Introduction
Seaweeds are photoautotrophic multicellular organisms belonging to different Phylum, but with one thing in common, their predominant ecological habitat is the seawater, apart from some species that live in freshwater as rivers, streams and lakes.
Seaweeds are divided into three phyla depending on their color and chemical characteristics (Silva et al, 2019). The phylum Chlorophyta (green algae) belonging to the kingdom Plantae, has chlorophyll a as its main pigment, but also has chlorophyll b and other accessory pigments such as carotenoids. The phylum Rhodophyta or red algae also belongs to the kingdom Plantae, and its main pigment besides chlorophyll a and carotenoids, is phycoerythrin (mainly phycobilin) which is responsible for its red color. Most part of its species are distributed in warmer waters of the tropical and temperate zones. Finally, the class Phaeophyceae (brown algae) belongs to the Chromista kingdom due to the presence of chlorophyll c predominantly over chlorophyll a. Its brown color results from other pigments like fucoxanthin. Species of this group of algae can reach large sizes (called “kelps”) and usually grows in cold waters (Santelices, 2007), as in North part of Portugal (Viana do Castelo area) where can be found three species of kelps, Saccharina latissima, Laminaria hyperborea and Laminaria ochroleuca.
The first documented use of seaweed as agricultural fertilizer on the Atlantic coast of the European continent is dated to the ancient Romans and the ancient Celtic tribes (Monagail et al, 2017). L.J.M. Collumella, the most notable Roman writer on agricultural practices, wrote that the roots should be wrapped with algae to maintain the moisture and freshness of seedlings (Battacharyya et al, 2015). In AD 79, Pliny observed the collection of “margo” (considered maerl, a red seaweed native to the British coast) by “peoples of Great Britain and Gaul” in order to fertilize their soils (Monagail et al, 2017). Seaweeds were regularly used by ancient coastal people along the Atlantic to fertilize the soil, but only the Romans left written records of this practice (Pereira & Cotas, 2019).
Seaweed has been used in Portugal as fertilizer since the 14th century, particularly in the agricultural fields near the sea. As the harvest of the “sargaço” at the time was a very important economic activity for the fertilization of the land, King D. Dinis in 1309 even regulated this commercial activity. The traditional take up of the “sargaço” is the harvesting, along the sea beach, of algae that are released with the movement of the waves. They are then scattered on the beach to dry, and then collected and stored in specific structures (“medas” or haystacks) for later use as fertilizer in “masseira” fields. Today, the use of seaweed as fertilizer is restricted to the northern zone, particularly in the horticultural fields of the Póvoa de Varzim and Viana do Castelo zone (Pereira & Cotas, 2019).
Sargaço is an unique tradition of seaweed collection, which is a mixture of seaweeds that appear in the shore after storms or bad weather. This mixture is mainly composed by the species that grow on local coastal rocks, such as Saccorhiza, Laminaria, Fucus, Codium, Palmaria, Gelidium and Chondrus (Pereira & Correia, 2015), but their extracts are only now undergoing the first studies.
Sargaço was an ancient way of fertilizing the poorer soils in areas close to the sea coast, since after treatment in the haystack (left to dry and rinsed), the mixture of dried seaweeds was applied to soil to improve soil conditions, making it more suitable for growing and improving crops (Pereira & Cotas, 2019). In this case, the sargaço in its traditional use acted as a soil conditioner, preventing the soil from depleting between crops and allowing an increase in the cultivable area of the dune zones or the poorer soil (Pereira & Cotas, 2019).
Some algal extracts from previous studies, such as Ascophyllum nodosum, have shown benefits to plants in terms of seed germination, growth stimulation (Battacharyya et al, 2015; Economou et al, 2007), conferring resistance to biotic and abiotic stress, improving the nutritional quality of the fruit (Khan et al. 2009). Studies have also been carried out on the optimization of algae extraction methods, namely using temperature, with differences being observed when extraction is performed at 25 ᵒC and 80 ᵒC, being the 25 ᵒC better due to the increase of macronutrient concentration important for the plant such as N, P and Ca in relation to 80 ᵒC (Lopes, 2018). When the extracts are produced, there is a residue left that currently has no utility or application and is thus discarded by demoting the promotion of the circular economy, which is increasingly more important due to sustainability (Ghisellini et al, 2016). A circular economy is an alternative sustainable economy that is based in turning goods that are at the end of their service life into resources for others, closing loops in industrial ecosystems and minimizing waste. It changes economic logic because it replaces production with sufficiency: reuse what you can, recycle what cannot be reused, repair what is broken, remanufacture what cannot be repaired (Stahel, 2016).
