INTRODUÇÃO
A produção de pêssegos no Brasil é de 216 mil toneladas em uma área aproximada de 17 mil hectares, o estado do Rio Grande do Sul (RS) é responsável por 60,65% da produção nacional, mas a produtividade média do estado é baixa (9,77 t ha-1) quando comparada com a média nacional (11,59 t ha-1) (IBGE, 2018). Com o objetivo de elevar os índices produtivos e satisfazer a procura do mercado, a produção deverá ajustar as quantidades de nutrientes de acordo com as cultivares, espaçamento de plantio e tipo de solo.
Para frutíferas de caroço, os principais elementos minerais que as plantas necessitam são N e o K. O K participa direta ou indiretamente de inúmeros processos bioquímicos das plantas e está envolvido com o metabolismo de carboidratos, fotossíntese e respiração (Song et al., 2015). Nos pomares, a adubação potássica está relacionada com a qualidade dos frutos (Nava et al., 2008; Lester et al., 2010), sendo que em frutíferas de caroço é o elemento mais abundante nos frutos (Rombolá et al., 2012).
Em relação aos frutos, a adubação potássica quando fornecida em quantidades adequadas proporciona frutos de maior tamanho (Dbara et al., 2016; Jawandha et al., 2017), influencia o teor de sólidos solúveis (Jawandha et al., 2017) e firmeza de polpa (Trevisan et al., 2006; Nava et al., 2008). O excesso de K pode reduzir a firmeza dos pêssegos (Trevisan et al., 2006) e o período de conservação dos frutos de frutíferas de caroço (Rombolá et al., 2012).
Neste contexto, o objetivo deste trabalho foi avaliar a influência da adubação potássica sobre as características físico-químicas e compostos bioativos dos pêssegos cultivados em solos da região produtora do sul do Rio Grande do Sul.
MATERIAL E MÉTODOS
O presente trabalho foi realizado em um pomar comercial de pessegueiros da cultivar Esmeralda enxertada sobre o porta-enxerto Capdeboscq, localizado no município de Morro Redondo - RS, latitude 31°31'49.3"S e longitude 52°35'39.8"W. O experimento foi conduzido durante as safras de 2014, 2015, 2016 e 2017. A cultivar de pessegueiro Esmeralda é considerada para a indústria ou de dupla finalidade (Raseira et al., 2014). O pomar foi implantado no ano de 2008, com sistema de condução das plantas em “Y” e o espaçamento entre linhas de 6,0 m e entre plantas de 1,5 m correspondendo a uma densidade de 1.111 plantas ha-1.
O solo é um Argissolo Bruno acinzentado (Santos, 2006), e à implantação, em 2008, foi realizada aplicação de calcário dolomítico para elevar o pH em água até 6,0, e fertilizado com P e K de acordo com a recomendação preconizada pela CQFS-RS/SC (2004) para a cultura do pessegueiro. O calcário e os fertilizantes foram incorporados na área total do pomar até aproximadamente 30 cm de profundidade, por meio de uma sequência de operações de subsolagem, lavração e gradagem. As análises químico-físicas do solo, realizadas antes da instalação do experimento (2014), apresentaram os seguintes resultados: pH em água de 5,8; 23 mg dm-3 de P; 64 mg dm-3 de K; 30 mmolc dm-3 de Ca; 9,5 mmolc dm-3 de Mg; 2,1% de matéria orgânica e 18% de argila.
O delineamento experimental foi de blocos ao acaso, com quatro repetições e quatro plantas por unidade experimental, sendo consideradas somente as duas plantas centrais como úteis para fins de avaliação. As doses de K utilizadas foram 0, 40, 80, 120 e 160 kg K2O ha-1, utilizando cloreto de potássio (60% de K2O), aplicado anualmente aplicado anualmente sobre a superfície do solo, sem incorporação e próximo da plena floração dos pessegueiros. Todas as plantas receberam doses iguais de nitrogênio (N) e fósforo (P), conforme recomendações da CQFS-RS/SC (2016).
