SciELO - Scientific Electronic Library Online

 
vol.41 número2Tensão de água no solo e qualidade do grão de arrozVariedades de mandioca sob concentrações de salinidade na água de irrigação, em cultivo protegido índice de autoresíndice de assuntosPesquisa de artigos
Home Pagelista alfabética de periódicos  

Serviços Personalizados

Journal

Artigo

Indicadores

Links relacionados

  • Não possue artigos similaresSimilares em SciELO

Compartilhar


Revista de Ciências Agrárias

versão impressa ISSN 0871-018X

Rev. de Ciências Agrárias vol.41 no.2 Lisboa jun. 2018

https://doi.org/10.19084/RCA17320 

ARTIGO

Taxa de acúmulo de matéria seca e duração do período de enchimento de grãos em arroz irrigado

Grain dry matter accumulation and grain filling period in irrigated rice

Alencar Junior Zanon1*, Vanessa Fontana3, Giovana Ghisleni Ribas1, Bruna San Martin Rolim Ribeiro1, André da Rosa Ulguim2, Felipe Selau Carlos3 e Cláudio Ogoshi4

1 Universidade Federal de Santa Maria, Departamento de Fitotecnia, CEP 97105-900, Santa Maria, Rio Grande do Sul, Brasil

2 Universidade Federal de Santa Maria, Departamento de Defesa Fitossaanitária, CEP 97105-900, Santa Maria, Rio Grande do Sul, Brasil

3 Instituto Rio Grandense do Arroz, Cachoeirinha, Rio Grande do Sul

4 Empresa de Pesquisa Agropecuária e Extensão Rural de Santa Catarina, Santa Catarina, Brasil

(*E-mail: alencarzanon@hotmail.com)


RESUMO

O objetivo deste trabalho foi determinar a taxa de acúmulo de matéria seca e a duração do período de enchimento de grãos de cultivares de arroz irrigado com diferentes grupos de maturação e épocas de semeadura. Para a determinação da taxa e duração do período de enchimento de grãos, a partir do florescimento foram realizadas amostragens por cultivar. Foi ajustada a relação entre dias após florescimento e peso de grão. Os resultados indicaram que a antecipação da época de semeadura promoveu um atraso no período de ocorrência da maior taxa de enchimento de grãos durante o ciclo de desenvolvimento. As cultivares de ciclo tardio tiveram uma maior duração do período de enchimento de grãos (31 dias), em relação as cultivares de ciclo precoce e médio. As cultivares com maiores taxas de enchimento de grãos apresentaram maior peso em R9, menor número de grãos por panícula e menor duração do período de enchimento de grãos. Houve variação na taxa de enchimento de grãos e na duração do período de enchimento de grãos de acordo com o grupo de maturação, em que as cultivares de ciclo tardio apresentaram menor taxa e maior duração no período de enchimento de grão.

Palavras-chave: Oryza sativa L., época de semeadura, taxa de enchimento de grãos


ABSTRACT

The objective of this work was to determine the rate of accumulation of dry matter and the duration of the grain filling period of irrigated rice cultivars with different maturation groups and sowing dates. To determinate the rate and duration of the grain filling period, samples per cultivar were taken. The relation was adjusted between days after flowering and grain weight. The results indicated that the anticipation of the sowing date promoted a delay in the period of occurrence of the highest rate of grain filling. The late cycle cultivars had a longer duration of the grain filling period (31 days), in relation to the cultivars of early and medium cycle. Then, the cultivars with higher grain filling rates showed higher grain weight in R9, lower number of grain per panicle and shorter grain filling period. Thus, it was possible to conclude that there was a variation in the grain filling rate and the grain filling period of irrigated rice cultivars with different maturation groups, which in the late cycle cultivars had a lower rate and a longer duration in the grain filling period. Then, it was identified that the grain weight is associated with the grain filling rate.

