Serviços Personalizados
Journal
Artigo
Indicadores
-
Citado por SciELO -
Acessos
Links relacionados
-
Similares em
SciELO
Compartilhar
Revista de Ciências Agrárias
versão impressa ISSN 0871-018X
Rev. de Ciências Agrárias vol.41 no.2 Lisboa jun. 2018
https://doi.org/10.19084/RCA17145
ARTIGO
Características dos componentes de ovos da linhagem Ross de idades diferentes via análise multivariada
Traits of egg components from Ross line of different ages by multivariate analysis
Ana Beatriz Traldi1, Fabiane de Lima Silva2,*, Kuang Hongyu3, Simone Daniela Sartorio4 e José Fernando Machado Menten5
1 Centro Universitário do Cerrado, UNICERP, Patrocínio, MG, Brasil
2 Centro de Ciências Agrárias, Ambientais e Biológicas, Universidade Federal do Recôncavo da Bahia, Cruz das Almas, BA, Brasil
3 Departamento de Estatística, Universidade Federal de Mato Grosso, Cuiabá, MT, Brasil
4 Departamento de Tecnologia Agroindustrial e Socioeconomia Rural, Centro de Ciências Agrárias, Universidade Federal de São Carlos, Araras, SP, Brasil
5 Programa de Pós-graduação em Ciência Animal, ESALQ/USP, Piracicaba, SP, Brasil
(*E-mail: fabianezte@yahoo.com.br)
RESUMO
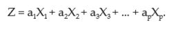
Dois experimentos foram conduzidos com o objetivo de avaliar a relação das características das componentes dos ovos, provenientes de ovos de pesos semelhantes ou distintos, produzidos por matrizes da linhagem Ross de idades diferentes. No experimento I foram utilizados 2.340 ovos e 2.160 ovos para o experimento II. Em cada um dos experimentos, uma amostra de 50 ovos foi selecionada dentro do peso determinado para cada idade de matriz avaliando-se as seguintes características: peso do ovo (PESO), peso da casca (CASAB), peso da gema (GEAB), percentagem de gema em relação ao peso do ovo (GERE), peso da clara (CLAAB) e percentagem de clara em relação ao peso do ovo (CLARE). As duas primeiras componentes principais (CPs) foram responsáveis por 86,01% da variação total, sendo a CP1 responsável por 57,09% da variação. As características PESO, GERE e GEAB contribuíram positivamente para a CP1. Conforme resultados da Análise em Componentes Principais, foi aplicada a técnica de análise discriminante canónica, que separou os tratamentos considerando-se as características importantes na CP1.
Palavraschave: componentes principais, discriminante, biplot, correlação.
ABSTRACT
Two experiments were carried out with the objective of evaluating the relationship between of the characteristics of egg components from similar or different weights produced by Ross lineages of different ages. 2,340 and 2,160 eggs were used for the experiments I and II, respectively. In each of the experiments, a sample of 50 eggs was selected within the weight determined for each age of the matrix, evaluating the following characteristics: egg weight (WEIGHT), shell weight (CASAB), yolk weight (GEAB), yolk percentage in relation to egg weight GERE), albumen weight (CLAAB) and percentage of albumen relative to egg weight (CLARE). The first two principal components (CPs) accounted for 86.01% of the total variation. CP1 accounted for 57.09% and CP2 for 28.92% of the existing variations. The characteristics PESO, GERE and GEAB contributed positively to CP1. According to the results of the analysis of principal components, the canonical discriminant analysis technique was applied, which separated the treatments considering the important characteristics in CP1.
Keywords: principal component, discriminant, biplot, correlation.
INTRODUÇÃO
Os alimentos atualmente não se destinam apenas em satisfazer a fome e a fornecer os nutrientes necessários para os seres humanos, mas também para prevenir doenças relacionadas com a nutrição e melhorar o bem-estar físico e mental dos consumidores. O ovo é um alimento universal, rico em nutrientes como proteínas, minerais, ácidos gordos (linoléico, linolênico, DHA e EPA), carotenóides e colina, consideradas substâncias funcionais importantes para a saúde humana (Mendes et al., 2016).
