INTRODUÇÃO
A bucha vegetal (Luffa cylindrica) é uma planta anual, herbácea, provida de gavinhas axilares, com hábito de crescimento trepador, pertencente à família das cucurbitáceas, cuja importância socioeconômica consiste nas diversidades de uso do seu fruto; a bucha, destinada para limpeza geral, higiene pessoal e artesanato, pode também ser utilizada na indústria, como filtros (Siqueira et al., 2009). Assim sendo, a utilização da bucha indica uma prospecção social econômico e ambiental, beneficiando diferentes setores do Brasil (Blind, 2016).
O desempenho final da bucha vegetal, como de qualquer outra cultura agrícola, depende da produção de mudas, uma fase importante no manejo de uma cultura (Silva et al., 2017). Guerra et al. (2017) relatam que a produção de mudas visa a obtenção de plantas vigorosas, que tenham a capacidade de se adaptar, sendo resistentes às intempéries, e para que isto ocorra, várias técnicas são utilizadas, tais como: sementes selecionadas e vigorosas, substratos adequados, recipientes e ambientes adequados, entre outras.
O substrato se destaca pela função de manter o ambiente propício ao crescimento das plantas. Os substratos devem apresentar umidade e arejamento equilibrados, além de fornecer nutrientes para o desenvolvimento inicial da planta (Oliveira et al., 2017; Silva et al., 2017). Além disso, substratos de baixo custo e fácil aquisição torna possível a produção de mudas de cucurbitáceas economicamente viável para os horticultores (Souza et al., 2014). Uma alternativa para a formulação de substrato é a reutilização de resíduos provenientes de diversas atividades, tendo como vantagem a possibilidade de redução de custo de produção e de impactos ambientais (Araújo et al., 2017).
Os resíduos oriundos de matéria-prima vegetal utilizados na formulação dos substratos podem influenciar de forma positiva as características físico-químicas bem como a ativação dos processos microbianos (Oliveira et al., 2015). Dentre os materiais com potencial de uso na composição dos substratos, se destaca a bagana da carnaúba (Copernicia prunifera (Mill.) H. E. Moore), um subproduto oriundo da extração da cera da palha da carnaúba (Brito et al., 2017).
A bagana contém altas concentrações de nutrientes, como N, P, K, Ca, Mg e S, além de elevados teores de matéria orgânica. Deste modo, quando utilizado na composição dos substratos, pode melhorar as características físicas e químicas do substrato, favorecendo o desenvolvimento das mudas (Andrade et al., 2022).
Alguns estudos relatam o potencial da bagana de carnaúba na produção de mudas de espécies florestal (Costa et al., 2021), florífera (Barroso et al., 2020), frutícola (Andrade et al., 2022) e olerícola (Brito et al., 2017). No entanto, ainda não foram realizados estudos utilizando a bagana de carnaúba como matéria-prima na composição de substratos para a produção de mudas de bucha vegetal. Neste contexto, objetivou-se avaliar o potencial de substratos constituídos por diferentes misturas de solo e bagana de carnaúba na produção de mudas de bucha vegetal.
MATERIAL E MÉTODOS
O experimento foi conduzido no período de março a abril de 2021 em casa de vegetação com 70% de sombreamento no Centro de Ciências Agrárias e Ambientais (CCAA) da Universidade Federal do Maranhão (UFMA), localizado no município de Chapadinha - MA, situado na mesorregião leste do Maranhão e microrregião de Chapadinha (3º44’ S e 43º21’ O). O clima, segundo a classificação climática de Köppen-Geiger, é do tipo Aw, tropical quente e úmido. A estação chuvosa está concentrada entre os meses de janeiro a junho, e a estação seca no período de julho a dezembro, com precipitação pluviométrica média de 1613,2 mm e temperatura média anual de 27,9 °C (Passos et al., 2016).
O delineamento experimental foi inteiramente casualizado, com seis tratamentos, correspondente aos substratos (S) constituídos por diferentes misturas de solo e bagana de carnaúba (BC) nas seguintes proporções: S1 - 100% Solo; S2 - 20% BC + 80% Solo; S3 - 40% BC + 60% Solo; S4 - 60% BC + 40% Solo; S5 - 80% BC + 20% Solo; S6 - 100% BC. Para cada tratamento foram consideradas quatro repetições e uma planta por repetição, num total de 24 plantas.
