Serviços Personalizados
Journal
Artigo
Indicadores
-
Citado por SciELO -
Acessos
Links relacionados
-
Similares em
SciELO
Compartilhar
Revista de Ciências Agrárias
versão impressa ISSN 0871-018X
Rev. de Ciências Agrárias vol.41 no.2 Lisboa jun. 2018
https://doi.org/10.19084/RCA17234
ARTIGO
Calibração dos coeficientes genéticos e simulação da produtividade do milho pipoca de segunda safra para Tangará da Serra, Brasil
Calibration of genetic coefficients and simulation of the productivity of porcorn of second crop season for Tangará da Serra, Brazil
Cleonir A. Faria Junior1, Paulo S. L. Freitas1, Rivanildo Dallacort2, Juliana M. Voroniak1*, Ana Claudia S. Souza2, Liliane S. Mioto1 e João Danilo Barbieri1
1Universidade Estadual de Maringá, Maringá - Brasil
2Universidade do Estado do Mato Grosso, Tangará da Serra - Brasil
(*E-mail: juliana.voroniak@hotmail.com)
RESUMO
Atualmente, muitos modelos de simulação de crescimento e desenvolvimento vêm sendo utilizados para simular o comportamento de diversas culturas em distintas condições edafoclimáticas e de manejo. O Estado do Mato Grosso é considerado o maior produtor de grãos nacionalmente, porém ainda é carente em termos de pesquisas que utilizam modelos de simulação. Diante do exposto, o objetivo deste trabalho foi calibrar os coeficientes genéticos para a cultura do milho pipoca e simular a produtividade em função de diferentes épocas de semeadura. A calibração dos coeficientes genéticos e simulação do crescimento, desenvolvimento e produtividade do milho pipoca foi realizada pelo modelo CERES-Maize, inserido no Sistema de Suporte para Transferência de Agrotecnologia (DSSAT v.4.6). Para a realização desse trabalho foram utilizados dados meteorológicos diários do Município de Tangará da Serra dos anos compreendidos entre 2004 a 2015 fornecidos pelo Instituto Nacional de Meteorologia (INMET). As simulações para o milho pipoca foram realizadas para seis datas de semeadura (01/02, 10/02, 20/02, 01/03, 10/03 e 20/03). As produtividades médias geradas pelo modelo CERES-Maize foram decrescendo à medida que ocorre o atraso da semeadura da cultura do milho pipoca 4928, 4116, 2868, 1554, 1074 e 985 kg ha-1 respectivamente.
Palavras-chave: Modelagem, clima, época de semeadura.
ABSTRACT
Currently, many simulation models of growth and development have been used to simulate the behavior of several crops under different edaphoclimatic and management conditions. The State of Mato Grosso is considered the largest grain producer nationally, but it is still lacking in terms of research using simulation models. In view of the above, the objective of this work was to calibrate the genetic coefficients for popcorn corn and simulate the productivity in function of different sowing times. The calibration of the genetic coefficients and simulation of the growth, development and productivity of popcorn was performed by the CERES-Maize model, inserted in the Support System for Agrotechnology Transfer (DSSAT v.4.6). For this work, daily meteorological data of the Municipality of Tangará da Serra were used between 2004 and 2015 provided by the National Institute of Meteorology (INMET). Simulations for popcorn were performed for six sowing dates (02/01, 02/10, 02/20, 03/01, 03/10 and 03/20). The average yields generated by the CERES-Maize model were decreasing as the sowing delay of the popcorn crop 4,928; 4,116; 2,868; 1,554; 1,074 and 985 kg ha-1 respectively occurred.
Keywords: Modeling, climate, sowing season.
INTRODUÇÃO
O milho pipoca (Zea mays L.) é considerado um tipo de milho especial, por apresentar característica de se expandir, o que o diferencia de outras variedades de milho. Por pertencer à mesma família botânica do milho comum, muitas das práticas de manejo empregadas são idênticas, como exemplo, a escolha da época de semeadura.
