INTRODUCTION
One of the factors responsible for high yields for soybean and maize crops is the use of high physiological quality seeds that, when combined with crop management and the genetics used, allows a quality of plant stand and better establishment of the plants in the field (Espíndola and Cunha, 2015).
Through more agile metabolic processes, more vigorous seeds present faster primary root emission, higher growth rate and uniformity during the germination process, producing larger initial size seedlings and consequently, higher growth and yield (Mielezrski et al., 2008; Minuzzi et al., 2010). Fields cultivated with more vigorous soybean seeds consequently presented better productive indexes (Kolchinski et al., 2005).
By means of vigor tests, it is possible to identify the differences associated with the performance of seed lots during storage or after sowing, in order to highlight lots with greater efficiency for the establishment of the plant stand under the variation of environmental conditions (Marcos Filho et al., 2009).
Among the various forms used to perform the seed vigor evaluation there are tests based on seedling performance, where the length and/or dry mass of the seedlings are evaluated. However, the growth and development of these are differentiated depending on the vigor level of the batch. Knowing the growth curve of the seedlings, in relation to these differences, is fundamental for the evaluation to be performed at a time when any differences in vigor actually manifest themselves.
The quality and precision of sowing are the results of seed standardization, which consequently results in and facilitates obtaining a desired plant population. Although it is recognized the importance of seed standardization to carry out a more adequate sowing, there are still doubts as to the sizes of seeds that potentiate their yield.
According to Carvalho and Nakagawa (2012), seed size has no influence on germination but can affect the resulting seedling vigor, where the larger seeds results in seedlings that are more vigorous and, in varying field conditions, may result in superior plant stands.
The seedlings length test or its parts have been considered efficient to detect differences in the physiological potential of seeds of several species (Nakagawa, 1999). At the same time, in addition to this sensitivity, its results may be closely related to the field emergence of seedlings (Krzyzanowski et al., 1999; Vanzolini et al., 2007).
The objective of this study was to evaluate the effect of seed vigor and seed size on the initial length of soybean and maize seedlings in order to detect the best time to evaluate seedlings.
MATERIAL AND METHODS
Plant material
The soybean seeds of the cultivar ‘5855 RSF IPRO’ (BMX ELITE) were classified in two sizes: sieves of 6.0 and 6.5 mm, and hybrid maize seeds cultivar ‘Fórmula Viptera’, classified in two sizes: sieves of 7.5 and 7.0 mm using circular screen sieves.
Soybean seeds were stratified into two sub-plots, referred to as high and low vigor. To reduce the seeds vigor, they were exposed to a temperature of 41 ºC and relative humidity close to 100% for 48 hours, after which they remained for a further 12 hours exposed only to high temperature and air circulation, withdrawing the source of moisture so it would return to the initial level (high vigor batch).
As for the maize seeds, it was stratified into three vigor levels (high, medium and low). Maize seeds were exposed to the same conditions as soybean seeds for a period of 60 and 84 hours.
Experiments
To characterize the initial quality of the seeds, for each vigor level and seed size, several evaluations were conducted, namely: The germination test was conducted with four subsamples of 50 seeds, having as substrate three Germitest sheets of paper, moistened with distilled water, in an amount equivalent to 2.5 times the mass of the dry paper. The seeds were kept in a germination chamber with a temperature of 25 ºC. Seedlings considered normal were evaluated in a period of eight days after sowing, for soybean, and seven days for maize, according to the recommendations of the Rules for Seed Analysis (RAS) (Brasil 2009).
First germination counting was performed together with the germination test, computing the percentage of normal seedlings present on the fifth day, for soybean, and on the fourth day for maize, after the test installation.
The evaluation of plant emergence in seedbed, for both crops, had 400 seeds sowed, divided into four replicates of 100 seeds, at a depth of 3 cm. The seedling counts were performed at 21 days after sowing.