One of the biggest gain from seaweed extracts and residues to the vegetable and flower crops is the improved vigor, a capacity for natural growth and survival of the specimen and the expression of a plant’s response to the local environment niche: to water supply, nutrition and temperature (Chatzissavvidis & Therios, 2014). The seed emergence and improved seedling vigor take a huge effect on seedling establishment, growth, and development. Prompt emergence supports the plant in better establishment in the field over the shift from the heterotrophic stage, which the plant depends from inherent food reserves, to an autotrophic stage with functional photosynthetic machinery (Rayorath et al, 2008).
This work aimed to study the residues that are discarded in the process of producing liquid sargaço extracts (Extractive Residues of Macroalgae - ERM) in seed germination assays, to observe if these extracts can have a stimulating potential in the seed germination, promoting a rapid germination or a more vigorous seedling development, in order to obtain a solution based on the circular economy aspect.
For this work, we considered the emergence rate as the development of the hypocotyl and for the germination was considered the cotyledon (embryonic leaf).
2. Material and methods
2.1 “Sargaço” Samples
“Sargaço” samples were supplied by ADP Fertilizantes (ADP) and collected in 2017 and 2018 in Viana do Castelo, Portugal. "Sargaço" 2017 has green algae (Codium sp., Ulva sp.), brown algae (Cystoseira baccata, Fucus sp., Laminaria ochroleuta, Saccharina latissima, Saccorhiza polyschides), red moss algae (Gelidium corneum) and red algae (Ahnfeltia plicata, Ahnfeltiopsis devoniensis, Caliblepharis sp., Chondrus crispus, Dilsea carnosa, Gigartina pistillata, Grateloupia turuturu, Mastocarpus stellatus, Plocamium cartilagineum) while the “sargaço” 2018 presents green algae (Codium sp., Ulva sp.), brown algae (Cystoseira baccata, Fucus sp., Laminaria ochroleuta, Saccharina latissima, Saccorhiza polyschides), red moss algae (Gelidium corneum) and red algae (Ahnfeltia plicata, Ahnfeltiopsis devoniensis, Caliblepharis sp., Chondrus crispus, Dilsea carnosa, Gigartina pistillata, Gracilaria gracilis, Grateloupia turuturu, Mastocarpusus status , Porphyra sp.).
2.2 Extracts preparation
The same procedure was used in preparation of the “sargaço” extracts harvested in 2017 and in 2018, with the washing process (S17CL and S18CL, respectively). The seaweeds were washed with distilled water to remove the salts excess, sediments and epiphytes that seaweeds contain. The washing process was done before the extraction and the samples were 1 min under the distilled water before being removed and dried with a manual drainer. The seaweeds without washing didn't go through this process (17SL and S18SL, respectively).
Next, the "sargaço" was cut in pieces and added to a blender (Moulinex LM811D11) with distilled water in a concentration of 0,12 g/mL, at maximum power and program “smoothie” for 3 min. At the end of the program, the solution was a viscous pulp, that was filtered in a Buchner funnel, with a nylon net set to filter larger residues (mesh dimension: 1mm), connected to a kitasato flask, under vacuum. The larger residues (ERM) were collected by the nylon net and stored at 4 ᵒC, until its utilization in the assays.
The extracts were prepared at the “Laboratório de Algas Marinhas”, MARE, Department of Life Sciences, University of Coimbra, on 06/24/2019 and 09/12/2019.
2.3 Germination tests
For germination assays, the torino bean (Phaseolus vulgaris) and kale (Brassica oleracea var. acephala) seeds were used in the trials, with the 4 treatments (S17CL, S17SL, S18CL and S18SL) and a distilled water as control (C).