No entanto, há evidências de que essas práticas, nem sempre são apropriadas, visto que a planta de milho pipoca, apresenta algumas particularidades como menor produtividade, arquitetura de planta diferente do milho comum, exigências nutricionais e maior susceptibilidade a pragas e doenças (Ziegler & Ashman, 1994; Nunes et al., 2003).
Por outro lado, a produtividade, tanto do milho comum como a do milho pipoca, é influenciada pelos mesmos fatores. Dentre esses fatores a temperatura e a precipitação são considerados os mais influentes (Aspiazú, 1971). Assim, a escolha da melhor época de semeadura é imprescindível para que a cultura do milho pipoca atinja altas produtividades.
Contudo, as informações a respeito da definição da melhor época de semeadura ainda são escassas. Dessa forma, há uma necessidade de pesquisas direcionadas para essa cultura definindo as exigências, o manejo mais adequado e a melhor época de semeadura.
Neste sentido, o uso da modelagem pode ser vantajoso, pois os modelos de simulação de crescimento e desenvolvimento de plantas podem ser empregados para simular o comportamento de diversas culturas. Segundo Hoogenboom (2000) os modelos de simulação de culturas vêm sendo utilizados para estudar o impacto das mudanças climáticas sobre a produção agrícola.
Atualmente, existem distintos modelos desenvolvidos para a simulação de crescimento de diversas culturas. Dentre esses, destaca-se o modelo Crop Environment Resource Synthesis (CERES-Maize), do sistema DSSAT (Decision Support System for Agrotechnology Transfer) (Hoogenboom et al., 2004).
O modelo é usado para a simulação do desenvolvimento e balanço hídrico de distintas culturas, relacionando os resultados a partir da combinação dos efeitos do clima (regime térmico, estresse hídrico e disponibilidade de luminosidade) e do manejo (irrigação, população e espaçamento entre fileiras, época de semeadura) no crescimento e rendimento do milho (Andrade et al., 2009).
De acordo com Amaral et al. (2015) o modelo CERES-Maize simula de forma satisfatória o crescimento, desenvolvimento e a produtividade de grãos de milho. Desta forma, o objetivo do trabalho foi calibrar os coeficientes genéticos para a cultura do milho pipoca, simular a produtividade em função de diferentes épocas de semeadura, e definir a melhor época em segunda safra.
MATERIAL E MÉTODOS
Experimento a campo
O experimento foi conduzido na área experimental do Laboratório de Agrometeorologia, pertencente à Universidade do Estado do Mato Grosso (UNEMAT), localizado no munícipio de Tangará da Serra - MT, com latitude 14º39 S, longitude 57°2553 W e altitude de 440 m.
O clima predominante da região é do tipo Aw tropical úmido megatérmico, segundo classificação de Köppen, com temperatura média anual de 24,4°C e precipitação média anual de 1830 mm, segundo dados do INMET (2017). O município apresenta uma estação seca entre os meses de abril a setembro e uma chuvosa de outubro a março (Dallacort et al., 2011).
Durante o ciclo da cultura no tratamento 3 a temperatura média foi de 26,6 °C, com mínima média de 19,8 °C, máxima média de 33,3 °C, precipitação de 109 mm e irrigação de 508 mm (Figura 1).
A variedade utilizada no experimento foi a AP6002 da empresa Yoki, recomendado para o Estado do Mato Grosso. O híbrido escolhido apresenta ciclo curto e destaca-se por apresentar alta capacidade de expansão e boa resistência ao acamamento. A semeadura do híbrido de milho pipoca foi realizada no dia 09/07/2014, com espaçamento entre linha de 0,45 m e 3 plantas por metro linear. A área experimental total foi de quatro repetições de 12 metros de comprimento por 6 fileiras de milho pipoca.
A aplicação de fertilizante foi dividida em duas etapas: inicialmente, foram aplicados 400 kg ha-1 de NPK (5-25-15) antes do plantio. A segunda aplicação de 90 kg ha-1 de ureia foi realizada em cobertura.