O ovo pode ser considerado uma proteína de alto valor biológico, e corresponde a aproximadamente 20% das recomendações diárias de proteína (Applegate, 2000). Geralmente possui 58,5% de albumina, 31% de gema e 10,5% de casca, entretanto, a composição varia de acordo com a linhagem genética, dieta das aves e a idade das matrizes (Vieira e Moran, 1999; Fraeye et al., 2012; Samman et al., 2009), sendo uma excelente fonte de alimento barato e altamente nutritivo (Pascoal et al., 2008).
Atualmente, o consumo per capita de ovos no Brasil corresponde a cerca de 191,7 ovos por habitante por ano, considerado baixo quando comparado com outros países. O Japão e México apresentam consumo superior a 360 ovos/hab/ano (Santos Filho e Schlindwein, 2007; ABPA, 2016). A indústria avícola tem desenvolvido e estabelecido produtos comerciais específicos para serem comercializados no mundo. O número de ovos produzidos por ave não é apenas uma característica relevante para a indústria de ovos, mas também o seu maior valor nutritivo.
Na criação de frangos de corte, o peso ao nascer tem relação direta com o peso do ovo e a influência exercida pelo peso inicial pode estender-se durante todo o período de criação. Sabe-se que um dos fatores que regulam o peso do ovo é a idade da matriz. Matrizes jovens apresentam tendência a produzir ovos mais leves, que gerarão pintos de um dia também mais leves, quando comparados àqueles produzidos por matrizes adultas. É importante salientar que o peso do ovo pode também ser afetado por fatores como condições ambientais, nutrição da matriz e genética, e dessa forma, é possível a ocorrência de ovos de mesmo peso provenientes de matrizes de idades distintas e ovos de tamanhos distintos provenientes de matrizes de mesma idade. Com o aumento da idade da ave, o peso do ovo e a percentagem de gema aumentam, enquanto que as percentagens de casca e albúmen diminuem resultando assim, em ovos de qualidade inferior (Garcia et al., 2010).
Em muitas situações, os pesquisadores tendem a analisar as características de forma univariada. Entretanto, esta abordagem é limitada pelo fato de não considerar a possível correlação entre as características. Análises multivariadas têm sido utilizadas em diversos estudos na produção animal, entre as quais se destacam a Análise em Componentes Principais (ACP) e Análise Discriminante Canónica (ADC). A ACP consiste em transformar um conjunto de variáveis originais correlacionadas entre si, num novo conjunto de variáveis, denominadas componentes principais, que apresentam a função de reduzir linearmente a dimensão de um conjunto de dados, de modo que este novo conjunto de p variáveis não correlacionadas, retenha o máximo de informações em termos de variação total ordenada de forma decrescente (Jonhson e Wichern, 2007; Hair et al., 2009; Agudelo-Gómez et al., 2015). A ADC, assim como ACP, permite reduzir a dimensionalidade dos dados. Esta metodologia baseia-se na derivação de coeficientes canónicos, simultaneamente com uma análise de variância multivariada (Johnson e Wichern, 2007).
Nesse contexto, o presente trabalho teve por objetivo avaliar a relação das características fenotípicas de peso dos ovos e seus componentes, produzidas por matrizes de diferentes idades (29 ou 55 semanas) da linhagem Ross, por meio de técnicas multivariadas.
MATERIAL E MÉTODOS
Os dados utilizados neste trabalho são provenientes de dois experimentos utilizando dois lotes de aves da linhagem Ross®, com diferentes idades (29 e 55 semanas cada), conduzidos no aviário experimental do Departamento de Zootecnia Setor de Não Ruminantes, da Escola Superior de Agricultura Luiz de Queiroz (ESALQ/USP).
Para o experimento I foram utilizados 2340 ovos, sendo 1200 e 1140 ovos de matrizes jovens e adultas respectivamente, com pesos distintos. No experimento II, 2160 ovos (1080 ovos de cada idade de matriz, com pesos semelhantes).
Em cada um dos experimentos foi selecionada uma amostra de 50 ovos dentro do peso determinado para cada idade de matriz avaliando-se as seguintes características: peso do ovo (PESO); peso da casca (CASAB); peso da gema (GEAB); percentagem de gema em relação ao peso do ovo (GERE); peso da clara (CLAAB); percentagem de clara em relação ao peso do ovo (CLARE) e percentagem da casca em relação ao peso do ovo (CASRE). Maiores detalhes sobre o manejo dos animais e coleta das características podem ser encontradas em Traldi (2011).