The seeds were sterilized in sodium hypochlorite (NaClO) 2% for 1 min and washed in distilled water 3 times (Rayorath et al, 2008), and then 25 seeds were placed in the respective treatments in petri dishes. The trial occurred without repetitions due to the lack of ERM. In the control petri dishes, the seeds were placed on filter paper with cotton below it and 70 mL of distilled water were added. The petri dishes were sealed with parafilm and placed in a greenhouse with day light and at room temperature ~23 ᵒC (Fig. 1).

Figure 1 Insertion of petri dishes sealed with parafilm into the incubator at light and room temperature.
During the experiment, the emergence rate (number of emerged seeds/ total of seeds), the germination rate (number of germinated seeds/ total of seeds) and the total weight of the petri dishes (to obtain the evolution of the weight of seedlings) were recorded. At the end of the experiment, the root and shoot length and the fresh plantlet weight were measured.
The duration of the assay was 17 days to evaluate the seed germination/emergence and to analyze if ERM was emergence retardant, compared with the control.
3. Results
The pH and electrical conductivity (EC) of ERM in the liquid phase of the extract preparations was recorded. Extracts without the washing process, obtained in different years, showed similar pH (6,7 and 6,8) and EC (30,2 and 24,4) values. When washing was applied the values, from the same year, were lower, except for pH in the samples from 2017 (S17CL), where pH was 7 (Table 1).
Table 1 Analysis of pH and electrical conductivity (EC) of the liquid phase resulting from extraction of “Sargaço” liquid extracts (SLE).
3.1 Seed Emergence
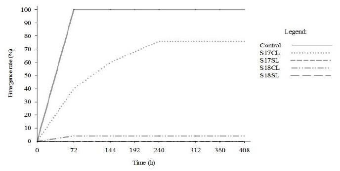
The germination/emergence assay finished by the 408th hour (17 days) because all plantlets emerged from the seeds until the final two days, had a steady evolution until the 360th hour (Fig. 2).
3.1.1 Bean seeds
In the germination trial with the bean seeds (Fig. 2), all samples showed emergence rate above 60% of the total seeds tested in the end of the maximum time. The samples had an identical emergence rate when compared with the control, with the exception of the S18SL that had the lowest percentage (68%).
Time was one of the main factors in the seed germination assay and gave some answers about emergence rate in the samples. The emergence and germination rates of the seeds were lower than the control, which was steady at 192 h. The best extract was S17CL (144 h) identical to the control but with lower final emergence rate in the bean germination assay (Fig. 2).

Figure 2 Emergence rate (%) in bean seeds (Phaseolus vulgaris) vs time. The time for the stabilization of the emergence rate was C= 192 h; S17CL= 144 h; S17SL= 360 h; S18CL=192 h; S18SL=240 h.
The only sample to have statistical difference from the control was the S18SL (P=0.002), so in the emergence rate, all the other samples maintained close to the control in the end of the assay. With the time as variable, the emergence rate was different between the S18CL and the S18SL samples (P= 0,010), moreover between the control and S18SL (P=0,018). Between the other samples there were not statistically differences (P<0.05).
3.1.2 Kale seeds
In the kale seed emergence was only observed in the samples S17CL (76%) alongside with the control (100%), while in the S18CL, small emergence rate was verified (Fig. 3).
The time for emergence rate stabilization in the control was 72 h. The S17CL was very different from the control, it was needed 240 h to stabilize, and the emergence was spaced between seeds.
The statistical analysis of the final emergence rate gave differences between the samples and control, apart from the S17CL (p= 0,803). With the time as variable, at statistical level there were differences between all the samples and the control, with the S17CL having the statistical threshold that reveal to be identical to the control (P= 0,11) and the rest of the samples with the control is statistically very different from the other samples analyzed (P<0,001).
3.2 Seed Germination and seedling parameters
In bean seeds, the treatment "sargaço" with washing 2018 was the only one with germination (S18CL = 32%), besides the control, which obtained better results (C = 60%) (Table 2). For root weight parameter, the washed "sargaço" sample 2018 had the best result (0.299 g), while the control had the worst test result (0.035 g). The remaining samples showed intermediate values (S17CL = 0.140 g; S17SL = 0.114 g; S18SL = 0.132 g).