Emergence speed index is based on the principle that seed lots with the highest emergence speed have the ability to be more vigorous. Therefore, the test was carried out together with the emergence test in a seedbed, with daily counting’s always at the same time until a constant number of seedlings emerged. The formula used was proposed by Popinigis (1977), where IVE = (E1 / N1) + (E2 / N2) + ... + ( En / Nn ), where: IVE - emergence speed index; E - number of seedlings computed in the counting’s; N number of days of sowing to the 1st, 2nd ... nth evaluation.
For characterization of the seedling length test and initial seedling development, for each level of vigor and seed size, the following evaluations were carried out:
Root, shoot and total seedling length test, where four replicates of 20 seeds were used, being placed to germinate under the same germination test conditions. The seeds were distributed in the longitudinal direction of the germitest paper. The rolls were packed in plastic bags and placed vertically in the regulated germinator at 25 ºC. It was evaluated four replicates of 10 seedlings for each treatment, randomly chosen, starting 36 hours after sowing for soybean and 48 hours for maize, with an interval of 12 to 12 hours. The evaluation of the seedling length was performed with the help of a ruler (centimeters). The evaluations were carried out up to 204 hours after sowing for soybean and up to 180 hours for maize. Each seedling was individualized in the evaluation, in order to observe the effective growth curve. The mean results were expressed in centimeters per seedlings, for each treatment.
After evaluation of shoot length and root length, the seedlings of each replicate were separated into shoot and root parts, and then kept in the oven at 65 ºC for 72 hours, for the seedling dry matter evaluation. After, it was carried out the weighing of the ten seedlings in an analytical scale, of 0.001g precision, and the average results were expressed in milligrams per seedlings.
The experimental design was completely randomized, in a 2 x 2 factorial scheme, corresponding to two vigor levels and two seed sizes, respectively, with four replicates for the initial quality variables. In the evaluation of shoot, root and total lengths, the design was completely randomized, in a factorial scheme with two levels of vigor, two seed sizes and fifteen evaluation times, with four replicates.
RESULTS
Soybean seedlings growth
The summary of the variance analysis of the results indicated a significant effect on vigor levels for the first germination counting (FGC), germination (G), IVE and emergence in seedbed (EC) variables. For the root dry mass variable, there was a significant effect for sieves. There was significant interaction between vigor levels x sieves for shoot dry mass (SDM) and total dry mass (TDM). There was significant interactions between sieve size, vigor levels and time of the evaluations for the variable shoot length (SL), root length (RL) and total length (TL), showing different behavior of the variables as a function of the factors.
The results presented in Table 1, show that high vigor seeds had higher physiological quality, because they showed higher values for FGC, IVE and EC. There was no significant difference between vigor levels for germination. Seeds of high vigor showed a greater rate of germination, while seeds of low vigor presented a significantly lower value. The seeds of larger size presented difference in the vigor levels tested with higher shoot dry mass and total dry mass for the high vigor level. When comparing the sieve sizes of soybean seeds, it was possible to diagnose that in the high vigor level, the sieves differed from each other, what did not occur in the low vigor level for both variables evaluated. Seeds with high vigor, from the 6.5 mm sieve, presented superiority for SDM and TDM, compared to seeds of low vigor. However, for the 6.0 mm sieve, no distinction was made between vigor levels.
Table 1 Comparison of means for the first germination counting (FGC), germination (G), emergence speed index (IVE) and emergence in seedbed (EC) according to the two levels of vigor