A bagana foi obtida em área nativa no município de Chapadinha - MA e, após a coleta, foi seca ao ar e triturada em forrageira com malha de abertura de 4 mm de diâmetro. O solo (Latossolo Amarelo distrófico - LAd, com 384 g kg-1 de areia grossa; 336 g kg-1 de areia fina; 112 g kg-1 de silte; 168 g kg-1 de argila total) utilizado no experimento foi coletado na camada de 0-20 cm e tamisado em peneira de malha com abertura de 4 mm de diâmetro. Deste perfil coletado, foi realizada uma amostragem para a caracterização física e química, determinadas de acordo com a metodologia descrita por Teixeira et al. (2017).
Subsequente, procedeu-se ao preparo dos substratos, que ocorreu com base em volume, após a mistura e homogeneização manual do solo com a bagana de carnaúba. Após o preparo dos substratos, duas subamostras de cada mistura foram retiradas, uma amostra foi utilizada para a caracterização química e outra para a caracterização física.
A realização da caracterização química (Quadro 1), foi analisado o pH, o valor de matéria orgânica (M.O.) e os teores totais dos macronutrientes: nitrogênio (N) fósforo (P), potássio (K), cálcio (Ca), magnésio (Mg) e enxofre (S) segundo a metodologia do MAPA (2007). Para caracterização física (Quadro 2), análises de densidade global, densidade de partícula e porosidade foram determinadas conforme os procedimentos descritos por Schmitz et al. (2002).
Quadro 1 Composição química dos substratos a base de solo e bagana de carnaúba
| Substrato | pH | M.O. | N | P | K | Ca | Mg | S |
| g kg-1 | g kg-1 | mg kg-1 | _______________ cmolc kg-1 ______________ | |||||
| S1 | 4,0 | 0,61 | 1,23 | 14 | 0,67 | 1,60 | 1,00 | 3,8 |
| S2 | 5,1 | 60,67 | 3,92 | 6 | 0,63 | 2,90 | 0,50 | 4,3 |
| S3 | 4,9 | 73,82 | 5,36 | 12 | 0,72 | 4,50 | 1,30 | 6,8 |
| S4 | 5,0 | 95,22 | 6,89 | 23 | 1,28 | 5,90 | 1,40 | 8,9 |
| S5 | 5,1 | 114,26 | 9,28 | 42 | 2,21 | 7,00 | 3,10 | 12,7 |
| S6 | 5,3 | 598,86 | 4,02 | 89 | 3,88 | 19,80 | 10,40 | 34,60 |
Substrato (S), potencial Hidrogeniônico (pH), Valores de pH, matéria orgânica (M.O.), nitrogênio (N), fósforo (P), potássio (K), cálcio (Ca), magnésio (Mg) e enxofre (S).
Quadro 2 Composição física dos substratos a base de solo e bagana de carnaúba
| Substratos | Densidade (g cm-3) | Porosidade (%) | ||
| DG | DP | |||
| S1 | 1,28 | 2,64 | 51,53 | |
| S2 | 1,17 | 2,61 | 55,33 | |
| S3 | 0,99 | 2,42 | 59,26 | |
| S4 | 0,78 | 1,98 | 60,78 | |
| S5 | 0,56 | 1,77 | 68,53 | |
| S6 | 0,29 | 0,90 | 70,20 | |
Substratos (S), densidade global (DG), densidade de partícula (DP).
Para a semeadura, utilizou-se sacos de polietileno com dimensões 12 x 20 cm, os quais foram preenchidos conforme os substratos descritos. A semeadura foi realizada na profundidade de 0,5 cm e diariamente realizada a rega com o auxílio de um regador manual.