Após serem feitas as remoções das informações discrepantes dos dados, 198 observações foram utilizadas nas análises. Preliminarmente, foi realizado diagnóstico de multicolinearidade entre as variáveis, que pode levar à formação de matrizes singulares ou mal condicionadas (Montgomery e Peck, 1992). Após essa análise, foi identificada e descartada a variável percentagem da casca em relação ao peso do ovo (CASRE), que ocasionava forte multicolinearidade entre as demais características dos ovos, acarretando problemas na matriz de dados.
Análise Estatística
Análise em Componentes Principais
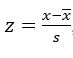
Os dados foram submetidos à Análise em Componentes Principais pela matriz de correlação de Pearson, o que corresponde a cada uma das variáveis ter sido padronizada (média igual a zero e variância igual à unidade), pois algumas delas foram medidas em unidades diferentes. Neste caso, a estrutura de dependência das variáveis foi dada pela matriz de correlação (R). Os valores foram padronizados utilizando a seguinte fórmula:
, em que:
z é o valor padronizado de x,
é a média geral e
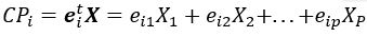
sé o desvio padrão da variável <x. As componentes principais foram obtidas por combinações lineares das variáveis originais, resultando os vetores próprios da matriz R. O valor absoluto de um vector próprio associado ao valor próprio de cada componente determina a importância das características numa componente principal. Cada vector próprio é calculado a partir de um valor próprio da matriz de correlação dos dados e os valores próprios estão relacionados com a variância em cada componente principal (Rencher, 2002; Fraga et al., 2015).
A primeira componente principal (CP1) explica a maior
percentagem da variância genética aditiva total. A segunda componente principal
(CP2) explica a segunda maior percentagem e assim por diante, até que
toda a variância é explicada. Num conjunto de dados com p variáveis, o vetor aleatório
X´ = [X1, X2, ...,Xp] que tem matriz de correlação
(R) com os pares valor próprio--vetor próprio(λi, ei), para i = 1,2,...,p, em que
λ1 ≥ λ2 ≥ ... ≥ λp ≥ 0 (Rencher, 2002; Johnson e
Wichern, 2007). A i-ésima componente principal é dada por
é a i-ésimo vector próprio
e Xp é o p-ésimo variável
nos dados originais.
A componente principal CPi é uma variável latente, ou seja, não é medida a partir da experiência ou levantamento amostral. O objetivo é determiná-la a partir das p variáveis contidas no vetor X. A ideia é projetar os pontos coordenados originais em um plano maximizando a distância entre eles, o que equivale a maximizar a variabilidade da variável latente Zi (Johnson e Wichern, 2007; Hongyu et al., 2016).
Análise gráfica via biplot
A análise exploratória com auxílio dos gráficos biplots (Gabriel, 1971), é baseada na matriz de correlação, sendo esta de grande interesse prático do ponto para a análise de grandes matrizes de dados, resumindo informações e permitindo a análise exploratória da estrutura de correlação entre as unidades amostrais e as variáveis, por meio de combinações lineares entre essas últimas (Johnson e Wichern, 2007).
A análise exploratória via biplot fundamenta-se no fato de que qualquer matriz de dados Y (n × p) de característica r pode ser fatorada como: Y = GH, em que G é uma matriz (n ´ r) e H uma matriz (p ´ r), ambas necessariamente de característica r. Essa fatoração não é única. Um modo de fatorar Y é escolher as r colunas de G como uma base ortonormal do espaço coluna de Y, e calcular H como YG. Na prática, busca-se uma aproximação de característica 2 para esta matriz, visando sobretudo uma melhor representação gráfica. Para aproximar qualquer matriz retangular Y (n × p) de característica r sobre uma matriz (n × p) de característica menor, pode-se usar a decomposição por valores singulares (Eckart e Young, 1939).
