (diferenças, estatisticamente, significativas) (ver Quadro 1).
Comprovado então, as discriminações dos itens, efetuou-se uma análise de conteúdo a fim de verificar a representatividade comportamento-domínio da qualidade de vida (isto é, sistematicamente, busca-se verificar se a relação teórica do teste e as situações especificadas nos itens representam os aspectos esperados) (Pasquali, 2010). Ainda no quadro 1, pode-se observar que todos os itens se correlacionaram com a pontuação total da EQV o que revela não haver problema em relação ao conteúdo dos itens e o domínio do construto.
Tendo então, a partir dos resultados sobre as discriminações e a representatividade de conteúdo dos itens, observado resultados que corroboram a proposta conceitual sobre o construto da qualidade de vida, buscou-se uma avaliação exploratória da fatorialidade da escala em questão. A fim de atender a esse objetivo decidiu-se efetuar a Análise Fatorial com o Método dos principais eixos fatoriais (Principal Axis Factoring - PAF), sem fixar o número de fatores a extrair e sem rotação, assumindo uma saturação de ± 0,40. No intuito de assegurar uma melhor consistência na tomada de decisão na escolha dos fatores, três critérios foram levados em conta: (1) quantidade de valores próprios (eigenvalues) iguais ou superiores a 1 (Critério de Kaiser), (2) distribuição gráfica dos valores próprios, utilizando como referência o ponto a partir do qual nenhum outro fator aporta consideravelmente para a estrutura (Critério de Cattell) e (3) análise paralela (Bisquerra,1989; Bisquerra, Sarriera & Martínez, 2004; Dancey & Reidy, 2006; Fabrigar, Wegerer, MacCallum & Strahan, 1999; Hayton et al., 2004; Ledesman & Valero-Mora, 2007; O´Connor, 2000).
Os resultados das análises permitiram identificar a adequação da matriz de correlação: KMO = 0,89 e do Teste de Esfericidade de Bartlett, c2/gl = 274348/25 p < 0,001. Na distribuição gráfica dos valores próprios (critério de Cattell), no gráfico scree plot, permitiu identificar a existência de cinco fatores (ver Figura 1), os quais explicavam 56,94% da variância total.
De acordo com o critério de Kaiser, identificou-se uma organização dos itens em cinco fatores (Quadro 2) com valores próprios maiores que 1, explicando conjuntamente 56,94% da variância total; para não deixar dúvidas, realizou-se a análise paralela, assumindo os mesmos parâmetros do banco de dados original, isto é, 337 participantes e 23 variáveis, tendo seus valores próprios gerados em 1.000 simulações aleatórias com os itens (ver também, Quadro 2).
Ao contrastar estes valores da análise paralela com aqueles observados empiricamente do critério de Kaiser com os valores próprios desacata-se que o critério de Kaiser apresentou valores superiores aos simulados, permitindo assim, identificar a existência de dois fatores pertencentes a escala em questão. Atento a interpretação do item-fator, juízes especializados nas análises efetuadas contribuíram com seu julgamento, corroborando para a decisão que se esperava. Assim, optou-se, portanto, pela extração de dois fatores, os quais esperados para modelo teórico que pretende.
Desta forma, por meio do método PAF, com rotação oblíqua e cargas fatoriais iguais ou superiores a 0,40 foram extraídos dois fatores para a EQV. O Quadro 3 apresenta os fatores extraídos (Fator Comportamental e Fator Psicológico) os itens que os compõem e suas, respectivas, cargas fatoriais (aif) e os índices de consistência interna dos fatores (a de Cronbach) e a variância explicada para cada fator:
A partir dos resultados dos cálculos realizados acima pode-se destacar que a escala de qualidade de vida foi validada e apresentou indicadores estatísticos que garantiram a sua confiabilidade. Porém, nesta análise, a sua aleatoriedade não permite teorizar sobre as variáveis destacadas neste estudo, condição que optou-se na realização de uma análise fatorial confirmatória com objetivo de verificar a estrutura fatorial da EQV avaliada, previamente, na análise exploratória.