Após 22 dias da semeadura, avaliou-se as seguintes variáveis: número de folha (NF), a partir da contagem do número total de folhas em cada muda; altura da planta (AP), com auxílio de régua milimetrada, considerando da base do substrato como a base da muda; área foliar (AF), determinada por intermédio do programa computacional ImageJ®; diâmetro do colo (DC), determinado com o paquímetro digital; relação altura da planta/diâmetro do colo (AP/DC), em função da relação entre as duas variáveis; comprimento da raiz (CR), mensurado com uma régua milimetrada; volume de raiz (VR); massa fresca do sistema radicular (MFSR) e massa fresca da parte aérea (MFPA), após pesagem em balança de precisão; massa seca do sistema radicular (MSSR) e massa seca da parte aérea (MSPA), também obtidos em balança de precisão, após a secagem do material vegetal em estufa com circulação forçada de ar, à temperatura de 65 ºC, por 72 horas; relação massa seca da parte aérea e massa seca do sistema radicular (MSPA/MSSR), relação entre ambas varáveis anteriormente quantificadas; e índice de qualidade de Dickson (IQD), calculado de acordo com Dickson et al. (1960).
Os dados foram submetidos à análise de variância pelo teste “F”. As médias foram submetidas à análise de regressão, ajustando-se aos modelos linear e polinomial. As análises foram realizadas pelo programa computacional Sisvar versão 5.6.
RESULTADOS E DISCUSSÃO
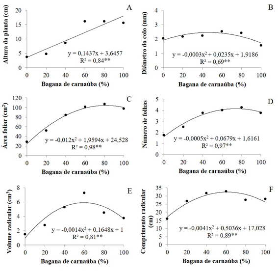
De acordo com a análise de variância, verificou-se um efeito significativo (p≤0,01) das doses de BC sobre os resultados das variáveis em estudo. Para a análise de regressão, verificou-se um ajuste linear da variável altura da planta (Figura 1A), e quadrático para o diâmetro do colo, área foliar e número de folhas (Figura 1B, C e D).
Constatou-se aumento linear de 2,87 cm na altura da planta em resposta a cada aumento da proporção de BC no substrato (Figura 1A). Porém, para o diâmetro do colo, houve apenas aumento até 39,2% BC (2,4 mm); até 81,6% BC (104,5 cm2) para a área foliar; e até 67,9% BC (3,9 folhas) para o número de folhas, seguidos de redução com os incrementos de BC (Figura 1B, C e D).
Esses resultados corroboram com Araújo et al. (2017), que ao avaliarem o efeito de resíduos orgânicos na qualidade de mudas de paricá (Schizolobium amazonicum Huber ex Ducke), destacaram que os substratos com proporções de resíduos de carnaúba influenciam no crescimento das mudas de forma linear para altura da planta e quadrática para NF e DC, provavelmente devido a melhoria nas características físico-químicas com o aumento da proporção de bagana de carnaúba no substrato, contribuindo para o desenvolvimento das mudas.
A adição de BC ao solo trouxe melhorias significativas na concentração macronutrientes dos substratos (Quadro 1). Nutrientes como nitrogênio (N), potássio (K), enxofre (S) e magnésio (Mg) são muito importantes para o crescimento da parte aérea, com destaque para as exigências de S e N na formação de aminoácidos. Além disso, o N juntamente com o Mg fazem parte da molécula de clorofila, essencial para a fotossíntese, e o K é fundamental para a turgescência celular e na translocação de açucares (Malavolta, 2006; Cunha et al., 2009; Beckmann-Cavalcante et al., 2015; Divan Junior, 2017). Fatores estes que implicam na formação dos primórdios foliares e, consequentemente, nas variáveis estudadas uma vez que quando se compara os teores nutricionais dos substratos, o tratamento com 100% BC possui maiores valores em relação ao substrato com 0% BC.

Figura 1 Altura da planta (A), diâmetro do colo (B), área foliar (C) e número de folhas (D) volume radicular (E) e comprimento radicular (F) de mudas de bucha vegetal em função de solo e substratos a base de bagana de carnaúba (**Significativo ao nível de 1% de probabilidade, pelo teste F).
No presente estudo, a maior proporção de BC no substrato não resultou em melhores respostas para os parâmetros diâmetro do colo, área foliar e número de folhas. Esses resultados podem ser atribuídos a densidade dos substratos, no qual foram observadas reduções significativas à medida que as proporções de BC aumentavam. A baixa densidade apresentada pelos substratos contendo 100% BC (Quadro 2), pode trazer problemas na fixação das plantas, uma vez que está muito abaixo da faixa considerada ideal (400 e 500 kg m-3) para cultivo em recipientes (Bunt, 1974). Contudo, quando utilizado apenas solo ou a mistura de solo com baixas proporções de BC, as formulações apresentavam baixa concentração de nutrientes e maior densidade (máximo de 1280 kg m-3), o que pode comprometer tanto a qualidade das mudas como tornar o transporte para o campo um inconveniente, devido ao peso elevado.