Keywords: Oryza sativa, sowing date, grain filling rate


INTRODUÇÃO

A área cultivada com arroz no mundo é de aproximadamente 160 milhões de hectares, com uma produção de 478 milhões de toneladas (Mt) (USDA, 2017). O Brasil é o maior produtor fora do continente asiático, com uma produção anual de aproximadamente 12 Mt de grãos (USDA, 2017). O Estado do Rio Grande do Sul (RS) é o maior produtor nacional, com mais de 70% da produção de grãos, onde são cultivados anualmente em torno de 1,1 milhão de hectares (CONAB, 2017). A produtividade de arroz quadruplicou desde o começo do cultivo no RS em 1906 (1,8 kg ha-1) até os últimos cinco anos agrícolas (7,5 kg ha-1) (IRGA, 2017). Os fatores que permitiram o aumento da produtividade foram as melhorias em práticas de manejo, como, semeadura na época preferencial, qualidade na irrigação, aumento nos níveis de fertilização, uso de semente certificada e utilização de herbicidas seletivos (Menezes et al., 2013). Associado a estes fatores de manejo, o melhoramento genético também contribuiu com o aumento da produtividade a partir da introdução de cultivares “tipo an㔠e através da seleção de cultivares fisiologicamente mais eficientes e com tolerância e/ou resistência aos principais estresses bióticos e abióticos (Jocković et al., 2014).

Os programas de melhoramento genético têm como principal objetivo desenvolver cultivares com altas produtividades, por exemplo, o programa de melhoramento genético de arroz irrigado do Instituto Rio Grandense do Arroz (IRGA) que lançou no final da década de 1970 a cultivar BR IRGA 409 com potencial produtivo de 9.000 kg ha-1 e em 2013 lançou a cultivar IRGA 424 RI, com o potencial produtivo de 14.000 kg ha-1, tornando o Estado do RS o maior produtor nacional (IRGA, 2017). Em virtude da cultivar IRGA 424 RI ter alcançado um potencial de produtividade semelhante a dos híbridos de arroz no Brasil, desenvolver novas cultivares convencionais com maior potencial produtivo é um grande desafio. Para tanto, estudos básicos de ecofisiologia visando identificar características que definem o potencial produtivo em cultivares de arroz é de extrema importância, uma vez que essas informações poderão servir de base para a escolha de progenitores para linhagens e cultivares futuras.

Vários estudos apontam para a viabilidade de identificar plantas fisiologicamente mais eficientes através da determinação da taxa e duração do período de enchimento de grãos (Jones et al., 1979; Yang et al., 2002). O processo de enchimento de grãos é um fator determinante na produtividade e qualidade de grãos, sendo influenciado pela genética e pelo ambiente (Yang et al., 2008). Em geral, a variabilidade genética influencia tanto na taxa de enchimento de grãos quanto na duração desse processo (Jocković et al., 2014). A taxa de acúmulo de matéria seca nos grãos é predominantemente determinada por fatores genéticos enquanto que a duração do período de enchimento de grãos é mais influenciada por fatores ambientais (Santos et al., 2017). A duração do enchimento de grãos em arroz pode ser dividida em três fases: 1- Fase “lag”: cinco dias após a antese; 2 – Fase de crescimento linear: cinco a 20 dias após a antese; e 3 – Fase final: 20 dias após a antese até a maturidade completa dos grãos na panícula (Shi et al., 2016). Em virtude dessa curva, pode-se considerar que o período efetivo de enchimento de grãos ocorre quando o crescimento de grãos é linear, ao invés do intervalo entre a antese até a maturidade completa dos grãos na panícula (Yoshida, 1981).

Além disso, a duração e a taxa do enchimento de grãos também podem ser relacionadas com o potencial de produtividade em culturas agrícolas (Ghassemi-Golezani & Tajbakhsh, 2012; Jocković et al., 2014; Xie et al., 2015; Espe et al., 2016; Shi et al., 2016). A taxa de acúmulo de matéria seca foi mais importante do que a duração do enchimento de grãos no aumento da produtividade nas culturas da soja (Costa et al., 1991), trigo (Aude et al., 1994) e triticale (Aude et al., 1996). Já Egli (2004), aponta que o fator mais promissor para o aumento do potencial de produtividade envolve o prolongamento do período de enchimento de grãos a uma determinada taxa de acúmulo de matéria seca. Porém, estudos realizados com trigo e sorgo não verificaram uma relação entre a duração do enchimento de grãos com a produtividade (Talbert et al., 2001).

Nesse sentido, visando preencher a lacuna de conhecimento na cultura do arroz irrigado, o objetivo deste trabalho foi determinar a taxa de acúmulo de matéria seca e a duração do período de enchimento de grãos de cultivares de arroz irrigado com diferentes grupos de maturação e em épocas de semeadura.