Sendo assim, para a análise confirmatória, utilizou-se o programa AMOS 21.0, destinado ao cálculo de modelagem de equações estruturais (MEE). Esse programa estatístico tem a função de apresentar, de forma mais robusta, indicadores psicométricos que visem uma melhor construção da adaptação e consistência da EQV, bem como, permite desenhar um modelo teórico a que se pretende.
Para a EQV procurou-se testar a estrutura fatorial considerando os resultados observados no primeiro estudo com uma nova amostra de 214 sujeitos. A partir dos resultados geraram-se os modelos estruturais comparativos, por exemplo, unifatorial, ortogonal e oblíquo, este último é o que espera, hipoteticamente, ser comprovado. Os resultados revelaram, quando comparados aos demais modelos estabelecidos, que o modelo pretendido (isto é, o modelo obliquo-bifatorial) foi o que revelou indicadores psicométricos melhores do que os outros (Quadro 4).
Além desses indicadores observados no Quadro 4, outros indicadores parcimoniosos (por exemplo, o AIC, BIC e BCC), garantiram o modelo esperado (modelo 3), justamente por serem eles acompanhados do CAIC e ECVI como um indicador comparativo da estrutura fatorial: AICmodelo3 = 493,20, BIC modelo3 = 781,39 e BCC modelo3 = 495,16; AICmodelo2 = 764,57, BIC modelo2 = 1013,07 e BCC modelo2 = 774,54; por fim, AICmodelo1 = 825,01, BIC modelo1 = 1069,69 e BCC modelo1 = 834,83.
É preciso destacar que os indicadores parcimoniosos (por exemplo, o AIC, BIC e BCC) podem ser tomados como um indicador comparativo de verificação da melhor organização empírica dos modelos fatoriais. Para tanto quanto menor o valor, melhor o ajustamento, pois foi mais parciomonioso em seus ajustes de medida (Marôco, Tecedeiro, Martins & Meireles, 2008). Essa condição pode ser destacada ao observar o Quadro 4, que o modelo hierárquico apresentou os melhores resultados em relação aos outros modelos.
Destaca-se que todas as saturações (Lambdas, λ) estiveram dentro do intervalo esperado |0 - 1| o que denota não haver problemas com a estimação proposta, as quais estatisticamente diferentes de zero (t > 1,96, p < 0,05), garante a qualidade da validade da estrutura fatorial (Quadro 5).
Observaram-se associações lambdas (λ) positivas entre os fatores da qualidade comportamental e psicológica, as quais, além de revelarem boa força associativa (variando de 0,31 a 0,94) também apresentaram uma correlação Phi (f) positiva de 0,86. Isto é, provavelmente, o sujeito que apresentar um escore alto em uma das dimensões, também, pontuara alto na seguinte. Esse resultado foi confirmado quando se observaram as estimativas de predição, a partir da análise de regressão revelada para o modelo, nas quais, identificaram-se que as variáveis significativas e a razão critério foram acima de 1,96 (variando de 8,24 a 11,47) com todas estatisticamente significativas.
A partir da metodologia utilizada para o desenvolvimento da Escala de Qualidade de Vida (EQV) e cuidadosa análise estatística, compatível com as recomendações atuais para o processo de construção de um instrumento psicométrico, pode-se afirmar que a EQV, com base nos resultados deste estudo, além de fidedigna é consistente e corrobora a estrutura bifatorial proposta previamente. Defende-se assim que a mesma reúne condições para mensurar, de forma apropriada, a concepção da qualidade de vida elaborada no presente estudo. As várias análises estatísticas realizadas para avaliação da escala apresentaram garantias psicométricas na amostra em questão, tendo por base diferentes evidências empíricas. Os indicadores comummente tidos em conta para corroborar o modelo pretendido (por exemplo, χ2/gl, GFI, AGFI, CFI, RMSEA, CAIC, ECVI, AIC, BIC e BCC), bem como os Alphas de Cronbach, foram muito satisfatórios.
Ao considerar tais resutaldos elaborou-se um terceiro estudo, o qual teve como objetivo avaliar o nível de satisfação com a vida da amostra total. Para avaliar o quanto a organização fatorial da EQV (Fator 1 - Comportamental; Fator 2 - Psicológico) explicava a “variável satisfação com a vida” (VD) foi realizada uma análise de regressão múltipla do tipo Stepwise. Os resultados demonstraram que o Fator 2 explicou 17,40% da variável dependente [F (1,549) = 115,415; p = 0,001], formando a seguinte equação de regressão: Satisfação com a vida (SV) = 4,991 - 0,49 (Fator2).