O delineamento experimental foi em blocos casualizados, com quatro níveis de irrigação (30% da ETo, 70% da ETo, 110% ETo e 150% da ETo) e quatro repetições. Os tratamentos foram irrigados igualmente até 30 dias após a semeadura, totalizando 132 mm. As parcelas experimentais apresentaram seis linhas de 12 m de comprimento. As amostras foram realizadas nas duas linhas centrais com 10 m de comprimento.
Calibração do modelo
Para a realização da calibração dos coeficientes genéticos e simulação do crescimento, desenvolvimento e produtividade da cultura do milho pipoca, foi utilizado o programa de simulação CSM-CERES-Maize, que está inserido dentro do pacote DSSAT V.4.6.
Para a calibração do modelo CERES-Maize, no programa DSSAT foram necessários dados meteorológicos como: temperatura máxima e mínima, precipitação, umidade relativa, velocidade do vento e radiação solar. Esses dados foram obtidos de uma estação automática Campbell Scientific localizada na UNEMAT, compreendido entre os anos de 2004 a 2015, totalizando um conjunto de dados de 12 anos (Figura 2).
Além disso, para o funcionamento do modelo são requeridos dados de solo, que foram obtidos a partir de análises. O solo da região foi classificado como Latossolo vermelho distroférrico, de textura muito argilosa (68,9% de argila) e relevo suavemente ondulado, com declividade de máxima de 1% (Quadro 1).
Para a calibração do modelo foram avaliadas as seguintes variáveis do híbrido AP 6002: dias decorridos entre o plantio e o florescimento (quando 50% das plantas estiverem liberando pólen), produtividade (ao final do experimento, de cada parcela foram colhidas duas linhas centrais), massa de mil grãos em gramas (massa de mil grãos de cada parcela secados em estufa) e grãos por espiga (avaliação aleatória de 10 espigas).
Para a taxa de enchimento de grãos em g dia-1 foram coletados 100 grãos por espiga na região central e levados para a estufa de circulação de ar forçada até atingirem peso constante, sendo realizadas oito avaliações entre a fase R2 até a maturação.
Ajustes dos coeficientes genéticos do modelo
Para o ajuste dos coeficientes genéticos foram utilizadas as seguintes variáveis: P1 (duração do período vegetativo, a partir da soma térmica desde a emergência até o final da etapa juvenil, com temperatura base de 8ºC), P2 (refere-se a sensibilidade ao fotoperíodo, por meio dos dias de atraso na iniciação do florescimento da parte masculina para cada hora de incremento do fotoperíodo acima de 12,5 horas), P5 (duração da etapa reprodutiva, mediante a soma térmica desde a emergência do estigma na espiga até o ponto de maturidade fisiológica dos grãos, com temperatura base de 8ºC), G2 (número máximo de grãos por planta), G3 (taxa de enchimento do grão (mg dia-1) sob condições ótimas de crescimento) e PHINT (intervalo correspondente ao filocromo em tempo térmico (Graus-dia) entre a aparição de folhas subsequentes).
Inicialmente, ajustaram-se os dados referentes ao desenvolvimento fenológico do milho pipoca, como a data do florescimento (dias) e a maturidade fisiológica (dias), e em foram ajustados os coeficientes relativos a produtividade. O ajuste foi realizado aumentando e diminuindo o valor de determinados coeficientes por processo de tentativa e erro, até que se obteve os resultados de desejados.
Para o ajuste dos coeficientes genéticos, foram utilizados os dados obtidos no tratamento 3 (110% da ETo) e para a verificação dos mesmos utilizou-se os dados do tratamento 1, 2 e 4.
Simulações
As simulações foram realizadas para seis datas de semeaduras (01/02, 10/02, 20/02, 01/03, 10/03 e 20/03) entre os anos de 2004 a 2015 na região de Tangará da Serra MT.
Em que o fator limitante ao crescimento e desenvolvimento da cultura foi a demanda hídrica, sendo que a mesma era suprida apenas pela precipitação durante seu ciclo, expressando diferentes respostas a variabilidade nos índices de precipitação durante e entre os anos simulados.