Para as variáveis volume radicular e comprimento radicular foi observada uma resposta quadrática, com valores máximos estimados de 58,9 e 61,4% de BC no substrato, respectivamente (Figura 1E e F). Segundo Brito et al. (2017), características como boa aeração e retenção de umidade do substrato são as que favorecem um melhor desenvolvimento do sistema radicular, uma vez que promove um maior equilíbrio entre estes parâmetros, com o consequente aumento na qualidade das mudas.
Resultados semelhantes foram encontrados por Silva et al. (2017) ao avaliarem a produção de mudas de melancia em diferentes substratos, obtendo maior comprimento radicular com o substrato contendo 75% de resíduo de carnaúba em pó. Estes autores referem que, para além das características físicas do substrato, as maiores quantidades de nutrientes, nomeadamente de fósforo, podem potencializar o desenvolvimento do sistema radicular. De acordo com Souza et al. (2014), o maior crescimento radicular é determinante para uma muda de qualidade pois, além de proporcionar uma maior superfície de contato com o substrato, facilita a absorção de água e nutrientes podendo também evitar a fragmentação do torrão durante o transplantio.
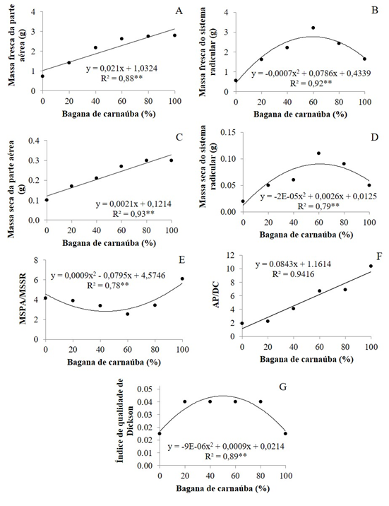
Ocorreu efeito linear para as variáveis massa fresca e massa seca da parte aérea (Figura 2A e C) e efeito quadrático para a massa fresca e seca do sistema radicular (Figura 2B e D). Observou-se que tanto a massa fresca como a massa seca da parte aérea aumentaram com os incrementos de BC no substrato. Enquanto que as massas fresca e seca do sistema radicular, apresentaram aumentos até 56,1 e 65,0% BC, respectivamente, seguidos de redução indicando, assim, que maiores concentrações de BC não proporcionam resultados favoráveis na formação de massa radicular de mudas de bucha vegetal. Essa diferença também ocorreu, possivelmente, devido a distribuição desigual dos fotoassimilados na planta. Segundo Taiz e Zeiger (1998) os fotoassimilados provenientes da fotossíntese nas plantas são distribuídos via floema, porém o transporte da fonte para o dreno é altamente complexo, fazendo com que não haja igualdade na distribuição para todos os drenos.

Figura 2 Massa fresca da parte aérea (A), massa fresca do sistema radicular (B), massa seca da parte aérea (C), massa seca do sistema radicular (D), relação massa fresca da parte aérea /massa seca do sistema radicular (E), relação altura da planta/diâmetro do colo (F) e índice de qualidade de Dickson (G) de mudas de bucha vegetal em função de solo e substratos a base de bagana de carnaúba (**Significativo ao nível de 1% de probabilidade, pelo teste F).
Pesquisadores como Rocha et al. (2013) correlacionaram a maior massa seca do sistema radicular a uma maior sobrevivência da muda em campo. As mudas providas de sistema radicular mais desenvolvido possuem maior capacidade de absorção de água e nutrientes, pelo que são mais tolerantes ao estresse provocado durante o transplantio.