Observa-se, a partir desta equação, que o Fator 2 (psicológico) é inversamente proporcional ao grau de satisfação do indivíduo em relação à sua vida. A prevalência do Fator 2 para a determinação de uma qualidade de vida boa ou ruim explica a associação de elementos pessoais no desenvolvimento comportamentais, representados pelo Fator 1 (fatores externos que estão intimamente relacionados às mortes prematuras), dos quais pode-se citar: tabagismo, abuso de álcool, uso de drogas ilícitas e problemas de relacionamentos, por exemplo. Estes resultados demonstram que a falta de habilidade de enfrentamento das situações do dia-a-dia reflete em alterações psicofisiológicas, especialmente “fatores modificáveis”, que fazem parte da etiologia das doenças crônicas não transmissíveis.
Neste sentido, as atitudes e decisões individuais que afetam a saúde, representadas pelo estilo de vida são reflexos de condições associadas a “satisfação com a vida”, sendo possível estabelecer um contínuo unidimensional variando de 2,54 a 4,50, quando o Fator 2 atingir seus limites máximos (pólos extremos). Ou seja, o limite inferior (2,54), associado às atitudes negativas, acontecerá quando os escores de todas as VIs forem iguais a 1 e o limite superior (4,50) relacionado às atitudes positivas estará caracterizado quando os escores das VIs forem iguais a 5 (Figura 2).
Cabe ressaltar que no presente estudo, o Fator 2 (psicológico) foi o determinante da “qualidade de vida”, sendo os demais fatores excluídos pela equação de regressão. Em outras palavras, apesar das adversidades da vida serem formadas por questões internas e externas, a interpretação pessoal desses desafios é a mola propulsora que desencadeará as reações orgânicas de forma positiva ou negativa. Estas evidências sugerem uma nova proposta de conceito de qualidade de vida: “Qualidade de vida, de uma forma geral, é uma condição subjetiva dinâmica, relacionada ou não com o processo de doença, onde fatores emocionais, sociais e físicos, adquirem maior ou menor relevância para longevidade e bem-estar, a partir da habilidade pessoal de enfrentar questões cotidianas de maneira positiva, com respeito e dignidade, expressa através do grau de satisfação frente ao momento atual de vida e/ou expectativas futuras”
Assim, o modelo final do construto “qualidade de vida” é composto por dois vetores ortogonais que apresentam correlação positiva e exercem influência direta em toda maneira de ser ou agir do indivíduo. Estes vetores são representados, essencialmente, pelos fatores comportamental e psicológico. Importa ressaltar que o fator psicológico aparece como o “núcleo” do “bem-estar” e reforça a inter-relação entre as emoções, sentimentos e pensamentos com o comportamento e as atitudes, onde os fatores externos (modificáveis), apesar de intimamente relacionados às doenças crônicas não transmissíveis são consequências da relação do homem consigo (Figura 3).
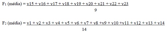
A análise estatística permitiu elaborar uma versão final da EQV, composta por 23 itens, subdivididos em dois fatores principais: a) fator comportamental (n = 9) e b) fator psicológico (n = 14); sendo assim, a partir desses resultados realizou-se à avaliação normativa da EQV. Extraídos através de rotações do tipo varimax e comprovados na análise fatorial confirmatória, os fatores comportamental e psicológico podem ser reconhecidos como vetores, os quais, encontram-se dispostos ortogonalmente no espaço vetorial (ver Figura 4).
Como os itens dos fatores são avaliados em uma escala que varia de 1 a 5, as médias aritméticas dos mesmos, também variarão de 1 a 5. A bissetriz que divide ao meio o plano vetorial forma dois campos principais: a) Campo Psicológico e b) Campo Comportamental. A Figura 5 apresenta os campos formados pela bissetriz.