Análise discriminante canónica
A Análise Discriminante Canónica (ADC) foi aplicada nos resultados de análise em componentes principais, com objetivo de discriminar os tratamentos com base nas características a priori mais importantes via análise em componentes principais. A primeira etapa de ADC foi verificar os pressupostos e realizar a análise de variância multivariada (MANOVA) com utilização do teste multivariado Lambda de Wilks. O teste multivariado Lambda de Wilks serve para verificar se existem diferenças significativas entre os tratamentos nas funções canónicas.
Na análise discriminante canónica as combinações lineares para as variáveis quantitativas que fornecem uma máxima discriminação entre os tratamentos pelo teste F (p<0,05) chamadas de variáveis canónicas (Johnson e Wichern, 2007). A dimensionalidade é o número de variáveis canónicas obtidas na análise discriminante. A dimensionalidade, portanto, é a ordem do hiperplano gerado pelas diferentes médias de tratamentos e em termos das médias populacionais, é o número de valores próprios não nulos da matriz Λ: Λ = E-1.H = |n.∑|-1.H, em que Λ é a matriz determinante, E é matriz de soma de quadrados e produtos de resíduo, H é a matriz de soma de quadrados e produtos cruzados de tratamentos, n é o número de graus de liberdade do resíduo e ∑ é a matriz de covariância (Johnson e Wichern, 2007).
A utilização da ADC permite determinar funções das variáveis X = (X1, X2, ...,Xp), que separam g grupos tanto quanto possível, usando Z uma combinação linear das variáveis originais, e o valor médio de Z muda de um grupo para outro e assim separa os grupos. A abordagem é construir combinações lineares das variaveis Xi, em que os indices a = (a1, a2, ...,ap)possam maximizar a razão F para análise de variância de um fator (Jonhson e Wichern, 2007; Hair et al., 2009). A combinação linear das variáveis é dada por:

Um gráfico biplot foi construído para as duas primeiras variáveis canónicas (Can 1 e Can 2), com objetivo de discriminar os tratamentos em relação as características mais importantes nas variáveis canónicas, mostrando as elipses de confiança de 95% dos vetores médios para cada tratamento, a fim de visualizar as maiores diferenças multivariadas de todos os tratamentos em conjunto. Todas as análises foram feitas utilizando o software R 3.4.1 (R development core team, 2017), considerando α = 5%.
RESULTADOS E DISCUSSÃO
Os resultados obtidos da Análise em Componentes Principais aplicada à matriz de correlação das características dos ovos da linhagem Ross, seus respectivos valores próprios e as percentagens da variância explicada por esses componentes são apresentados no Quadro 1. Considerando-se que a importância relativa das componentes principais decresce do primeiro para o último, tem-se que dois primeiros componentes foram responsáveis por 86,01% da variação total dos dados, sendo associados aos maiores valores próprios, enquanto os demais componentes são responsáveis pela explicação de uma fração mínima da variância dos dados (13,99%).
As componentes principais são combinações lineares das variáveis originais, sendo que o CP1 é o mais importante, seguido do CP2, apresentando variâncias de 3,43 e 1,74, respectivamente. A correlação entre as componentes principais é zero, sendo a variação explicada pelo CP1 independente da variação explicada pelo CP2 (Fraga et al., 2015).
Na interpretação dos resultados, optou-se por utilizar as duas primeiras componentes principais, levando-se em consideração o diagnóstico gráfico scree plot e o critério de Kaiser (Kaiser, 1958) com valor próprio > 1. Logo, as CPs com autovalores maiores do que um, explicam a maior parte da informação relevante, contida nos dados. Rencher (2002) relata que no mínimo 70% do total da variância dos dados seja explicada pelas duas primeiras CPs, sendo suficiente do ponto de vista prático do pesquisador.
Venturini et al. (2013) avaliaram os valores genéticos de características de produção de ovos, acumuladas no período de produção de três semanas, e a produção total de ovos ao longo de 54 semanas de produção de aves White Leghorn, por meio de componentes principais. Foram utilizadas 19 características no estudo. De acordo com os autores, a qual também utilizaram o critério de Kaiser, três CPs foram suficientes para explicar 70,93% da variância total dos valores genéticos das características. A CP foi útil para observar a divisão no ciclo de postura, bem como as relações entre os valores genéticos das características de produção de ovos, entre os períodos de produção avaliado.