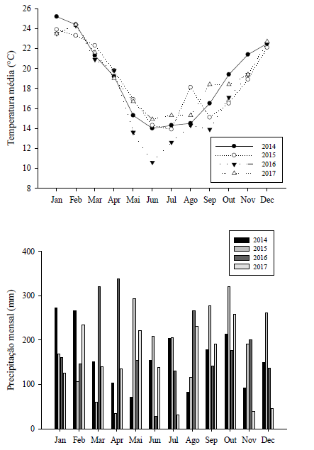
A temperatura média e precipitação mensal dos anos de 2014, 2015, 2016 e 2017 foram coletados da estação meteorológica da Embrapa Clima Temperado, localizado no município de Pelotas, RS, Brasil (Figura 1). A precipitação total foi de 1940,4 mm no ano de 2014, de 2244 mm no ano de 2015, 2203 mm no ano de 2016 e 1793,5 mm no ano de 2017.

Figura 1. Temperatura média e precipitação mensal dos anos de 2014, 2015, 2016 e 2017 no município de Pelotas, RS, Brasil. Estação da Embrapa Clima Temperado, RS, Brasil.
Para as avaliações físico-químicas dos frutos foi colhida uma amostra de 30 frutos das duas plantas centrais de cada repetição e encaminhadas ao Núcleo de Alimentos da Embrapa Clima Temperado, Pelotas - RS. Nesta amostra os pêssegos foram avaliados: a coloração da polpa, realizada com o auxílio do colorímetro da marca Minolta, modelo CR-400, com duas leituras na região equatorial dos frutos de “L” (luminosidade), “a*”, “b*”, matiz ou tonalidade cromática representada pelo °Hue e croma; firmeza de polpa e epiderme realizado com o texturômetro (TextureAnalyzer, TA.XT plus®, Stable Micro Technologies Texture Systems) com a ponteira P2 de 2 mm, força de 5 g e velocidade de 5 mm s-1 e os resultados expressos em Newtons (N); sólidos solúveis (SS) obtido através de refratômetro digital manual da marca ATAGO, modelo PAL-1 e os resultados expressos em °Brix; potencial hidrogeniônico (pH) determinado com o auxílio de um potenciômetro digital Metrohm 780; acidez titulável (AT) determinada por método potenciométrico com NaOH 0,1 N até atingir pH 8,1, utilizando o pHmetro digital Metrohm 780 sendo utilizado 10 mL da amostra (suco) e 90 mL de água destilada e os resultados expressos em mg de ácido cítrico/100 mL de suco; relação SS/AT, quantificado através da razão entre o teor de sólidos solúveis e acidez titulável.
Para determinação dos compostos fitoquímicos, os frutos foram descascados, e as polpas, trituradas para a realização das análises, sendo analisado: compostos fenólicos totais determinados pelo método baseado na reação com o reagente Folin-Ciocalteau, adaptado de Swain e Hillis (1959), sendo o resultado expresso em ácido clorogênico mg/100 g de amostra; carotenoides totais, determinados pelo método de Talcott e Howard (1999) e os resultados calculados a partir de uma curva padrão construída com β-caroteno e expressos em mg.100 g-1; atividade antioxidante, determinada através do radical estável DPPH de acordo com o método de Brand-Williams et al. (1995) e os resultados expressos equivalente trolox µg 100 g-1 peso fresco. Para os compostos bioativos utilizou-se correlação linear de Person.
Os resultados foram submetidos à análise de variância e quando os efeitos foram significativos foram ajustadas as equações de regressão, tendo-se testado os modelos linear e quadrático pelo teste F, escolhendo-se aquele com significância menor que 5% (p < 0,05) e com maior coeficiente de regressão.
RESULTADOS E DISCUSSÃO
Na primeira safra avaliada (2014), de modo geral não foram constatadas diferenças significativas para as variáveis SS, AT e relação SS/AT (Quadro 1) submetidas a diferentes doses de potássio. A ausência de resposta da adubação potássica no primeiro ano de avaliação é comum em frutíferas, uma vez que estas podem possuir reservas de K e que podem assegurar a manutenção da qualidade dos frutos.