Para cada indivíduo será calculada a média aritmética do fator 1 e do fator 2, separadamente. Assim, temos:
Após o cálculo das médias dos fatores pode-se localizar o indivíduo no plano. A caracterização dos grupos tipológicos ocorrerá da seguinte forma:
a) Predomínio de um fator sobre o outro
O plano vetorial será dividido em três campos principais, de acordo com os escores que os indivíduos obtenham nos fatores 1 e 2. A Figura 6 apresenta os três grupos principais formados a partir do predomínio ou não de um fator sobre o outro.
Representação dos grupos principais que compõem os campos psicológico e comportamental
G1 = Formado por indivíduos com predomínio do fator comportamental sobre o fator psicológico (F1/F2).
G2 = Formado por indivíduos com predomínio do fator psicológico sobre o fator comportamental (F2/F1).
b) Magnitude dos fatores:
Além disso, utilizando a mediana dos vetores F1 e F2 como pontos de corte, dividir-se-á o plano em 2 campos, separando os sujeitos com baixos escores em um ou nos dois fatores, daqueles com altos escores formados a partir do corte das medianas. A Figura 7 demonstra os campos formados a partir do corte das medianas.
O cruzamento das duas variáveis “predomínio de um fator” x “magnitude dos fatores” resulta em seis campos principais (Figura 8), caracterizando seis grupos distintos.
- O G1a é composto por indivíduos com predomínio do fator comportamental sobre o psicológico, com baixos índices no fator predominante;
- O G1b é composto por indivíduos com predomínio do fator comportamental sobre o psicológico, apresentando altos índices no fator predominante;
- O G2a é composto por indivíduos com predomínio do fator psicológico sobre o comportamental, com baixos índices no fator predominante;
- O G2b é composto por indivíduos com predomínio do fator psicológico sobre o comportamental, apresentando altos índices no fator predominante;
- O G3a é composto por indivíduos cujos fatores não diferem entre si, com baixos índices em ambos, não apresentando predomínio de um fator sobre o outro.
- O G3b é composto por indivíduos cujos fatores não diferem entre si, com altos índices em ambos, não apresentando predomínio de um fator sobre o outro.
c) Formação dos Grupos:
Para a formação dos grupos deve-se calcular o delta (Δ = médiaF2 - média F1) e codificar os grupos a partir dos seguintes pontos referenciais:
G1a = Δ < - 0,22 e F1 ≤ 3; G1b = Δ < - 0,22 e F1 > 3;
G2a = Δ > + 0,22 e F2 ≤ 3; G2b = Δ > + 0,22 e F2 > 3;
G3a = - 0,22 ≤ Δ ≤ + 0,22 e F1≤ 3 e F2 ≤ 3; G3b = - 0,22 ≤ Δ ≤ + 0,22 e 5 ≤ F1≤ 3 e 5 ≤ F2 ≤ 3;
Discussão
A EQV se apresenta como um avanço nos estudos do construto qualidade de vida, pois o plano vetorial proposto por esta, possibilita a avaliação do perfil real do indivíduo a partir dos grupos tipológicos propostos no modelo. Como proposta de estudos futuros sugere-se agregar à EQV uma escala que contemple itens que possam mais fielmente descrever a dimensão religiosa. Esta nova escala a ser elaborada e, posteriormente, correlacionada ao estudo de qualidade de vida, teria como um dos aspectos a ser abordado a dimensão “espiritualidade”, como uma estrutura complementar ao psicológico. Por serem poucos os instrumentos aplicáveis e satisfatórios aos aspectos mais genéricos das religiões adaptados a diferentes culturas, há a necessidade de fomentar a discussão desta dimensão.
Outra proposição acerca de trabalhos de continuidade diz respeito ao estudo correlacional do fator psicológico com fatores de risco “modificáveis” tais como: renda, trabalho, lazer, hábitos alimentares e atividade física, dentre outros. Um estudo que contemple a dimensão psicológica e sua influência com atitudes e valores seria um avanço nas pesquisas envolvendo qualidade de vida.