As mudas responderam positivamente aos incrementos de BC no substrato até a formulação 60% bagana de carnaúba + 40% solo. Essa resposta pode ser atribuída a maiores concentrações de nutrientes presentes nos substratos contendo quantidades mais elevadas de BC, em comparação ao solo (Quadro 1). Contudo, para proporções mais elevadas de BC, observa-se redução no diâmetro do colo, área foliar, número de folhas, volume radicular, comprimento radicular, massa fresca e seca do sistema radicular. Siqueira (2007), ao avaliar o crescimento e acúmulo de nutrientes em bucha vegetal, observou baixa absorção de nutrientes na fase inicial do desenvolvimento. De acordo com este último autor, o potássio foi o macronutriente mais absorvido pela planta, seguido pelo nitrogênio, cálcio, fósforo, magnésio e enxofre, nesta ordem.
Além disso, a resposta quadrática das variáveis supracitadas pode estar relacionada com o aumento da condutividade elétrica dos substratos com a utilização de maiores proporções de BC (Sousa et al., 2011). Sob condutividade elétrica elevada a muda pode ter sua fisiologia afetada, reduzir a absorção de água e nutrientes, podendo reduzir a expansão foliar, número de folhas e o acúmulo de massa seca (Taiz et al., 2017). A bucha vegetal, uma cultura sensível a salinidade, tolera condutividade elétrica abaixo de 0,5 dS m-1, podendo ter seu desenvolvimento afetado em condições de condutividade elétrica mais elevadas (Guimarães et al., 2013).
O aumento da concentração BC, promoveu incrementos na massa fresca e seca radicular (Figura 2B e D). Contudo, em porcentagens acima de 56,1 e 65,0% BC, respectivamente, verifica-se uma redução destes parâmetros. Esse resultado pode ser atribuído ao aumento da concentração de P, que foi equivalente ao aumento da porcentagem de BC no substrato. De acordo com Rocha et al. (2013), o P faz parte de vários processos metabólicos, pelo que, doses reduzidas ou elevadas deste macronutriente podem proporcionar menor desenvolvimento das mudas.
A relação massa seca da parte aérea/massa seca do sistema radicular e índice de qualidade de Dickson apresentaram resposta quadrática (Figura 2E e G), enquanto que a relação altura da planta/diâmetro do colo apresentou uma resposta linear, em relação às crescentes proporções de BC nos substratos (Figura 2F).
As maiores proporções de BC nos substratos resultaram em relações mais elevadas, quer para massa seca da parte aérea/massa seca, como para a altura/diâmetro do colo. As relações massa seca parte aérea/massa seca do sistema radicular e altura da planta/diâmetro do colo são parâmetros utilizados para a avaliação da qualidade de mudas. Quanto mais próximos de 1 os seus valores, maior equilíbrio na distribuição de nutrientes, proporcionando o desenvolvimento de uma muda mais resistente às adversidades do campo, como tombamento e escassez de água (Sousa et al., 2016). Nesse sentido, pode-se afirmar que as altas proporções de BC no substrato resultam em mudas de menor qualidade, devido a relações menos equilibradas. A relação altura/diâmetro também pode ser utilizada como um indicador de estiolamento da muda (Oliveira et al., 2015).
As mudas de bucha vegetal obtiveram maior índice de qualidade de Dickson (0,04) para substrato com 50% de BC na sua formulação. Segundo Oliveira et al. (2015) essa variável é utilizada como fator de qualidade da muda, refletindo a robustez e distribuição de nutrientes na muda, quanto maior o valor desse fator, maior é o padrão de qualidade das mudas. O índice de qualidade de Dickson é um dos principais parâmetros de qualidade da muda, uma vez que na determinação tem em consideração as relações altura/diâmetro e a matéria seca da parte aérea/massa seca do sistema radicular.
CONCLUSÕES
A bagana de carnaúba mostra-se promissora para ser utilizada como substrato alternativo na produção inicial de mudas de bucha vegetal, pois é de fácil acesso na região, tem baixo custo de aquisição e promove o desenvolvimento dos parâmetros biométricos da bucha vegetal.
Entretanto, ressalvas são feitas quanto a sua concentração na formulação do substrato, tendo em vista que as altas concentrações de bagana de carnaúba inibem o desenvolvimento de diversos parâmetros biométricos das mudas de bucha vegetal, como observado nos resultados da presente pesquisa.
Com base no índice de qualidade de Dickson, a formulação de substrato com 50% bagana de carnaúba + 50% solo é a mais recomendada para obter mudas de bucha vegetal com maior qualidade.