The seed assayed with unwashed samples (S17SL and S18SL) and S17CL didn’t germinate, only S18CL treatment had seed germination.
Table 2 Germination rate (%), average length (mm) and average fresh weight of seedlings (g) of bean seeds (Phaseolus vulgaris) with various treatments.

ab,c,d,- indicate statistically identical samples groups (P<0.050); different letters indicates different groups with identical statistical similarity (P>0.050)
In the germination assay, the treatments of washed "sargaço" harvested in 2018 and the control were the only that germinated (C= 80%, S18CL= 32%), the sample S18CL was the only sample statistically identical without the time as variable. The remaining treatments (S17CL, S17SL, and S18SL) didn’t had germination. Although S17CL didn't show germination (cotyledon), the seeds of this treatment had an apex, but with a very small development.
In the apex length, the control had the biggest apex (C= 101.5 mm, S17CL= 15.57 mm, S18CL= 61.00 mm). Statistically there wasn’t a difference between the control and S18CL but the S18CL have a difference to the control and the S17CL have smaller size between the samples with apex present.
In the root length, the control had again the better result between the treatments used (C= 73.17 mm, S17CL= 63.80 mm, S17SL= 28.524 mm, S18CL= 36.10 mm, S18SL= 12.94 mm). The control and S17CL had identical results with the sample S18CL between the S17CL and S17SL sample and with the S18CL statistically identical to the control (p>0.05). As a result of this, in the average total length, the washed samples (S17CL and S18CL) had a worse value than control but statistically the S18CL is identical to the control.
In the apex fresh weight, the control had the average heaviest apices (C= 1.469 g, S17CL= 0.319 g, S18CL= 0.780 g). The samples with an apex were statistically significative, except the S18CL. On the fresh root weight, the washed "sargaço" treatments had a better result than the unwashed ones and the control (C= 0.035 g, S17CL= 0.140 g, S17SL= 0.114 g, S18CL= 0.299 g, S18SL= 0.132 g). In average weight of seedlings, only the S17CL sample is statistically significative to the results of the control.
In kale, the only samples that presented values were the washed samples of sargaço, S17CL and S18CL, with sample S17CL appearing more identical to the control.
In the germination test, the 2017 washed “sargaço” (S17CL = 64%) had a similar germination rate to the control (C = 80%) (Table 3), however its kale roots were very small when compared with control (S17CL = 9,79 mm) (C = 51,4 mm). The only sample identical to control in germination was the S17CL which proves that the germination in S17CL was good when compared with the other samples’ values.
Table 3 Germination rate (%), average length (mm) and average fresh weight of seedlings (g) of kale seeds (Brassica oleracea var. acephala) with various treatments.

a,b,c,d- indicate statistically identical sample groups (P<0.050); different letters indicates different groups with identical statistical similarity (P>0.050)
In the parameters registered in the kale, in the apex length the control had similar values to S17CL (C= 47,48 mm, S17CL= 45.00 mm), with both samples being statistically identical.
In root length, the control presented a longer root than the washed samples (C= 51.40 mm, S17CL= 9.79 mm, S18CL= 6 mm). For root length and average total length, the control was statistically different from all the samples tested (P<0.050).
In the apex fresh weight, the treatment S17CL had the average heaviest apices (C= 0.00200 g, S17CL= 0.00970 g) despite the short apices, with the control being statistically different from the S17CL.
For fresh root weight, both treatments had similar results (C= 0.000584 g, S17CL= 0.000495 g), despite the control root length being 5 times longer than the S17CL one. The control didn´t present statistically significant differences from the washed samples.
In average weight of seedlings, control was different from S17CL, with the cited sample having a heavier weight (C=0.002584 g, S17CL= 0.0102 g).