Em trabalho semelhante, Fraga et al. (2015) utilizaram técnicas de estatística multivariada e, analisaram cinco características de produção mensuradas em um rebanho de bovinos de leite, constituído por animais mestiços das raças Holandesa, Gir e Guzerá, mesmo sendo com espécie diferente do presente estudo, os resultados obtidos por estes autores corroboram aos encontrados neste trabalho. De acordo com os autores, apenas duas componentes principais foram suficientes para explicar 89,4% da variância total das características. Por outro lado, Meira et al. (2013) avaliaram 13 características morfofuncionais mensuradas em cavalos da raça Mangalarga Marchador e obtiveram seis componentes principais as quais explicaram 78,57% da variação total das informações. Sendo assim, na condição experimental do estudo, a utilização das duas CPs foi adequado.
A matriz de correlações e seus respectivos valores-p, estão apresentados no Quadro 2. Observou-se que as características mais significativamente correlacionadas (p < 0,0001) positivamente foram: GEAB e GERE (r = 0,92), PESO e GEAB (r = 0,81), PESO e CLAAB (r = 0,70), enquanto que CLARE e GERE (r = 0,93) e CLARE e GEAB (r = 0,84) apresentaram correlações negativas. Assim, pode-se concluir que há evidências de correlação entre as características, indicando que o uso das técnicas de análises multivariadas é adequado.
A correlação positiva entre o PESO e GEAB indica que ovos mais pesados apresentam maior peso da gema, e consequentemente maior percentagem de gema. Silversides e Budgell (2004), estudaram características dos ovos provenientes de aves com diferentes idades (32, 50 e 68 semanas de idade). As correlações entre PESO e GEAB foram em média de 0,79, 0,59 e 0,50, para as idades respectivamente. Este valor está próximo com o observado no presente trabalho. Ainda nesse trabalho, levando em consideração a linhagem (duas comerciais e outra que não havia sido selecionada desde 1965), encontraram valores de correlações entre PESO e GEAB de 0,56, 0,67 e 0,84 para as linhagens ISA Brown, Babcock B300 e Brown Leghorn, respectivamente. Esse fato é atribuído à influência da idade e linhagem no peso do ovo. O teor de gema tem uma influência na composição corporal e na viabilidade do pintainho (Onbasilar et al., 2011). CLARE apresentou correlação negativa com GERE e GEAB, indicando que o aumento da CLARE nos ovos tende a reduzir GEAB e consequentemente, GERE.
Na interpretação das componentes principais consideraram-se as equações 1 e 2, com os valores dos vetores próprios dos CP1 e CP2.
CP1 = 0,44 PESO + 0,25 CASAB + 0,53 GEAB + 0,48 GERE + 0,09 CLAAB 0,47 CLARE (1)
CP2 = 0,42 PESO + 0,28 CASAB + 0,02 GEAB + 0,31 GERE + 0,73 CLAAB 0,35 CLARE (2)
Esses coeficientes indicam o grau de importância de cada característica na respectiva componente principal. De acordo com a equação (1) ficou evidente o contraste entre dois grupos de características, sendo similares os coeficientes entre PESO, GEAB e GERE (grupo 1, Figura 1A), com relação com o coeficiente negativo da variável CLARE (grupo 2).
O CP1 está relacionado com as diferenças dos pesos dos ovos relacionado à proporção da gema, com isso a gema é a componente principal que determina o peso do ovo (Figura 1A). A gema é a fonte mais concentrada de nutrição para o embrião em desenvolvimento (Hartmann et al., 2003). O peso do ovo é considerado a variável mais importante do ponto de vista técnico e econômico, por que o efeito do peso do ovo apresenta forte influência sobre o peso do pinto ao nascer e no seu crescimento.
E de acordo com a equação (2), na segunda componente principal ficou evidente que as características CLAAB e PESO dos ovos contribuíram mais para CP2 (Figura 1B), podendo ser chamada de componente da clara. Segundo Lima et al. (2001), o peso do ovo aumenta com a idade devido ao aumento do tamanho da gema, enquanto que a variação no peso dos ovos produzidos pelas aves de mesma idade resulta em um aumento da proporção da clara.