MATERIAL E MÉTODOS

O experimento de campo foi conduzido na Estação Experimental do Arroz, do Instituto Rio Grandense do Arroz (EEA/IRGA), em Cachoeirinha (29° 57’S, 51° 5’ W, e altitude 17 m), Rio Grande do Sul (RS), Brasil, durante o ano agrícola 2015/2016. O clima deste local, pela classificação de Köppen, é Cfa, caracterizado como subtropical úmido com verões quentes e sem estação seca definida (Kuinchtner & Buriol, 2001). O solo da área experimental é um Gleissolo Háplico Distrófico típico, sendo típico de terras baixas no RS, que possuem drenagem deficiente e são utilizados para o cultivo de arroz irrigado (Streck et al., 2008). As temperaturas mínima e máxima diárias do ar e a radiação solar foram coletadas em uma estação meteorológica automática da EEA/IRGA, localizada, aproximadamente 200 metros da área experimental.

As cultivares de arroz foram semeadas em 01/10/2015, 09/11/2015 e 03/12/2015. Essas datas representam a faixa que a maioria das lavouras de arroz irrigado são semeadas no Estado do RS. A adubação de base foi realizada de acordo com análise de solo, onde foram aplicados 16 kg ha-1 de nitrogênio, 68 kg ha-1de P2O5 e 108 kg ha-1 de K2O. Em cobertura foram realizadas três aplicações, totalizando 180 kg ha-1 de nitrogênio, sendo 60% no início do perfilhamento (V4), 20% no estágio V6 (seis folhas verdadeiras) e 20% em R1 (diferenciação do primórdio da panícula). O tratamento das sementes com fungicida e inseticida, e o controle de plantas daninhas, pragas e doenças foram realizados de forma preventiva (SOSBAI, 2016). A densidade de semeadura foi de 100 kg ha-1 e o espaçamento entre linhas de 0,17 m. O experimento foi conduzido em delineamento de blocos casualizados, com quatro repetições, cujas unidades experimentais apresentaram dimensões de 20,0 m x 13,0 m. As cinco cultivares de arroz foram selecionadas por apresentarem diferentes grupos de maturação e características agronômicas (Quadro 1). Além disso, essas cultivares representam mais de 50% da área cultivada com arroz irrigado no Brasil (SOSBAI, 2016).

Para fins de acompanhamento do desenvolvimento das cultivares foram avaliadas seis plantas por parcela e foram identificados os estádios emergência, R4 e R9 de acordo com a escala de Counce et al. (2000). A data de emergência foi considerada quando 50% das plantas estavam visíveis na superfície do solo. Para identificação do estádio de diferenciação da panícula (R1), foram amostradas 10 plantas aleatoriamente por parcela a cada dois dias, até a data em que 50% das plantas amostradas estavam no referido estádio de desenvolvimento.

Para a determinação da taxa e duração do período de enchimento de grãos, a partir do estádio R4 (antese ou florescimento) foram realizadas amostragens de 21 panículas por cultivar, com intervalo de cinco dias, totalizando oito datas de amostragens. Foram coletadas panículas do extrato superior, médio e inferior do dossel, sendo então determinado o número de grãos por panícula. Os grãos foram secos em estufa a 65°C por cinco dias, e após foi determinado a massa seca de grãos. Na última amostragem foi realizada a contagem de grãos cheios e chochos de cada panícula, utilizados para o cálculo de esterilidade de espiguetas.

A temperatura média (Tmed) diária do ar foi calculada pela média aritmética das temperaturas mínima e máxima. A soma térmica diária (STd, ºC dia) foi calculada pelo método (Arnold, 1960):

STd = (Tmed - Tb) × 1dia                                                                            (1)

quando: Tb ≤ T med ≤ Tot

STd = [(Tot -Tb) (Tmax - Tmed) / (T max - T ot)] 1 dia                                                (2)

quando: Tot < Tmed ≤ Tmax,

Se Tmed < Tb, então Tmed = Tb e

Se Tmed > Tmax , então Tmed = Tmax

em que Tb é a temperatura base, Tot é a temperatura ótima e Tmax é a temperatura máxima para o desenvolvimento do arroz. Foi utilizado Tb = 11°C, Topt= 30°C e Tmax = 40°C para o cálculo da soma térmica da fase vegetativa (Emergência-R1), Tb = 15°C, Topt = 25°C e Tmax = 35°C para o cálculo da soma térmica da fase reprodutiva (R1-R4) e Tb = 15°C, Topt = 23°C e Tmax = 35°C para o cálculo da soma térmica da fase de enchimento de grão (R4-R9) (Lago et al., 2008).