Avaliação do ajuste dos dados
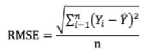
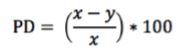
Para avaliar a qualidade das simulações, foram calculadas as porcentagens de desvios (PD) dos valores simulados, em relação à média dos dados observados, multiplicando-se por 100, para convertê-lo em porcentagem (equação 1). De acordo com Pereira et al. (2010) a porcentagem de desvio negativo indica subestimativa enquanto que porcentagem de desvios positivas indicam superestimativa.
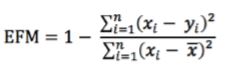
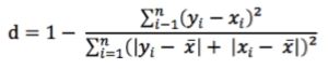
Os índices estatísticos da eficiência da modelagem (EFM) e o índice d de concordância, foram calculados conforme descrito nas equações 2 e 3.
(Equação 1)
(Equação 2)
(Equação 3)
Em que 𝑥 é a média dos valores experimentais; 𝑦 é o valor simulado pelo modelo CERES-Maize; 𝑥̅ é a média de 𝑥;
A qualidade da simulação foi comparada utilizando-se o quadrado médio do erro (RMSE) (Equação 4). E a relação dos valores medidos e estimados quanto as variações (R2) (Equação 5).
(Equação 4)
(Equação 5)
Em que Yi é o valor observado experimentalmente; Ŷ é o valor estimado pelo modelo; Y é o valor simulado pelo modelo e n é o número de dados.
O coeficiente EFM é considerado um bom indicador do ajuste dos dados, assumindo valores que podem variar de um a menos infinito (Tedeschi, 2006). Quando o ajuste dos dados é perfeito, o índice EFM é igual 1.
O índice d de concordância é empregado para avaliar a exatidão do modelo, podendo variar de 0, que significa nenhuma concordância, para 1, concordância perfeita (Willmott et al., 1985). Enquanto o quadrado médio do erro (RMSE) indica a diferença relativa entre os valores simulados e estimados (Pereira et al., 2010).
RESULTADOS E DISCUSSÃO
No Quadro 2 pode-se observar os coeficientes genéticos ajustados para o híbrido de milho pipoca AP 6002. Os coeficientes genéticos do modelo CERES-Maize podem ser divididos em dois grupos, o primeiro refere-se ao desenvolvimento fenológico (P1, P2 e P5), enquanto o segundo está relacionado com a produtividade (G2 e G3). Enquanto, o PHINT refere-se ao intervalo térmico entre as sucessivas aparições das folhas. Após a calibração dos coeficientes genéticos o modelo CERES-Maize prediz o crescimento e o desenvolvimento do milho pipoca.
Para a calibração do modelo CERES-Maize foi utilizada a massa de grãos, e analisando o índice de concordância d e o RMSE (Figura 1), pode-se concluir que houve um bom ajuste dos valores de massa de grãos (MG) medidos e estimados. Pois, o índice de concordância d foi de 0,97, o que configura um bom ajuste dos valores de massa de grãos medidos e estimados. O RMSE foi menor que 20%, indicando que as simulações são de boa qualidade, conforme descrito por Jamieson et al. (1991). O índice R2 apresenta a relação dos valores medidos e estimados quanto as variações.
Outros autores vêm empregando o RMSE, R2 e o índice d de concordância para a verificação da qualidade da parametrização para distintas culturas (Soler et al., 2007; Pereira et al., 2010; Nassif et al., 2012).
Para avaliação da eficiência do modelo foi realizada a comparação dos valores simulados e observados das variáveis florescimento (dias), maturação (dias), massa de mil grãos (g) e produtividade (kg ha-1) (Quadro 3).
O índice de concordância d foi elevado para os quatro tratamentos, com valores de 0,99 para todas as variáveis analisadas, demonstrando boa concordância entre os valores simulados e observados. Dados semelhantes foram encontrado por Pereira et al. (2010) que obteve índice d considerado muito elevado (0,98) para a produtividade de grãos de milho.