| Vigor Levels | FGC (%) | G (%) | IVE | EC (%) |
|---|---|---|---|---|
| High | 92 a | 98 a | 4.72 a | 64.25 a |
| Low | 82 b | 94 a | 3.46 b | 50.87 b |
| CV (%) | 3.58 | 2.22 | 19.5 | 19.73 |
1 Means followed by the same letter, lowercase in the column, do not differ by Tukey test (p <0.05).
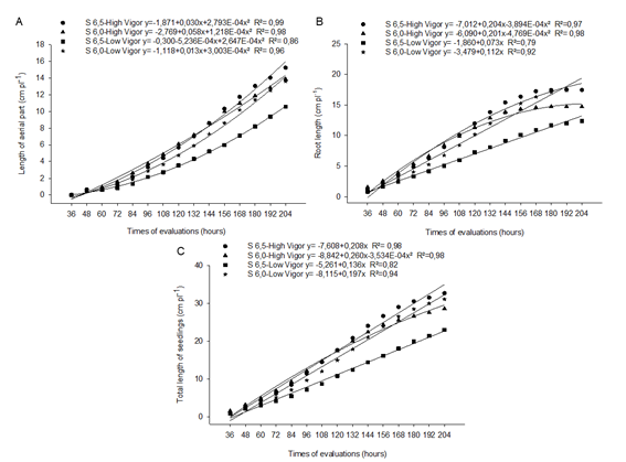
The differences between seedling lengths with different vigor levels and sieve sizes, evaluated every 12 hours, can be observed in Figure 1. For shoot length (Figure 1A) all treatments were adjusted to the quadratic model. From the 96 hour time, it is possible to visualize an expressive difference for the sieve curves (6.5 and 6.0 mm) between the high and low vigor levels. Seeds from high vigor lots, regardless of seed size tested, presented higher SL for all evaluation times.
The behavior of the RL (Figure 1B) was similar to that of the SL, but after the first 156 hours elapsed, the low vigor seeds from 0 to 6.0 mm size sieve showed values higher than those of high vigor seeds of the same sieve size. The curve behaviors for the regression of the treatment of sieves 6.5 and 6.0 mm with high vigor level set to the quadratic model and the sieves with low vigor level the response was linear.
In relation to TL (Figure 1C), when evaluating the influence of the sieve size on seedling growth, within the high vigor level, the seedlings from sieves 6.0 mm showed superior growth in relation to the seedlings of sieve size 6.5 mm, until the time of 108 hours of evaluation. Later, the behavior occurred in reverse. At the last evaluation time (204 hours), at the high vigor level, the seeds from the 6.5 mm sieve presented 4.06 cm in total length, more than the seeds of the 6.0 mm sieve. After 168 hours, the TL of seedlings obtained from seeds of the 6.0 mm sieve size and of low vigor presented higher growth than the seeds of the same sieve, but with high vigor.
In 6.5 mm sieve size, the low vigor seeds had greater SL and steady growth over the evaluation time (Figure 2A), which is also observed for low vigor, but with an average growth rate of 0.34 mm h-1, lower than high vigor seeds, throughout the evaluation period. High vigor seeds, originated from sieve size 6.00 mm, presented an initial shoot growth superior to the seeds of low vigor, but after the interval of 132 to 144 hours of evaluation, high vigor seeds reduce their growth rate, while those of low vigor increase their rate (Figure 2B).
The behavior of the growth tendency, for low vigor seeds, with a sieve size of 6.5 mm, is linear, and thus the growth rate, when passing the evaluation times presented the same root length (Figure 2C). For seeds of high vigor, occurs reduction of the root growth rate as the evaluation time passes. The root growth for seeds of high vigor, with a sieve size of 6.0 mm, showed similar behavior to seeds with a 6.5 mm sieve size (Figure 2D). However, the high vigor seeds, in the range of 96 to 108 hours, presented lower root growth than seeds of low vigor, which can explain the result obtained for root dry mass, where low vigor seeds showed higher mean values, when compared to high vigor seeds.
Seeds of high and low vigor, from sieve size of 6.5 mm, presented similar behavior in the evaluation of TL of seedlings (Figure 2E). Both vigor levels showed a linear behavior, but high vigor seeds had a total growth rate of 0.71 mm h-1, higher than the low vigor seeds. Seedlings from low vigor seeds, from the 6.0 mm sieve, presented linear behavior for total seedling length, with a growth rate of 1.98 mm h-1, which results in a growth of 0.024 cm after 12 hours of sowing. While high vigor seeds presented an initial overall growth rate higher than the low vigor, in the interval after 72-84 hours of evaluations, the low vigor seeds showed a higher rate (Figure 2F).