A soma térmica diária foi acumulada a partir da emergência, resultando na soma térmica acumulada (STa), ou seja:

                                                                                                                   (3)

Foi determinada a duração, em dias e ºC dia, das fases emergência a diferenciação da panícula (EM-R1), diferenciação da panícula à antese (R1-R4), da antese à maturidade completa dos grãos na panícula (R4-R9) e do ciclo total (EM-R9). Para cada cultivar, em cada data de semeadura, foi ajustada a relação entre dias após a antese e peso total de um grão, a partir da regressão não linear descrita pela equação sigmóide, do tipo logística:

                                                                                                          (4)

em que P é o peso médio de grãos (mg), t é o tempo em dias após a antese, e y0, a, b, x0 são coeficientes determinados pela regressão. A duração do período de enchimento de grãos foi obtida quando o P estava entre 5% (t1) até 95% (t2) do peso final de grão. A subtração do peso médio de grãos (P) pelo tempo em dias após a antese (t), fornece a taxa de acúmulo de matéria seca no grão entre o t1 e t2, a partir disso, foi calculada a taxa máxima de enchimento de grão. Similarmente, o período utilizado para calcular a soma térmica acumulada e a radiação solar acumulada no efetivo período de enchimento de grão foi entre o t1 e t2 estimado pela equação acima para cada cultivar e data de semeadura.

A produtividade dos grãos foi calculada através da colheita de uma área de 5 m2 em cada parcela, corrigida umidade para 13% e convertida em kg ha-1. A análise estatística foi realizada para a fase de desenvolvimento correspondente a duração do enchimento de grão (R4-R9) para cada data de semeadura (01/10/2015, 09/11/2015 e 03/12/2015) e para as cinco cultivares. As médias dessas variáveis foram distinguidas pelo teste de Tukey (p<0,05). Foram realizadas análises de correlação simples para investigar as relações entre a duração do enchimento do grão, a taxa de enchimento do grão, o peso final do grão, número de grãos por panícula, produtividade de grãos, temperatura máxima, média e mínima do ar e radiação solar.

RESULTADOS E DISCUSSÃO

Os dados de temperatura máxima, mínima e radiação solar no período de condução dos experimentos estão descritos na Figura 1. O período de florescimento dos cinco genótipos variou de 71-103 dias após a emergência, como representado pelas setas. A radiação solar apresentou uma variação significativa durante o período de enchimento de grãos nas cinco cultivares em cada época de semeadura.

A diminuição do ciclo de desenvolvimento deve-se principalmente à temperatura do ar, que aumentou de outubro para dezembro, e promoveu a redução do período vegetativo de 8 a 16 dias entre as cultivares, nas semeaduras de novembro e dezembro em relação a de outubro (Figura 2a). A duração da fase vegetativa (EM-R1) foi a que mais variou em relação ao ciclo total, entre as épocas de semeadura, principalmente nas cultivares BRS Catiana e IRGA 424 RI (Figura 2a). Carli et al. (2016) verificaram uma redução similar (9 a 13 dias) na duração da fase vegetativa em arroz irrigado com o atraso da época de semeadura de outubro para dezembro.

Foi identificado que a duração média do período antese - maturidade completa dos grãos na panícula (R4-R9) foi de 31 dias e a taxa média de acúmulo de matéria seca no grão foi de 0,63 mg grão-1 dia-1. O período da antese até a maturidade completa dos grãos na panícula (R4-R9) variou de 24 dias na cultivar BRS Pampa até 38 dias na cultivar BRS Catiana. Já em graus-dia acumulados, a cultivar BRS Pampa apresentou maior (136 oC dia acumulados) e a BRS Catiana menor duração (133 oC dia acumulados) (Figura 2, Quadro 1). Esses valores estão próximos do reportado para híbridos de arroz (ciclo precoce) no Rio Grande do Sul, que foi de 128 ºC dia na fase R4-R9 (Ribas et al., 2017). No entanto, algumas cultivares, mostraram diferenças na duração do período R4-R9 entre as épocas de semeadura, como Puitá INTA CL (diferença de 39 oC dia acumulados) e BRS Pampa ( diferença de 54 oC dia acumulados).