A redução do número de seis variáveis para apenas duas componentes principais facilitou a avaliação do efeito da idade das aves sobre as características dos ovos via análise gráfica do biplot (Figura 2). Considerando o CP1 observa-se que ovos produzidos por aves de 55 semanas de idade apresentaram maior peso médio do ovo que os produzidos por aves de 29 semanas de idade. Embora todas as componentes dos ovos tenham sido mais pesados nos ovos de aves adultas, a maior diferença entre as aves foi devida a GEAB e GERE. Com o aumento da idade da ave, o peso do ovo e a percentagem da gema aumentam, enquanto que as CASAB e CLAAB e CASAB diminuem.
O teste multivariado Lambda de Wilks indicou diferença significativa entre os tratamentos nas três funções canónicas (Quadro 3). O R2 canónico é uma estimativa da variância compartilhada entre as variáveis canónicas, ou seja, a quantidade de variância explicada pelo par de variáveis canónicas. A primeira função de correlação canónica (Can1) explicou 85,04% do total da variação, enquanto que a segunda função de correlação canónica (Can2) explicou 11,60% da variação total. Como as duas primeiras funções canónicas foram suficientes no presente estudo, pois explicaram 96,64% da variabilidade dos dados, optou-se por uma análise discriminante canónica, por meio da dispersão dos escores via biplot canónico, cujos eixos são as referidas correlações canónicas (Figura 3).
O biplot canónico é projetado pela discriminação entre os grupos de tratamentos, com o intuito de estudar as principais características que foram responsáveis pela diferença entre os tratamentos. (González-Martín et al., 2017). O gráfico do biplot canónico apresentou resultados similares em relação do biplot das componentes principais, sendo que a variação explicada pelas duas componentes principais foi de 85,04% da variação dos dados, as duas primeiras canónicas discriminantes explicaram total de 96,64% da variação, logo, a informação mostrada pela Figura 3 é mais confiável em comparação do biplot de componentes principais. Estes resultados confirmam que a análise discriminante canónica é mais robusta do que ACP por verificar diferença e discriminação entre os tratamentos por intermédio da análise de variância multivariada (MANOVA), pois o biplot da análise discriminante canónica explicou maior variância dos dados.
Pela análise discriminante canónica (Figura 3) pode-se observar a discriminação dos tratamentos, com exceção dos grupos A e C, que apresentaram comportamentos similares entre si, em relação às características. Os ovos dos grupos A e C apresentaram menores valores médios para as características PESO, GEAB, GERE, CLAAB e CASAB, com exceção da variável CLARE. Portanto, aves jovens apresentam maiores valores médios de CLARE (Figura 3).
Os ovos de aves adultas destacaram-se em relação aos outros tratamentos para PESO, CASAB, CLAAB, GEAB e GERE, com exceção da variável CLARE. Por outro lado, comparando aves de diferentes idades e pesos semelhantes (C e D) observa-se que as aves adultas contribuíram menos para Can1. Logo, os ovos desse grupo apresentaram valores intermediários nas características do estudo. A Can1 foi mais eficiente para discriminar os 4 grupos de tratamentos explicando 85% de variação dos dados.
CONCLUSÕES
De maneira geral, os resultados obtidos no presente estudo evidenciaram importância da aplicação de técnicas de análise multivariada, sendo eficiente na avaliação das características dos ovos, pois levam em consideração a correlação existente entre as características dentro dos tratamentos, reduzindo assim o redundância de informação.
As duas primeiras componentes principais (CP) foram responsáveis por 86,01% da variação total. As características PESO, GERE e GEAB contribuíram positivamente para a CP1. A análise discriminante canónica separou os tratamentos considerando-se as características importantes na CP1. Com o auxílio dessas duas técnicas de análise multivariada, os resultados obtidos foram bem similares e satisfatórios. A análise discriminante canónica é mais robusta do que a análise em componentes principais por verificar diferença e discriminação entre grupos de observações de estudo.
Referências bibliográficas
ABPA (2016) - Relatório anual: produção Brasileira. Associação Brasileira de Proteína Animal, São Paulo, p. 136, [cit. 2017.02.27]. <http://abpa-br.com.br/storage/files/versao_final_para_envio_digital_1925a_final_abpa_relatorio_anual_2016_portugues_web1.pdf> [ Links ].