Figure 2 Growth rate of soybean seedlings in mm h-1, originated from seeds with different vigor levels. A - Growth rate of shoot, sieve 6.50 mm; B - Shoot growth rate, 6.00 mm sieve; C - Root growth rate, sieve 6.50 mm; D - Root growth rate, sieve 6.00; E - Total growth rate, sieve 6.50 mm; F - Total growth rate, 6.00 mm sieve.
Maize seedling growth
It was possible to verify that there was a significant interaction between sieves x vigor levels in maize seeds, only for the variable SDM. The variables FGC, G, IVE and emergence speed (ES) were only significant for vigor levels. The summary of the variance analysis of the results indicated a significant effect for the interactions between sieves x times of evaluations and vigor levels x times of evaluations for the variable SL, as well as presented significant effect for sieves. For the variables RL and TL there was a significant effect for sieves, vigor levels and evaluation times.
High vigor maize seeds presented the highest average of FGC, but did not differ from medium vigor seeds, as well as for G (Table 2). For the variable IVE, high vigor seeds differed from seeds of medium and low vigor, thus presenting a higher average IVE. Whereas for the ES, seeds of high and medium vigor did not differ, presenting the lower averages, which means that they will took less time to emerge from the soil.
Table 2 Averages for the variables first germination count (FGC), germination (G), rate of emergence (IVE) and emergence speed (ES) as a function of vigor levels of maize seeds
| Vigor levels | FGC (%) | G (%) | IVE | ES |
|---|---|---|---|---|
| High | 94 a | 98 a | 4,70 a | 5.23 a |
| Medium | 84 ab | 96 a | 4.53 b | 5.27 a |
| Low | 78 b | 88 b | 4.43 b | 5.37 b |
| CV (%) | 10.25 | 5.04 | 2.92 | 1.01 |
1 Means followed by the same letter, lowercase in the column, do not differ by Tukey test (p <0.05).
The shoot dry mass (SDM) of high vigor seeds from 7.5 mm sieve presented the lowest mean, but did not differ between vigor levels (Table 3). There was only the distinction between the sieves used for the low vigor level. For SDM in the 7.0 mm sieve, the high and medium vigor levels did not differ, as well as the medium and low levels.
Table 3 Comparison of means for root length (RL) and total length (TL) of maize seedlings as a function of vigor levels
| Evaluation times (hours) | RL (cm -1) | TL (cm -1) | |||||
|---|---|---|---|---|---|---|---|
| Vigor Levels | |||||||
| High | Medium | Low | High | Medium | Low | ||
| 48 | 0.66 | 0.54 | 0.42 | 0.66 | 0.54 | 0.42 | |
| 60 | 2.55 | 2.37 | 2.02 | 3,15 | 2.86 | 2.50 | |
| 72 | 4.50 | 4.10 | 3.83 | 5.45 | 5.03 | 4.72 | |
| 84 | 6.68 | 6.26 | 5.94 | 8.43 | 7.73 | 7.27 | |
| 96 | 10.03 | 9.52 | 9.03 | 12.46 | 11.80 | 11.19 | |
| 108 | 13.20 | 12.58 | 11.97 | 16.85 | 15.91 | 15.01 | |
| 120 | 16,70 | 15.98 | 15.33 | 21.38 | 20.43 | 19.47 | |
| 132 | 19.90 | 19.47 | 18.49 | 25.44 | 24.90 | 23.51 | |
| 144 | 23.30 | 22.84 | 21.81 | 29.59 | 29.13 | 27.76 | |
| 156 | 26.07 | 25.59 | 24.76 | 33.09 | 32.67 | 31.49 | |
| 168 | 28.86 | 28.30 | 27.49 | 36.56 | 36.15 | 34.96 | |
| 180 | 31.06 | 30.22 | 29.56 | 39.30 | 38.66 | 37.70 | |
| Mean | 15.29 A | 14,81 B | 14.22 C | 19.36 A | 18.82 B | 18.00 C | |
1 Means followed by the same letter, upper case in the line, do not differ by Tukey test (p <0.05).
Seeds of high vigor gave rise to seedlings with a higher mean of RL and TL, differing from seedlings from medium and low vigor seeds (Table 4).