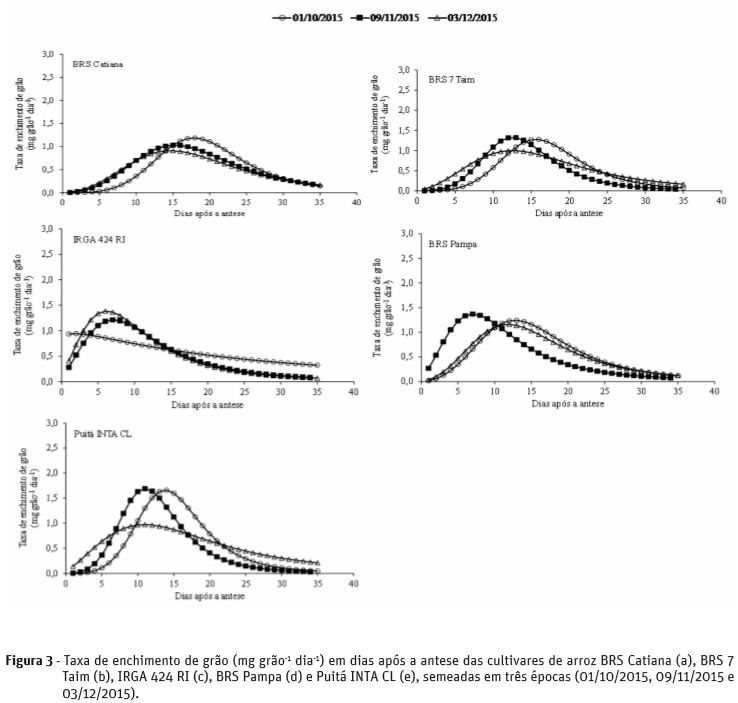
Com relação a taxa máxima de acúmulo de matéria seca, foi observado que a cultivar Puitá INTA CL apresentou o maior valor absoluto (1,7 mg grão-1 dia-1) para a semeadura de novembro, enquanto que as cultivares BRS Catiana e IRGA 424 RI apresentaram os menores valores (0,9 mg grão-1 dia-1) para a data de semeadura dezembro e outubro, respectivamente (Figura 3, Quadro 1). Isso indica que (com exceção da cultivar IRGA 424 RI semeada em outubro)  a antecipação da época de semeadura promoveu um atraso no período de ocorrência da maior taxa de enchimento de grãos (Figura 3), o que pode ser atribuído a menor temperatura média do ar (Figura 1) que as plantas foram expostas na primeira época de semeadura, que afeta diretamente a atividade das enzimas que participam da deposição de amidos no grão (Nakamura et al., 1989).

A taxa de enchimento de grãos média foi de 0,7 mg grão -1dia-1 e o peso médio de grão foi de 23,0 mg para as cultivares de ciclo precoce, 0,7 mg grão-1 dia-1 e o peso médio de 22,3 mg para as cultivares de ciclo médio, e 0,6 mg grão-1 dia-1 e o peso médio de 21,3 mg para cultivares de ciclo tardio, respectivamente. Entretanto, as cultivares de ciclo tardio apresentaram maior duração do período de enchimento de grãos (32 dias) do que as cultivares de ciclo precoce (29 dias) e médio (30 dias).

Entre as cultivares, a cultivar BRS 7 Taim foi  a que apresentou o menor peso médio de grãos em R9 (19,6 mg) e a cultivar BRS Pampa o maior (24,3 mg), o que indicou que uma alta taxa máxima de acúmulo de matéria seca (acima de 1), não corresponde, necessariamente, a um maior peso de grãos, pois uma taxa alta em um curto período de enchimento de grãos (menor que 26 dias) pode resultar em um baixo peso médio dos grãos em R9, como foi observado na cultivar de ciclo tardio BRS 7 Taim semeada em novembro (Quadro 1) e em estudos realizados com a cultura do trigo (Aude et al., 1994).

O peso médio de grãos em R9 foi o parâmetro que mais se correlacionou com a produtividade, por exemplo, a cultivar BRS Pampa semeada em novembro (peso médio de grão (23,4 mg) e produtividade (13,2 Mg ha-1). As cultivares com maiores taxas de enchimento de grãos (Figura 3) apresentaram maior peso final de grãos em R9, menor número de grãos por panícula e menor duração do período de enchimento de grãos, como pode ser observado na cultivar IRGA 424 RI (Figura 5). Espe et al. (2016) na Ásia e nos EUA, também verificaram que a taxa de enchimento de grãos em arroz irrigado tem relação negativa com a duração de enchimento de grãos, uma vez que a duração é fortemente influenciada pela temperatura do ar, pois o rápido acúmulo térmico durante o enchimento dos grãos diminui a duração e aumenta a taxa de enchimento de grãos (Jocković et al., 2014).