Quadro 1 Características químicas dos frutos de pessegueiros cv. Esmeralda submetida a diferentes doses de potássio correspondente a quatro safras de avaliação
| Doses de K2O (kg ha-1) | SS (ºBrix) | pH | AT (mg de ácido cítrico/100 mL de suco) | SS/AT |
| Safra 2014 | ||||
| 0 | 12,25 | 3,39 | 1,09 | 11,29 |
| 40 | 11,90 | 3,46 | 1,10 | 10,77 |
| 80 | 11,80 | 3,47 | 1,08 | 10,92 |
| 120 | 11,97 | 3,49 | 1,10 | 10,68 |
| 160 | 11,45 | 3,49 | 1,10 | 10,43 |
| CV (%) | 5,3 | 1,26 | 5,06 | 9,23 |
| Linear | ns | *(1) | ns | ns |
| Quadrática | ns | ns | ns | ns |
| Safra 2015 | ||||
| 0 | 9,25 | 3,40 | 0,98 | 9,43 |
| 40 | 9,97 | 3,36 | 1,08 | 9,23 |
| 80 | 8,97 | 3,40 | 1,09 | 8,23 |
| 120 | 8,72 | 3,41 | 1,07 | 8,18 |
| 160 | 8,73 | 3,40 | 1,10 | 7,93 |
| CV(%) | 4,45 | 1,20 | 6,39 | 8,46 |
| Linear | **(2) | ns | ns | **(3) |
| Quadrática | ns | ns | ns | ns |
| Safra 2016 | ||||
| 0 | 11,35 | 3,35 | 1,16 | 9,77 |
| 40 | 11,87 | 3,42 | 1,26 | 9,54 |
| 80 | 11,35 | 3,39 | 1,18 | 9,58 |
| 120 | 10,72 | 3,46 | 1,13 | 9,52 |
| 160 | 11,15 | 3,40 | 1,24 | 9,00 |
| CV(%) | 6,20 | 1,15 | 8,17 | 12,58 |
| Linear | ns | * | ns | ns |
| Quadrática | ns | *(4) | ns | ns |
| Safra 2017 | ||||
| 0 | 11,92 | 3,29 | 0,96 | 12,30 |
| 40 | 14,05 | 3,32 | 0,98 | 13,00 |
| 80 | 11,77 | 3,36 | 0,99 | 12,88 |
| 120 | 12,25 | 3,37 | 0,99 | 12,48 |
| 160 | 11,77 | 3,32 | 0,98 | 11,80 |
| CV(%) | 9,81 | 2,17 | 2,16 | 10,99 |
| Linear | ns | ns | ns | ns |
| Quadrática | ns | ns | ns | ns |
ns, não significativo; *, **, significativo a 5 e 1% de probabilidade de erro, respectivamente.(1) y = 3,4345 + 0,0004x (R² = 0,4369); (2) y = 9,2975 + 0,03244x + 0,0006x² (R² = 0,8366); (3) y = 9,4432 + 0,01024x (R² = 0,8773); (4) y = 3,3575 + 0,008041x + 0,0002462x² R² = 0,9999.
Nas características químicas dos frutos, os SS dos frutos responderam às doses de K somente na safra de 2015, sendo verificado o comportamento linear decrescente, ou seja, com o incremento das doses de K2O no solo houve um decréscimo nos valores de sólidos solúveis (Quadro 1). Esse resultado pode ser explicado pelo fato do K exercer influencia sobre o tamanho dos frutos (Dbara et al., 2016). Com o aumento do tamanho dos frutos (dados não apresentados) é possível que os teores de açúcares dos pêssegos tenham sido dissolvidos. Entretanto, nas safras de 2014, 2016 e 2017 não foi observada influência da adubação potássica nos SS dos pêssegos (Quadro 1). Resultados similares foram verificados em pêssegos e ameixa (Chatzitheodorou et al., 2004; Cuquel et al., 2011).
Para o pH do suco houve diferença entre as doses de K nas safras 2014 e 2016 (Quadro 1). Em 2014, à medida que houve o aumento das doses de K no solo, o pH dos frutos aumentou linearmente. Este resultado também foi observado por Çolpan et al. (2013) que observaram maiores valores de pH do suco das frutas nas doses mais altas de K. Entretanto, na safra 2016, a relação apresentou um comportamento curvilíneo, observando-se o maior valor de pH para uma dose estimada de K2O de aproximadamente 106 kg ha-1 seguindo-se um decréscimo nos valores dessa variável.
A AT dos pêssegos não apresentou resposta à adubação potássica nas quatro safras avaliadas (Quadro 1). Esses resultados estão de acordo com Dbara et al. (2016) que observaram que a aplicação foliar de potássio e irrigação não promoveram diferenças significativas entre tratamentos em relação à AT de pêssegos. Em ameixa, a adubação potássica na forma de cloreto de potássio aplicado no solo, também não influenciou a AT dos frutos no momento da colheita (Cuquel et al., 2011).