4. Discussion
The differences in pH and EC between the “sargaço” (2017 and 2018) resulted mainly from the concentration of seaweeds present. In 2017 “sargaço”, the brown seaweed was the most present phylum mixed mainly with red seaweeds. In 2018, on the contrary, the “sargaço” presented mainly brown seaweed with little presence of other phylum. The mineral/salt content is too high in the unwashed samples, so the further methodology need to be with washed samples due to the EC results.
This was the preliminary assay to evaluate the potential of seed germination with ERM, without use of germination stimulants or soil. This assay was to see if unwashed treatment can be used as a possibility to execute in a scale-up process and if the ERM can be applied and tested in further studies.
During the experiment, we noted that the weight of the petri dishes was steadily decreasing in all treatments throughout the experiment, the difference of weight between the beginning of the experience and the end was: C= 5,03 g, S17CL= 3,57 g, S17SL= 2,84 g, S18CL= 4,03 g, and S18SL= 2,84 g for bean and C= 4,58 g, S17CL= 1,73 g, S17SL= 1,83 g, S18CL= 1,07 g, S18SL= 1,71 g for kale. This happened in all cases including those with treatments in which the seeds did not emerge, and the issue is likely to be related to evaporated water.
During emergence assay, the effect of salinity-derived senescence or conductivity may have contributed to the fact that samples without washing had no seedlings. On the contrary, in the beans the effect of salinity-derived senescence was not noted in this assay, due to Phaseolus vulgaris don't being much affected in germination by salinity (Bayuelo-Jiménez et al, 2002). One of the possibilities that we have is that the EC from ERM is too high for the seed to germinate, so the ERM needs to be, somehow, mixed with some residues/soil to reduce the EC mostly from the unwashed samples.
The “sargaço” from 2018 and 2017 reacted in different ways because the “sargaço” 2017 was dried and washed by the rain for longer than the “sargaço” 2018, that was collected more recently, and their composition changes year to year.
The best sample in the bean germination assay was S18CL, the only sample that presented germination.
There was an improvement mainly in root weight with the washed “sargaço” 2018. This shows an improvement on seedling root water and in the nutrient uptake, making the plant more resistant in general.
This can be an improvement in bean plants with a better root level and vigor that can lead to better uptake of water and nutrients by the plants. In the field, the study of the association of rhizobacteria with beans in the presence of this treatments is missing, but this substrate can benefit from that type of association (polysaccharides that use the bacterial growth base and promote a wet soil environment).
It is noteworthy that the 2017 washed “sargaço” treatment in kale seeds improved the weight of each seedling compared to the control, which can mean that the advantage of using the "sargaço" with kale is leading to a better seedling vigor which can increase the success rate in the crop (the reason why the "sargaço" was used). But more assays are needed in field, under other conditions, to evaluate the fertilizer potential with kale seeds, because in situ situation we have to mixture the ERM with the soil.
The remaining treatments (S17SL, S18CL, and S18CL) were not favorable to the germination process of the kale seeds and their subsequent development.
Both experiments (bean and kale) were similar, with only the control and one more treatment (S18CL and S17CL respectively) presenting germination.
Conclusions
This is the first study using “sargaço” ERM in seed germination, whose treatments of “sargaço” harvested in 2017 and 2018 with the washing process were more effective than the treatments without the washing process (S17SL and S18SL), in both species. Because the unwashed samples will have a high value of conductivity due to mineral/ salts derived from the seawater.
The best sample in bean was the S18CL, but nothing compared to the control that excels in every analysis.
The best sample in kale was S17CL, supporting that the oldest sample with more time in the haystack with more variety of seaweed collected have more impact in germination of the seeds. The extract can have impact more noticeably in the average weight of the seedling and more specifically in apex weight.
With this assay, we conclude that the washed ERM samples can have a potential as soils conditioner for seed germination (unlike, the unwashed ERM samples) but there is a need for more study and assays. Such the soil adding, to execute a in vivo germination assay.
It will be important to test these residues with more seeds in the future and develop other types of tests, such as antifungal activity to test the potential of these residues and make them useful in order to promote circular economy.
In the future, we want to analyze the chemical constitution of extractive residues of macroalgae and apply them in a germination assay mixed with soil to optimize this sub valorized natural resource.