Nesse sentido, é possível inferir que embora o arroz apresente mecanismo fotossintético do tipo C3, a elevação da temperatura favorece a síntese e transporte de fotoassimilados para os grãos e reduz o período de enchimento de grãos. Essa característica pode ser baseada no sistema de cultivo de arroz, irrigado por inundação, que favorece a turgescência da planta mesmo em condições de temperaturas abaixo do limite superior, onde ainda há crescimento e acúmulo térmico sem impactar nas relações fotossintéticas (Taiz e Zieger, 2013).

Na Figura 4, estão representados o período médio de enchimento de grãos estimado pela equação de regressão não linear, do tipo logística, das cinco cultivares de arroz semeadas em três épocas de semeadura. O número de dias estimado da antese até a maturidade fisiológica foi em média 35 dias para todas as cultivares, e o peso médio variou conforme a cultivar, sendo de 23 e 24 mg para as cultivares Puitá INTA CL e BRS Pampa, respectivamente, e 21 mg para as cultivares IRGA 424 RI, Catiana, e BRS 7 Taim. A partir destes resultados foi possível identificar que um longo período de enchimento de grãos, não resultou em um elevado peso médio de grão (22,3 mg), o que justifica-se pela baixa taxa de acúmulo de matéria seca (0,6 mg grão-1 dia-1), se comparado com a cultura do trigo (0,9 mg grão-1 dia-1) (Ghassemi-Golezani & Tajbakhsh, 2012).

Desta forma, a equação de regressão não linear pode ser utilizada para predizer a maturidade fisiológica e o peso médio de grãos em um determinado instante do tempo (dias) até a maturidade completa dos grãos na panícula para as cultivares BRS Catiana, BRS 7 Taim, IRGA 424 RI, BRS Pampa e Puitá INTA CL 5 (Figura 4). Com isso, foi identificado que as cinco cultivares avaliadas neste trabalho mostraram diferentes respostas quanto às caracteristicas de taxa de acúmulo de materia seca e duração do período de enchimento de grãos.

Na Figura 5, pode ser observado que o número de grãos panícula-1, peso médio de grão em R9 e duração do enchimento de grão foram altamente correlacionados com a taxa média de enchimento de grão. Estes resultados estão de acordo com os observados por Yang et al. (2008), indicando que à medida que aumenta a taxa média de enchimento de grão, aumenta o peso médio de grãos, diminui a duração do enchimento de grão e o número de grão por panícula. Além disso, o peso médio de grão também apresentou correlação com a produtividade de grãos (Figura 5), confirmando o resultado observado por Jones et al. (1979). Assim, verifica-se que a taxa média de enchimento de grãos foi mais importante do que a duração do enchimento de grãos.

O conhecimento e entendimento das relações da taxa e duração do período de enchimento de grãos na cultura do arroz é importante pois permite direcionar os principais fatores que interferem na massa final dos grãos, e consequentemente, na produtividade da cultura. Nesse sentido, deve-se buscar associar estratégias de manejo como a época de semeadura e a escolha da cultivar para permitir que as disponibilidades climáticas sejam melhor utilizadas pelas plantas. Assim, tendo-se em vista os aspectos ambientais que favorecem aquelas etapas, pode-se buscar por meio do melhoramento genético características que interfiram na redução/aumento do período R4-R9 bem como na massa dos grãos, que estão intimamente relacionados à maior taxa de enchimento de grãos (Figura 5).

Esse trabalho contribuiu para elucidar algumas lacunas sobre a taxa e duração do enchimento de grãos em cultivares de arroz irrigado de diferentes ciclos e épocas de semeadura no Sul do Brasil. Dessa forma, trabalhos futuros podem ser importantes visando aprofundar o conhecimento das relações da taxa e duração de enchimento de grãos arroz com a qualidade dos mesmos, visto ser um dos principais aspectos considerados no momento de comercialização de arroz com as indústrias beneficiadoras.

CONCLUSÃO

Existe variação na taxa de enchimento de grãos e na duração do período de enchimento de grãos de cultivares de arroz irrigado nos diferentes grupos de maturação e épocas de semeadura.

As cultivares tardias têm a menor taxa de enchimento de grãos (0,6 mg grão-1 dia-1) e a maior duração do período de enchimento de grãos (31 dias), em relação as cultivares de ciclo precoce (Puitá INTA CL) e médio (BRS Pampa e IRGA 424 RI).