Na segunda safra (2015) obteve-se resposta para a relação SS/AT em relação às doses de K, sendo que SS/AT diminuiu em resposta ao incremento das doses de K aplicadas ao solo (Quadro 1). No ano de 2015 não houve efeito da adubação potássica para acidez titulável, mas os SS reduziram proporcionalmente ao incremento das doses de K, e desta forma houve a redução da relação SS/AT com o aumento das doses de K no solo.
Em relação à firmeza da epiderme dos pêssegos, esta variável respondeu à adubação potássica somente na safra de 2015 (Quadro 2). Nesta safra, a firmeza da epiderme aumentou linearmente com o incremento das doses de K aplicadas no solo (Quadro 2). O fato da adubação potássica em altas doses aumentar a firmeza da epiderme dos pêssegos, pode estar relacionado com as condições climáticas desse ano, pois se verificou que frutos apresentaram maior tamanho (dados não apresentados) provavelmente porque choveu mais de setembro a dezembro (Figura 1) e, assim, o K conseguiu se mostrar eficiente, principalmente em doses elevadas.
Quadro 2 Características físicas dos frutos de pessegueiro cv. Esmeralda submetida a diferentes doses de potássio durante quatro safras de avaliação
| Doses de K2O (kg ha-1) | Firmeza Epiderme (N) | Firmeza Polpa (N) | °Hue | Croma |
| Safra 2014 | ||||
| 0 | 10,65 | 77,11 | 53,92 | |
| 40 | 11,00 | 79,71 | 56,51 | |
| 80 | 10,34 | 75,66 | 57,30 | |
| 120 | 9,81 | 77,86 | 56,31 | |
| 160 | 10,35 | 79,48 | 53,54 | |
| CV(%) | 9,43 | 3,96 | 5,06 | |
| Linear | ns | ns | ns | |
| Quadrática | ns | ns | *(1) | |
| Safra 2015 | ||||
| 0 | 3,60 | 2,85 | 83,57 | 47,97 |
| 40 | 4,47 | 2,99 | 83,84 | 46,99 |
| 80 | 8,77 | 2,63 | 85,27 | 45,93 |
| 120 | 9,14 | 2,73 | 84,96 | 46,71 |
| 160 | 9,34 | 2,84 | 86,03 | 47,36 |
| CV(%) | 20,43 | 10,86 | 1,45 | 2,19 |
| Linear | **(2) | ns | **(3) | ns |
| Quadrática | ns | ns | ns | *(4) |
| Safra 2016 | ||||
| 0 | 7,08 | 1,78 | 81,26 | 57,62 |
| 40 | 7,25 | 1,79 | 81,27 | 51,71 |
| 80 | 7,19 | 1,76 | 81,20 | 55,93 |
| 120 | 7,02 | 1,70 | 81,30 | 53,64 |
| 160 | 7,34 | 1,76 | 82,01 | 53,00 |
| CV(%) | 6,96 | 13,44 | 1,04 | 3,92 |
| Linear | ns | ns | ns | ns |
| Quadrática | ns | ns | ns | ns |
| Safra 2017 | ||||
| 0 | 11,08 | 3,41 | 83,02 | 58,72 |
| 40 | 11,38 | 3,60 | 82,95 | 52,53 |
| 80 | 10,41 | 3,25 | 84,49 | 52,07 |
| 120 | 10,42 | 3,33 | 84,37 | 51,70 |
| 160 | 10,48 | 3,13 | 84,26 | 50,90 |
| CV(%) | 9,73 | 14,44 | 2,60 | 2,08 |
| Linear | ns | ns | ns | *(5) |
| Quadrática | ns | ns | ns | ns |
ns, não significativo; *, **, significativo a 5 e 1% de probabilidade de erro, respectivamente.(1) y = 53,9277 + 0,08693x + 0,0005584x² (R² = 0,5611);(2) y = 2,2015 + 0,09715x (R² = 0,9449); (3) y = 83,5311 + 0,01508x (R² = 0,8750); (4) y = 48,0224 + 0,04008x + 0,000227x² (R²= 0,9056); (5) y = 56,478 - 0,0412x (R² = 0,6827).