De forma geral este trabalho descreve as etapas de elaboração de uma escala psicométrica para avaliação de qualidade de vida em adultos, considerando “qualidade de vida” como um construto multidimensional, subjetivo e dinâmico, onde as atitudes dos indivíduos expressam o grau de satisfação destes em relação à sua vida. A metodologia utilizada para a construção da Escala de Qualidade de Vida (EQV) propôs um modelo teórico inicial de qualidade de vida representado por três domínios: a) domínio psicológico, b) domínio sócio-econômico-cultural e c) domínio físico.
Na análise inicial realizada verificou-se que o construto era fatoriável e que o número de fatores a serem extraídos, utilizando o gráfico scree plot como sinalizador, foi de três fatores que explicavam 23,92% da variância total, optou-se, portanto, pela extração destes três fatores. Os fatores extraídos expressam os principais aspectos do construto “qualidade de vida”, segundo o modelo elaborado, sendo definidos como: a) Fator comportamental (fator 1), b) Fator psicológico (fator 2) e c) Fator religioso (fator 3). Devido à ortogonalidade apresentada pelos três fatores no espaço vetorial, pode-se afirmar que estes fatores são dimensões, onde o objeto resultante destas três dimensões seria a própria representação espacial do construto “qualidade de vida”.
Apesar dos fatores da EQV se apresentarem adequados quando medidos pelo coeficiente a de Cronbach, o fator religioso (Fator 3) apresentou consistência interna limítrofe (0,71). Como este fator foi composto por apenas quatro itens, e estes itens possuíam sentido muito amplo optou-se pela exclusão do fator na proposição do modelo final. Portanto, o modelo do construto “qualidade de vida” foi composto por dois vetores ortogonais, que apresentam correlação positiva representados pelos fatores comportamental e psicológico.
Além da consistência dos fatores, um outro aspecto relevante que torna a EQV válida para o estudo da qualidade de vida das populações, é o predomínio do fator psicológico (Fator 2) como determinante da “satisfação com a vida” (VD). A análise de regressão múltipla do tipo Stepwise demonstrou que o Fator 2 explica 17,40% da VD.
Uma vez que a maioria dos pesquisadores apresenta como principais limitações para o estudo da “qualidade de vida“ das populações, a determinação do caráter temporal deste construto e sua natureza multidimensional, além do problema metodológico de como mensurar “qualidade de vida” já que intervêm sobre esta fatores objetivos e subjetivos, a EQV se apresenta como um avanço nos estudos do construto qualidade de vida, pois o plano vetorial proposto por esta, possibilita a avaliação do perfil real do indivíduo a partir dos grupos tipológicos propostos no modelo.
Devido à subjetividade do tema e dificuldades de operacionalização de conceitos que fossem abrangentes a todas as dimensões humanas, a elaboração de um modelo teórico que represente o construto qualidade de vida esbarrou em obstáculos importantes. A construção e validação da EQV encontraram dificuldades adicionais, proporcionadas pelas necessidades metodológicas de se incorporar a um instrumento autoaplicável, elementos multidimensionais para o esclarecimento de um fenômeno tão subjetivo quanto a percepção individual de bem-estar.
Com relação à abordagem semântica, a problemática se relacionou à busca pela forma coloquial e expressões na elaboração dos itens, que permitissem a leitura e o entendimento, independente de um maior ou menor grau de instrução. Estes obstáculos não só não invalidam a EQV como abrem espaço para novas investigações em pesquisas, uma vez que as injunções sociais agregadas às questões biológicas ainda são pouco estudadas.
Como proposta de estudos futuros sugere-se agregar à EQV uma escala que contemple itens que possam mais fielmente descrever a dimensão religiosa. Esta nova escala a ser elaborada e, posteriormente, correlacionada ao estudo de qualidade de vida, teria como um dos aspectos a ser abordado a dimensão “espiritualidade”, como uma estrutura complementar ao psicológico.
Por serem poucos os instrumentos aplicáveis e satisfatórios aos aspectos mais genéricos das religiões adaptados a diferentes culturas, há a necessidade de fomentar a discussão desta dimensão, oferecendo a possibilidade de quantificar o quanto a espiritualidade influencia na qualidade de vida das pessoas.
A partir da metodologia utilizada para o desenvolvimento da Escala de Qualidade de Vida (EQV) e cuidadosa análise estatística, compatível com as recomendações atuais para o processo de construção de um instrumento psicométrico, pode-se afirmar que a EQV se encontra devidamente validada para a cultura brasileira e tem importante papel no estudo da qualidade de vida.