Agudelo-Gómez, D.; Pineda-Sierra, S. & Cerón-Munoz, M.F. (2015) - Genetic evaluation of dual-purpose buffaloes (Bubalus bubalis) in Colombia using principal component analysis. PLoS ONE, vol. 10, n. 7, p. 1-9. https://doi.org/10.1371/journal.pone.0132811 [ Links ]
Applegate, E. (2000) - Introduction: nutritional and functional roles of eggs in the diet. Journal of the American College of Nutrition, vol. 19, n. sup5, p. 495-498. http://dx.doi.org/10.1080/07315724.2000.10718971 [ Links ]
Eckart, C. & Young, G.A. (1939) - A principal axis transformation for non-Hermitian matrices. Bulletin of the American Mathematical Society, vol. 45, n. 2, p. 118-139. [ Links ]
Fraeye, I.; Bruneel, C.; Lemahieu, C.; Buyse, J.; Muylaert, K. & Foubert, I. (2012) - Dietary enrichment of eggs with omega-3 fatty acids: A review. Food Research International, vol. 48, n. 2, p. 961969. https://doi.org/10.1016/j.foodres.2012.03.014 [ Links ]
Fraga, A.B.; Silva, F.L.; Hongyu, K.; Santos, D.D.S.; Murphy, T.W. & Lopes, F.B. (2015) -Multivariate analysis to evaluate genetic groups and production traits of crossbred Holstein × Zebu cows. Tropical Animal Health and Production, vol. 48, n. 3, p. 533-538. http://dx.doi.org/10.1007/s11250-015-0985-2 [ Links ]
Gabriel, K.R. (1971) - The biplot graphics display of matrices with applications to principal component analysis. Biometrika, vol. 58, n. 3, p. 453-467. http://dx.doi.org/10.1093/biomet/58.3.453 [ Links ]
Garcia, E.R.M.; Orlandi, C.C.B.; Oliveira, C.A.L.; Cruz, F.K.; Santos, T.M.B. & Otutumi, L.K. (2010) - Quality of eggs of lay hens stored at different temperature and storage conditions. Revista Brasileira de Saúde e Produção Animal, vol. 11, n. 2, p. 505518. [ Links ]
González-Martín, M.I.; Palacio, V.V.; Revilla, I.; Vivar-Quintana, A.M. & Hernández-Hierro, J.M. (2017) - Discrimination between cheeses made from cows, ewes and goats milk from unsaturated fatty acids and use of the canonical biplot method. Journal of Food Composition and Analysis, vol. 56, p. 3440. https://doi.org/10.1016/j.jfca.2016.12.005 [ Links ]
Hair, J.F.; Black, W.C.; Babin, B.J. & Anderson, R.E. (2009) - Multivariate Data Analysis. Prentice Hall, Upper Saddle River, NJ. [ Links ]
Hartmann, C.; Johansson, K.; Strandberg, E. & Rydhmer, L. (2003) - Genetic correlations between the maternal genetic effect on chick weight and the direct genetic effects on egg composition traits in a White Leghorn line. Poultry Science, vol. 82, n. 1, p. 18. [ Links ]
Hongyu, K.; Sandanielo, V.L.M. & Junior, G.J.O. (2016) - Análise de Componentes Principais: resumo teórico, aplicação e interpretação. E&S - Engineering and Science, vol. 5, p. 1-8. [ Links ]
Johnson, R.A. & Wichern, D.W. (2007) - Applied multivariate statistical analysis. 6th ed Upper Saddle River, NJ: Pearson Prentice Hall, 773 p. [ Links ]
Kaiser, H.F. (1958) - The varimax criterion for analytic rotation in factor analysis. Psychometrika, vol. 23, n. 3, p. 187-200. https://doi.org/10.1007/BF02289233 [ Links ]
Lima, A.A.; Vieira, S.L. & Corteling, J. (2001) - Eclodibilidade de ovos oriundos de matrizes com extremos em idade e de pesos diferentes. Revista Brasileira de Ciência Avícola, vol. 3, n. 3, p. 86-94. [ Links ]