 

Referências bibliográficas

Arnold, C.Y. (1960) - Maximum-minimum temperatures as a basis for computing heat units. Proceedings of the American Society for Horticultural Sciences, vol. 76, p. 682-692.         [ Links ]

Aude, M.I. da S.; Marchesan, E. e Mairesse, L.A. da S. (1994) - Taxa de acúmulo de matéria seca e duração do período de enchimento de grão de trigo. Pesquisa Agropecuária Brasileira, vol. 29, n. 10, p. 1533-1539.         [ Links ]

Aude, M.I., da S.; Bisognin, D.A. e Zanini, W. (1996) - Acúmulo de matéria seca e duração do período de enchimento de grãos do triticale. Ciência Rural, vol. 26, n. 1, p. 23-27. http://dx.doi.org/10.1590/S0103-84781996000100005        [ Links ]

Carli, C. de; Steinmetz, S.; Streck, N.A.; Marchesan, E. e Silva, M.R. da (2016) - Número de dias e de graus-dia entre a iniciação e a diferenciação da panícula em cultivares de arroz irrigado. Ciência Rural, vol. 46, p. 428-433. http://dx.doi.org/10.1590/0103-8478cr20141057        [ Links ]

CONAB (2017) - Séries históricas. Companhia Nacional de Abastecimento.. <http://www.conab.gov.br/conteudos.php?a=1252&         [ Links ]>

Costa, J.A.; Teixeira, M.C.C. e Marchesan, E. (1991) - Taxa e duração do acúmulo de matéria seca nos grãos de soja e sua relação com o rendimento. Pesquisa Agropecuária Brasileira, vol. 26, p. 1577-1582.         [ Links ]

Counce, P.; Keisling, T.C. e Mitchell, A. J. (2000) - A uniform, objective, and adaptative system for expressing rice development. Crop Science, vol. 40, n. 2, p. 436-443. http://dx.doi.org/10.2135/cropsci2000.402436x        [ Links ]

Egli, D.I. (2004) - Seed Fill Duration and Yield of Grain Crops. Advances in Agronomy, vol. 83, p. 283-295. http://dx.doi.org/10.1016/S0065-2113(04)83005-0        [ Links ]

Espe, M.B.; Cassman, K.G.; Yang, H., Guilpart, N.; Grassini, P.; Van Wart, J.; McKenzie, K.; Anders, M.; Beighley, D.; Harrell, D.; Linscombe, S.; Mutters, R.; Wilson, L.T. e Linquist, B.A. (2016) - Yield gap analysis of  US rice production systems shows opportunities for improvement. Field Crops Research, vol. 196, p. 276-283. https://doi.org/10.1016/j.fcr.2016.07.011        [ Links ]

Ghassemi-Golezani, K. e Tajbakhsh, Z. (2012) - Relationship of plant biomass and grain filling with grain yield of maize cultivars. International Journal of Agriculture and Crop Sciences, vol. 4, p. 1536-1539.         [ Links ]

IRGA (2017) - Dados de safras. Instituto Rio Grandense do Arroz. [cit. 2017-04-27]. <http://www.irga.rs.gov.br/conteudo/4215/safras>         [ Links ]

Jocković, B.; Mladenov, N.; Hristov, N.; Aćin, V. e Djalović, I. (2014) - Interrelationship of grain filling rate and other traits that affect the yield of wheat (Triticum aestivum L.). Romanian Agricultural Research, vol. 31, p. 81-87.         [ Links ]

Jones, D.B.; Peterson, M.L. e Geng, S. (1979) - Association between grain filling rate and duration and yield components in rice. Crop Science. vol. 19, n. 5, p. 641–644. http://dx.doi.org/10.2135/cropsci1979.0011183X001900050023x        [ Links ]

Kuinchtner, A. e Buriol, G.A. (2001) - Clima do Estado do Rio Grande do Sul segundo a classificação climática de Köppen e Thornthwaite. Disciplinarum Scientia, vol. 2, n. 1, p. 171-182.         [ Links ]

Lago, I.; Streck, A.; Alberto, C.M.; Oliveira, F.B. e Paula, G.M. de (2008) - Impact of increasing mean air temperature on the development of rice and red Rice. Pesquisa Agropecuária Brasileira, v. 43, n. 11, p. 1441-1448. http://dx.doi.org/10.1590/S0100-204X2008001100001        [ Links ]

Menezes, V.G.; Anghinoni, I.; Silva, P.R.F. da; Macedo, V.R.M.;Petry, C.; Grohs, D.S.; Freitas, T.F.S. de & Valente, L.A.L. (2013) - Projeto 10 - Estratégias de manejo para aumento da produtividade e da sustentabilidade da lavoura de arroz irrigado do RS: avanços e novos desafios. Instituto Rio Grandense do Arroz (IRGA), Cachoeirinha. 104 p.         [ Links ]