Ao possibilitar um melhor delineamento dos fatores de risco à saúde das populações a partir da distribuição do indivíduo em um dos 06 grupos do espaço vetorial, demonstrando o predomínio dos fatores psicológico e/ou comportamental sobre as pessoas, a estrutura espacial da EQV oferece a possibilidade de se intervir efetivamente no fator determinante, auxiliando na estruturação de programas de manutenção e melhoria do estado vital “Saúde”.
REFERÊNCIAS
Almeida, J. P., & Pereira, M. G. (2012). Questionário de Avaliação da Qualidade de Vida para adolescentes com Diabetes Tipo 1: Estudo de validação do DQOL. Análise Psicológica, 26(2), 295-307. DOI: 10.14417/ap.495. [ Links ]
Alzina, R. B. (1989). Introducción conceptual al análisis multivariable: un enfoque informático con los paquetes SPSS-X, BMDP, LISREL y SPAD - Volume 2. Espanha: PPU, S.A. [ Links ]
Alzina, R. B., Sarriera, J. C., & Martinéz, F. (2004). Introdução à estatística: Enfoque informático com o pacote estatístico SPSS (Fátima Murad, Trad.). Porto Alegre: Artmed.
Bilich, F., Silva, R., & Ramos. P. (2006). Análise de flexibilidade em economia da informação: modelagem de equações estruturais. Revista de Gestão da Tecnologia e Sistemas de Informação, 3(2), 93-122. DOI: 10.4301/S1807-17752006000200002. [ Links ]
Byrne, B. M. (1989). A primer of LISREL: Basic applications and programming for confirmatory factor analytic models. New York: Springer-Verlag. [ Links ]
Campos, M. O., & Rodrigues Neto, J. F. (2014). Qualidade de vida: um instrumento para promoção de saúde. Revista Baiana de Saúde Pública, 32(2), 232. [ Links ]
Cyrino, E. S., & Nardo Júnior, N. (2012). Subsídios para a prevenção e controle da obesidade. Revista Brasileira de Atividade Física & Saúde, 1(3), 15-25. DOI: 10.12820/rbafs.v.1n3p15-25. [ Links ]
Dancey, C.P. & Reidy, J. (2006). Estatística sem Matemática para Psicologia usando SPSS para Windows. Porto Alegre: Artes Médicas. [ Links ]
Duarte, P. S., Miyazaki, M. C. O., Ciconelli, R. M., & Sesso, R. (2003). Tradução e adaptação cultural do instrumento de avaliação de qualidade de vida para pacientes renais crônicos (KDQOL-SFTM). Revista da Associação Medica Brasileira, 49(4), 375-81. DOI: 10.1590/S0104-42302003000400027. [ Links ]
Fabrigar, L. R., Wegener, D. T., MacCallum, R. C., & Strahan, E. J. (1999). Evaluating the use of exploratory factor analysis in psychological research. Psychological methods, 4(3), 272. [ Links ]
Garson, G. D. (2003). PA 765 Statnotes: An online textbook. Retirado de http://www2.chass.ncsu.edu/garson/pa765/statnote.htm [ Links ]
Geib, L. T. C. (2012). Determinantes sociais da saúde do idoso social determinants of health in the elderly. Ciência & Saúde Coletiva, 17(1), 123-133. DOI: 10.1590/S1413-81232012000100015. [ Links ]
Hair, J. F., Tatham, R. L., Anderson, R. E., & Black, W. (2005). Análise multivariada de dados. Porto Alegre: Bookman. [ Links ]
Hayton, J.C., Allen, D.G., & Scarpello, V. (2004). Factor retention decisions in exploratory factor analysis: A tutorial on parallel analysis. Organizational. Research Methods, 7(2), 191-205. DOI: 10.1177/1094428104263675. [ Links ]
Joreskög, K., & Sörbom, D. (1989). LISREL 7 user’s reference guide. Mooresville: Scientific Software.
Kelloway, E. K. (1998). Using LISREL for structural equation modeling: A researcher’s guide. Thousand Oaks, CA: Sage Publications.