Mendes, L.J.; Moura, M.M.A.; Maciel, M.P.; Reis, S.T.; Silva, V.G.; Silva, D.B.; Moura, S.; Meneses, I.M.A. & Said, J.L.S. (2016) - Perfil do consumidor de ovos e carne de frango do município de Janaúba-MG. ARS Veterinaria, vol. 32, n. 1, p. 81-87. http://dx.doi.org/10.15361/2175-0106.2016v32n1p%25p [ Links ]
Meira, C.T.; Pereira, I.G.; Farah, M.M.; Pires, A.V.; Garcia, D.A. & Cruz, V.A.R. (2013) - Seleção de características morfofuncionais de cavalos da raça Mangalarga Marchador por meio da análise de componentes principais. Arquivo Brasileiro de Veterinária e Zootecnia, MG, vol. 65, n. 6, p. 1843-1848. http://dx.doi.org/10.1590/S0102-09352013000600036 [ Links ]
Montgomery, D.C. & Peck, E.A. (1992) - Introduction to Linear Regression Analysis. 2 Ed, John Wiley, New York. [ Links ]
Onbasilar, E.E.; Erdem, E.; Poyraz, O. & Yalcin, S. (2011) - Effects of hen production cycle and egg weight on egg quality and composition, hatchability, duckling quality, and first-week body weight in Pekin ducks. Poultry Science, vol. 90, n. 11, p. 26422647. https://doi.org/10.3382/ps.2011-01359 [ Links ]
Pascoal, L.A.F.; Junior, F.A.B.; Santos, W.S.; Silva, R.S.; Dourado, L.R.B. & Bezerra, A.P.A. (2008) - Qualidade de ovos comercializados em diferentes estabelecimentos na cidade de Imperatriz-MA. Revista Brasileira de Saúde e Produção Animal, vol. 9, n. 1, p. 150-157. [ Links ]
R development core team (2017) - R: a language and environment for statistical computing. R Foundation for Statistical Computing, Vienna. [ Links ]
Rencher, A.C. (2002) - Methods of Multivariate Analysis. Wiley-Inter-science, New York, NY. [ Links ]
Samman, S.; Kung, F.P.; Carter, L.M.; Foster, M.J.; Ahmad, Z.I.; Phuyal, J.L. & Petocz, P. (2009) - Fatty acid composition of certified organic, conventional and omega-3 eggs. Food Chemistry, vol. 116, n. 4, p. 911914. https://doi.org/10.1016/j.foodchem.2009.03.046 [ Links ]
Santos Filho & Schlindwein, J.I. (2007) - Fatores determinantes do consumo de ovos no Brasil. In: Congresso da sober, 45. 2007, Londrina. [cit. 2009.03.10]. <www.sober.org.br/palestra/6/727.pdf> [ Links ].
Silversides, F.G. & Budgell, K. (2004) - The relationships among measures of egg albumen height, pH, and whipping volume. Poultry Science, vol. 83, n. 10, p. 16191623. http://dx.doi.org/10.1093/ps/83.10.1619 [ Links ]
Traldi, A.B. (2011) - Universidade de São Paulo Escola Superior de Agricultura Luiz de Queiroz Influência da idade da matriz e do peso do ovo incubado nas respostas de pintos de corte alimentados com rações pré-iniciais farelada , triturada, Piracicaba, SP. [ Links ]
Venturini, G.C.; Savegnago, R.P.; Nunes, B.N.; Ledur, M.C.; Schmidt, G.S.; El Faro, L. & Munari, D.P. (2013) - Genetic parameters and principal component analysis for egg production from White Leghorn hens. Poultry Science, vol. 92, n. 9, p. 22832289. https://doi.org/10.3382/ps.2013-03123 [ Links ]
Vieira, S.L. & Moran, E.T. (1999) - Broiler yields using chicks from extremes in hatching egg weight of diverse strains. The Journal of Applied Poultry Research, vol. 7, n. 4, p. 339-346. https://doi.org/10.1093/japr/7.4.392 [ Links ]
Agradecimentos
Projeto Financiado pela Fundação de Amparo à Pesquisa do Estado de São Paulo/FAPESP.
Recebido/received: 2017.06.10
Recebido em versão revista/received in revised form: 2017.11.08
Aceite/accepted: 2017.11.13