Table 4 Associations between vigor levels and evaluation times for shoot length (SL) (cm pl-1) of maize seedlings
| Evaluation times (hours) | Levels of vigor | ||
|---|---|---|---|
| High | Medium | Low | |
| 48 | 0.00 A | 0.00 A | 0.00 A |
| 60 | 0.59 A | 0.50 A | 0.47 A |
| 72 | 0.95 A | 0.91 A | 0.89 A |
| 84 | 1.74 A | 1.46 B | 1,33 B |
| 96 | 2.43 A | 2.25 A | 2.16 A |
| 108 | 3.64 A | 3.29 B | 3.04 B |
| 120 | 4.68 A | 4.41 A | 4.13 B |
| 132 | 5.53 A | 5.38 A | 5.02 B |
| 144 | 6.28 A | 6.24 A | 5.94 B |
| 156 | 7.02 A | 7.02 A | 6,73 B |
| 168 | 7,70 AB | 7.81 A | 7.47 B |
| 180 | 8.24 B | 8.57 A | 8.13 B |
| CV (%) | 7.04 | ||
1 Means followed by the same letter, upper case in the line, do not differ by Tukey test (p <0.05).
Up to 72 hours, the seedlings originated from high, medium and low vigor seeds were similar for SL. Between 120 and 168 hours the SL of the seedlings obtained from seeds of high and medium vigor were superior to the seedlings of low vigor. In the time of 84 hours after the installation of the experiment, the high vigor level was superior to the others. This occurred also in the time of 108 hours. After 180 hours, the level of medium vigor was higher than the high and low. For the interaction between times and evaluations x levels of vigor, seedling length values from high vigor seed (R² = 0.97) were adjusted to the linear model with high coefficient of variation. However, those from seeds of medium vigor (R² = 0.98) and low vigor (R² = 0.98) showed that the SL adjusted to the quadratic model (Figure 3).
DISCUSSION
The size and shape of the seeds, in general, should not affect the germination, however, according to Carvalho and Nakagawa (2012) it may affect seeds vigor. High vigorous seeds tend to better express their early growth by virtue of its rapid metabolic activation and degradation of reserves. When the reserves present in the cotyledons ends, the beginning of growth reduction occurs (mm h -1), this can also be explained due to lack of nutrition (Dan et al., 1987; Schuch, 1999; Kolchinski et al., 2005). Working with oat, Schuch et al. (1999), observed that seedlings from the seeds with high vigor exhibited higher initial size, which consequently led to higher growth rates, dry matter production and leaf area, over the initial period of growth.
At the peak of the reserves usage, the initially heterotrophic seedling, dependent on the reserves stored by the mother plant in the cotyledons, becomes an autotrophic plant, depending on the nutritional contribution of the environmental relations and the management, for the accomplishment of the photosynthesis and maintenance of the growth rate (Marcos Filho, 2013). As this is not possible, since the seed is sown in an inert substrate (paper), the growth rate decreases with time, until its stabilization.
The early growth results in increased light capture by the leaves, which causes the maximum leaf area index to be reached more quickly. In addition, it provides greater and faster shading of the soil surface, and consequently less evaporation of soil water, which can be used in the transpiration and growth of plants. Furthermore, plants with higher initial size and growth rates have a high competitive capacity, providing faster closure of the spaces between the lines and favoring weed control (Henning et al., 2010).
Seeds are living beings and cannot preserve their vital functions indefinitely, undergoing a series of physiological, physical and biochemical changes. The intensity and speed of the deterioration process depend on genetic factors and also on the environment, and can be triggered before physiological maturity, negatively influencing the physiological quality of seeds, mainly in terms of vigor, resulting in loss of germination and culminating the death of the seeds. Stressful conditions during the vegetative and reproductive phases can cause, respectively, the formation of smaller and deformed seeds with low physiological quality (Marcos Filho, 1999; Cardoso et al., 2012; França Neto et al., 2016).