Lattin, J., Carroll, J. D., & Green, P. E. (2011). Análise de dados multivariados. São Paulo: Cengage Learning. [ Links ]
Ledesman, R.D. & Valero-Mora, P. (2007). Determining the Number of Factors to Retain in EFA: an easy-to-use computer program for carrying out Parallel Analysis. Practical Assessment, Research & Evaluation, 12(2), 1-11. [ Links ]
Marôco, J., Tecedeiro, M., Martins, P., & Meireles, A. (2008). Estrutura fatorial de segunda ordem da Escala de Burnout de Malasch para estudantes numa amostra portuguesa. Análise Psicológica, 4(26), 639-649. [ Links ]
Melo, M. D., & Egry, E. Y. (2014). Determinantes sociais das Internações por Condições Sensíveis à Atenção Primária em Guarulhos, São Paulo. Revista da Escola de Enfermagem da USP, 48(1), 133-140. DOI: 10.1590/S0080-623420140000600019. [ Links ]
Moreira, D. P., & Furegato, A. R. F. (2013). Stress and depression among students of the last semester in two nursing courses. Revista latino-americana de enfermagem, 21(SPE), 155-162. [ Links ]
Mota, J. (2013). Atividade Física, sedentarismo e promoção da saúde. Revista Brasileira de Atividade Física & Saúde, 17(3), 163-164. DOI: 10.12820/rbafs.v.17n3p163-164. [ Links ]
Novelli, M. M. P. C. (2006). Validação da escala de qualidade de vida (QdV-DA) para pacientes com doença de Alzheimer e seus respectivos cuidadores/familiares (Doctoral dissertation, Universidade de São Paulo). DOI: 10.11606/T.5.2006.tde-17102014-120122. [ Links ]
O´Connor, B.P. (2000). SPSS and SAS programs for determining the number of components using parallel analysis and Velicer’s MAP test. Behavior Research Methods, instruments, and computers, 32, 396-402. DOI: 10.3758/BF03200807.
Pasquali, L. (2010). Instrumentação psicológica: Fundamentos e práticas. Porto Alegre: Artmed. [ Links ]
Pinto, M. T., Pichon-Riviere, A., & Bardach, A. (2015). Estimativa da carga do tabagismo no Brasil: mortalidade, morbidade e custos. Cadernos de Saúde Pública, 31(6), 1283-1297. DOI: 10.1590/0102-311X00192013. [ Links ]
Rocha, A. C. A. L., & Ciosak, S. I. (2014). Doença Crônica no Idoso: Espiritualidade e Enfrentamento. Revista da Escola de Enfermagem da USP, 48(2), 92-98. DOI: 10.1590/S0080-623420140000800014. [ Links ]
Rufine, M. F. C., Formiga, N.S., Valentini, F., & Melo, G. F. (2013). Escala de qualidade de vida: análise estrutural de uma versão para idosas. Ciência & Saúde Coletiva, 18(7), 1993-2000. DOI: 10.1590/S1413-81232013000700014. [ Links ]
Seidl, E. M. F., & Zannon, C. M. L. D. C. (2004). Quality of life and health: conceptual and methodological issues. Cadernos de Saúde Pública, 20(2), 580-588. DOI: 10.1590/S0102-311X2004000200027. [ Links ]
Silva, I., Pais-Ribeiro, J., Cardoso, H., & Ramos, H. (2012). Qualidade de vida e complicações crónicas da diabetes. Análise psicológica, 21(2), 185-194. DOI: 10.14417/ap.108. [ Links ]
Tabachnick, B. G, & Fidell, L. S. (2012). Using multivariate statistics. Califórnia State University: HaperCollins College Publishers
Recebido em 12 de Fevereiro de 2018/ Aceite em 30 de Maio de 2019
Anexo 1 - Escala de Qualidade de vida
Instruções
Este questionário visa avaliar a sua qualidade de vida, a partir de diferentes aspectos. Para tanto, utilize a escala abaixo para indicar o quanto cada item se aplica a você. Você não precisa se identificar. Não há respostas certas ou erradas. Evite deixar respostas em branco.
Anexo 1




