De acordo, com resultados obtidos neste trabalho, como o índice de concordância com valores próximos a unidade e valores baixos para a porcentagem de desvio, demonstraram a eficácia do modelo em simular a produtividade do milho pipoca.
O EFM manteve-se próximo a 1, com valores variando de 0,97 a 0,99. Demonstrando que o modelo CERES-Maize apresenta ótima eficiência em simular a data de florescimento, maturação, MMG e produtividade do híbrido de milho pipoca.
No tratamento 1, pode-se observar que o desvio percentual das variáveis florescimento e produtividade foram de -3,03 e -14,34, respectivamente. E no tratamento 2 a variável massa de mil grãos foi de -2,05. Esses valores indicam que o modelo subestimou o período de florescimento, produtividade e massa de mil grãos para esses tratamentos. De acordo com Soler et al. (2007) a porcentagem de desvio negativo indica subestimativa, enquanto que o desvio positivo indica uma superestimativa.
Observa-se também uma superestimativa nos valores estimados para produtividade no tratamento 1, 2 e 3. O modelo subestimou a produtividade para o tratamento 1, obtida com a aplicação da menor lâmina (30% da ETo), mas tendeu a superestimar a produtividade para os outros tratamentos, nos quais foram aplicadas maiores lâminas (70%, 110% e 150%).
Podemos observar que o modelo CERES-Maize após devidamente calibrado responde as variações do clima quanto ao ciclo no decorrer das datas simuladas (Quadro 4). Analisando o florescimento, nota-se que o atraso da semeadura do dia 01/02 para o dia 20/03, aumentou o número de dias do florescimento (Quadro 4). Isso ocorre, pois, a época de semeadura tardia é afetada pelo baixo regime de chuvas e por limitações de radiação solar e temperatura, que pode ter contribuído para o prolongamento do período do florescimento. Sendo que o limite definido para semeadura do milho no Estado do Mato Grosso é até 15 de março (IBGE, 2008). Em relação à duração total do ciclo, nota-se que a data 01/02 apresentou a maior duração, enquanto a data 01/03 a menor duração.
Comparando as seis épocas de semeadura, observa-se que o atraso da semeadura promove uma redução da produtividade de grãos do milho pipoca (Quadro 5). Para semeaduras realizadas em 01/02 e 10/02, a produtividade média de grãos variou de 4929 a 4112 kg ha-1 respectivamente, sendo superior em relação à média do Estado do Mato Grosso, que é 4000 kg ha-1 na segunda safra (Kist et al., 2016). Porém, para as semeaduras tardias, observa-se que a partir de 01/03 as produtividades médias são menores que 2000 kg ha-1.
Os maiores valores de desvio padrão para a produtividade foram obtidos para as datas de semeadura em 01/02, 10/02 e 20/02, enquanto o menor valor de desvio padrão foi verificado em 20/03, sendo 1053 kg ha-1 (Quadro 5). A porcentagem de redução da produtividade diminui gradativamente a medida que as semeaduras foram realizadas em datas consideradas tardias.
Para cada data de semeadura nota-se grandes oscilações da produtividade entre os anos de 2004 a 2015. A variação da produtividade simulada do milho pipoca, reflete a influência que os fatores climáticos exercem durante o ciclo da cultura. Podemos observar que há uma redução da produtividade, principalmente em semeaduras tardias (Quadro 6). A partir da data de semeadura de 01/03 a 20/03 observa-se que a produtividade do milho pipoca foi zero, em virtude da precipitação não atender à necessidade hídrica da cultura, o que possibilitou que o modelo penalizasse a produtividade do milho pipoca.
A probabilidade de rendimento simulada pelo modelo apresenta maiores valores nas épocas 1 e 2, onde são alcançadas produtividades acima de 3500 kg ha-1, com 75% e 65% de probabilidade, respectivamente. Em épocas tardias 4, 5 e 6, a probabilidade de ocorrer produtividades abaixo de 2000 kg ha-1, é de 75% (Figura 2).