O incremento na resistência da epiderme devido ao aumento das doses de K possibilita uma maior resistência aos danos mecânicos nos frutos após a colheita, sendo um atributo de grande importância para a integridade dos frutos durante o transporte e manuseio. Esse comportamento também foi relatado por Araújo et al. (2006), os quais observaram que a espessura da epiderme dos maracujá aumentou com as doses de K aplicadas em solução nutritiva e no solo.
A firmeza de polpa não apresentou resposta à adubação potássica nas safras avaliadas nesse estudo (Quadro 2). As informações relatando o efeito da adubação de K na firmeza de polpa em frutas são variáveis na literatura, pois em algumas situações, altas doses de K diminuem a firmeza da polpa da maçã com adubação de 100 e 200 kg K2O ha-1 (Nava et al., 2008), enquanto em outras, como no caso da ameixeira, este efeito não ocorre quando aplicado 55 e 200 kg K2O ha-1 (Cuquel et al., 2011).
Em relação à coloração da polpa, expresso pelo valor °Hue, observa-se resposta à adubação potássica somente na safra de 2015, sendo que o valor dessa variável aumentou com o incremento de K no solo (Quadro 2). Com o aumento das doses de K ocorreu o aumento dos valores de °Hue na safra 2015, sendo que os frutos da dose 0 (83,57°Hue) apresentaram coloração amarelo-alaranjado na polpa, enquanto que e a dose de 160 kg ha-1 de K2O (86,03°Hue) a coloração foi amarelo-esverdeado.
Na coloração da polpa, a variável Croma apresentou diferenças para diferentes doses de K nas safras 2014, 2015 e 2017 (Quadro 2). A cromaticidade apresentou comportamento quadrático, porém, ora aumentando (2014) ora diminuindo os valores de croma (2015 e 2017). Na safra 2014 a adubação potássica observou-se um incremento dos valores de croma até a dose de 72,4 kg ha-1 de K2O e na safra 2015, os valores de croma foram reduzidos pela adubação potássica, atingindo os menores valores com a dose de 100,5 kg ha-1 de K2O. Na safra de 2017, os valores de croma decresceram com o incremento das doses de K no solo.
Os carotenoides totais dos frutos apresentaram diferença significativa entre as doses de adubação potássica nos pessegueiros somente na safra de 2015 (Quadro 3), observando-se um aumento linear e de acordo com o incremento das doses de K no solo. Neste ano os valores foram inferiores aos demais anos, o que poderá estar relacionado com maior diluição dos carotenoides, pois os frutos foram maiores. Embora neste trabalho tenha sido observada a influência da adubação potássica em relação aos carotenóides nos pêssegos somente em uma safra, é reportado na literatura que o K pode desempenhar um papel importante no processo de biossíntese de carotenóides, ativando várias enzimas que regulam o metabolismo de carboidratos (Fanasca et al., 2006). Entretanto, os teores de carotenóides nos pêssegos também podem depender da cultivar (Vizzotto et al., 2007) e do porta-enxerto utilizado (Barreto et al., 2017).