Nakamura, Y.; Yuki, K. e Park, S.Y. (1989) - Carbohydrate metabolism in the developing endosperm of rice grains. Plant and Cell Physiology, vol. 30, n. 6, p. 833–839. https://doi.org/10.1093/oxfordjournals.pcp.a077813        [ Links ]

Ribas, G.G.; Streck, N.A.; Duarte Junior, A.J.; Nascimento, M.F.; Zanon, A.J. e Silva, M.R. (2017) - Number of leaves and phenology of rice hybrids simulated by the SimulArroz model. Revista Brasileira De Engenharia Agrícola e Ambiental, vol. 21, n. 4, p. 221-226. http://dx.doi.org/10.1590/1807-1929/agriambi.v21n4p221-226        [ Links ]

Santos, M.P. dos; Zanon, A.J.; Vianna Cuadra, S.; Steinmetz, S.; de Castro, J.R. e Heinemann, A.B. (2017) -Yield and morphophysiological indices of irrigated rice genotypes in contrasting ecosystems. Pesquisa Agropecuária Tropical, vol. 47, n. 3, p. 253-264. http://dx.doi.org/10.1590/1983-40632016v4745955        [ Links ]

Shi, P.; Zhu, Y.; Tang, L.; Chen, J.; Sun, T.; Cao, W. e Tian, Y. (2016) - Differential effects of temperature and duration of heat stress during anthesis and grain filling stages in rice. Environmental and Experimental Botany, vol. 132, p. 28-41. https://doi.org/10.1016/j.envexpbot.2016.08.006        [ Links ]

SOSBAI (2016) - Arroz irrigado: Recomendações técnicas da pesquisa para o sul do Brasil. Sociedade Sul Brasileira de Arroz Irrigado. 189 p. <http://www.sosbai.com.br/docs/Boletim_RT_2016.pdf>         [ Links ]

Streck, E.V.; Kämpf, N.; Dalmolin, R.S.D.; Klamt, E.; Nascimento, P.C. do; Schneider, P.; Giasson, E. e Pinto, L.F.S. (2008) - Solos do Rio Grande do Sul. 2.ed. rev. e ampl. Emater/RS, 222 p.         [ Links ]

Taiz, L.; Zeiger, E. e Maffei, M.(2013) - Fisiologia vegetale. Piccin, 609 p.         [ Links ]

Talbert, L.E.; Lanning, S.P.; Murphy, R.L. e Martin, J.M. (2001) - Grain filling duration in twelve hard red spring wheat crosses: genetic variation and association with other agronomic traits. Crop Science. vol. 41, n. 5, p. 1390–1395. http://dx.doi.org/10.2135/cropsci2001.4151390x        [ Links ]

USDA (2017) - Production, Supply and Distribution Online: Custom Query. Foreign Agricultural Service. United States Department of Agriculture [cit. 2017-04-17]. <http://www.fas.usda.gov/psdonline/psdQuery.aspx>         [ Links ]

Xie, Q.; Mayes, S. e Sparkes, D. L. (2015) - Carpel size, grain filling, and morphology determine individual grain weight in wheat. Journal of Experimental Botany, vol. 66, n. 21, p. 6715-6730. https://doi.org/10.1093/jxb/erv378        [ Links ]

Yang, J.; Peng, S.; Zhang, Z.; Wang, Z.; Visperas, R.M. e Zhu, Q. (2002) - Grain and dry matter yields and partitioning of assimilates in japonica/indica hybrids. Crop Science, vol. 42, n. 3, p. 766–772. http://dx.doi.org/10.2135/cropsci2002.0766        [ Links ]

Yang, W.; Peng, S.; Dionisio-Sese, M.H.; Laza, R.C. e Visperas, R.M. (2008) - Grain filling duration, a crucial determinant of genotypic variation of grain yield infield-grown tropical irrigated rice. Field Crops Research, vol. 105, n. 3, p. 221–227. http://dx.doi.org/10.1016/j.fcr.2007.10.006        [ Links ]

Yoshida, S. (1981) - Fundamentals of rice crop science. Los Baños: IRRI, 269 p.         [ Links ]

 

Recebido/received: 2017.12.14

Recebido em versão revista/received in revised form: 2018.02.05

Aceite/accepted: 2018.02.05

Creative Commons License Todo o conteúdo deste periódico, exceto onde está identificado, está licenciado sob uma Licença Creative Commons