Quadro 3 Compostos bioativos e atividade antioxidante dos frutos de pessegueiro cv. Esmeralda submetida a diferentes doses de potássio durante quatro safras de avaliação
| Carotenoides¹ | Compostos fenólicos² | Atividade antioxidante³ | |
| Safra 2014 | |||
| 0 | 6,95 | 288,55 | 4159,51 |
| 40 | 7,19 | 262,37 | 3379,74 |
| 80 | 7,03 | 248,92 | 3171,87 |
| 120 | 7,03 | 221,67 | 2618,06 |
| 160 | 7,28 | 243,35 | 2860,12 |
| CV(%) | 11,69 | 14,54 | 21,28 |
| Linear | ns | *(2) | **(4) |
| Quadrática | ns | ns | ns |
| Safra 2015 | |||
| 0 | 3,60 | 231,99 | 2750,00 |
| 40 | 3,50 | 214,24 | 2870,02 |
| 80 | 3,88 | 176,70 | 2305,80 |
| 120 | 3,72 | 189,24 | 2275,86 |
| 160 | 4,15 | 178,47 | 2208,23 |
| CV(%) | 5,99 | 19,22 | 14,19 |
| Linear | **(1) | *(3) | *(5) |
| Quadrática | ns | ns | ns |
| Safra 2016 | |||
| 0 | 6,46 | 273,11 | 3220,73 |
| 40 | 6,19 | 289,47 | 3704,96 |
| 80 | 7,05 | 257,19 | 2768,55 |
| 120 | 6,41 | 238,64 | 2624,74 |
| 160 | 6,69 | 254,34 | 2807,83 |
| CV(%) | 11,84 | 12,75 | 15,84 |
| Linear | ns | ns | *(6) |
| Quadrática | ns | ns | ns |
| Safra 2017 | |||
| 0 | 4,73 | 328,37 | 959,50 |
| 40 | 4,44 | 283,22 | 1087,25 |
| 80 | 4,05 | 289,56 | 1159,25 |
| 120 | 4,22 | 220,34 | 1005,02 |
| 160 | 4,10 | 319,78 | 1318,19 |
| CV(%) | 8,82 | 20,90 | 11,73 |
| Linear | ns | ns | ns |
| Quadrática | ns | ns | ns |
¹ ácido clorogênico mg/100 g de amostra; ² β-caroteno expressos em mg.100 g-1; ³ trolox µg 100 g-1 peso fresco. ns, não significativo; *, **, significativo a 5 e 1% de probabilidade de erro, respectivamente.(1) y = 3,608 + - 0,0305x (R2 = 0,9991); (2) y = 279,192 + - 0,328x (R2 = 0,704); (3) y = 224,542 -0,330x (R2= 0,7480); (4) y = 3909,959 - 8,401x (R2 = 0,8060); (5) y = 2817,523 - 4,1940x (R2= 0,7590); (6) y = 3259,009 + 25,185x (R2= 0,8680).
Em 2014 e 2015, à medida que houve o aumento das doses de K, os compostos fenólicos da polpa dos pêssegos decresceram linearmente, ou seja, as plantas que não foram adubadas com K apresentaram os frutos com os maiores valores de compostos fenólicos (Quadro 3).
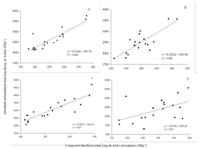
Do mesmo modo que os teores de compostos fenólicos nos pêssegos, as doses crescentes de K aplicadas no solo reduziram os teores da atividade antioxidante nos frutos nas safras de 2014, 2015 e 2016 (Quadro 3). Essa redução poderá estar relacionada com o facto dos compostos fenólicos possuírem uma significativa contribuição sobre a atividade antioxidante total (Gil et al., 2002). Deste modo, os teores de compostos fenólicos e atividade antioxidante dos pêssegos apresentaram comportamento similar, confirmando que há correlação entre estes compostos (Figura 2). Essa correlação entre os compostos também já foi observada na polpa de pêssegos por Gil et al. (2002) e Vizzotto et al. (2007).

Figura 2 Correlação linear de Pearson entre atividade antioxidante total e compostos fenólicos totais dos frutos de pessegueiros cv. Esmeralda submetidos a diferentes doses de potássio no ano de 2014 (A), 2015 (B), 2016 (C) e 2017 (D).
Embora, somente algumas variáveis de qualidade dos pêssegos foram influenciadas pela adubação potássica do solo durante as quatro safras avaliadas, sugere-se que o modo de aplicação do K esteja relacionado com a obtenção desses resultados. Também as condições climáticas podem alterar os resultados, pois o ano 2015 foi caracterizado por uma primavera muito chuvosa (1051 mm) e com baixas temperaturas (média de 18°C) (Figura 1). Em vários estudos envolvendo plantas frutíferas, o K quando aplicado foliar apresentou maior efeito na qualidade dos frutos, enquanto que o K aplicado no solo resultou em pouco ou nenhum efeito (Jifon e Lester, 2009; Cuquel et al., 2011).
CONCLUSÃO
Os parâmetros coloração da polpa, firmeza da epiderme, sólidos solúveis, relação SS/AT, pH e compostos bioativos e dos pêssegos responderam à adubação potássica mas apenas em alguns ciclos de produção. Independentemente da safra avaliada, não se observou resposta às doses de K aplicadas anualmente sobre a superfície do solo nos parâmetros de acidez titulável e firmeza da polpa dos pêssegos.