As épocas 4 e 5 apresentam apenas 20% de probabilidade de ocorrer produtividade acima de 3500 kg ha-1, o que é considerado inviável devido ao alto risco de perda. Nota-se, quanto maior o atraso da semeadura, menor o rendimento simulado para o híbrido.
Cardoso e Soccol (2008) realizando simulações com a cultura do milho para as condições de Lajes-SC, observaram que a probabilidade de ocorrência de produtividades elevadas diminui com o atraso da semeadura, de outubro a março.
CONCLUSÕES
O modelo CERES-Maize foi eficiente para simular a produtividade da cultura do milho pipoca sob diferentes condições de disponibilidade hídrica durante a calibração, sendo capaz de simular o crescimento, o desenvolvimento e a produtividade do milho pipoca para as condições climáticas do município de Tangará da Serra MT.
Para as datas de semeadura entre 01/02 e 20/02, a produtividade média simulada foi de 4928 kg ha-1, sendo superior à média do Estado do Mato Grosso. Além disso, a probabilidade de produzir mais que 3500 kg ha-1 é superior a 65%. No entanto, à medida que ocorre o atraso da semeadura, os riscos para o cultivo do milho pipoca de segunda safra aumentam.
REFERÊNCIAS BIBLIOGRÁFICAS
Amaral, T.A.; De Lima, A.C.R.; De Andrade, C.D.L.T. & Silva, S.D.D.A.E. (2015) - Parametrização e avaliação do modelo CSM-CERES-Maize para cultivares de milho recomendadas para a microrregião de Pelotas, RS. Revista Brasileira de Milho e Sorgo, vol. 14, n. 3, p. 371-391. http://dx.doi.org/10.18512/1980-6477/rbms.v14n3p371-391 [ Links ]
Andrade, C.L.T.; Amaral, T.A.; Borges Júnior, J.C.F.; Heinemann, A.B.; Garcia y Garcia, A.; Tojo-Soler, C.M.T.; Silva, D.F.; Hickmann, C.; Santana, C.B.; Moura, B.F. & Castro, L.A. (2009) Modelagem do crescimento de culturas: aplicações à cultura do milho. Embrapa Milho e Sorgo. Documento 91, 65 p. [ Links ]
Aspiazú, C. (1971) - Prognóstico de fases en cultivos de maiz dentado mediante sumas de temperaturas. Revista de Ia Facultad de Agronomia y Veterinaria de Buenos Aires, vol. 19, n. 1-2, p. 61-69. [ Links ]
Cardoso, C.O. & Soccol, O.J. (2008) - Corn performance with late sowing in Planalto Catarinense, Brazil, simulated with CERES-maize model. Brazilian Archives of Biology and Technology, vol. 51, n. 4, p. 655-664. http://dx.doi.org/10.1590/S1516-89132008000400002 [ Links ]
Dallacort, R.; Martins, J.A.; Inoue, M.H.; Freitas, P.S.L. & Colleti, A.J. (2011) - Distribuição das chuvas no município de Tangará da Serra, médio norte do Estado de Mato Grosso, Brasil. Acta Scientiarum. Agronomy, vol. 33, n. 2, p. 193-200. http://dx.doi.org/10.4025/actasciagron.v33i2.5838 [ Links ]
Hoogenboom, G. (2000) - Contribution of agrometeorology to the simulation of crop production and its applications. Agricultural and Forest Meteorology, vol. 103, n. 1-2, p. 137-157. https://doi.org/10.1016/S0168-1923(00)00108-8 [ Links ]
Hoogenboom, G.; White, J.W. & Messina, C.D. (2004) - From genome to crop: integration through simulation modeling. Field Crops Research, vol. 90, n. 1, p. 145163. https://doi.org/10.1016/j.fcr.2004.07.014 [ Links ]
IBGE (2008) - Produção agrícola municipal. Milho (em grão) 1ª e 2ª safras. Instituto Brasileiro de Geografia e Estatística. p. 1-163 [cit. 2017-12-12]. < https://ww2.ibge.gov.br> [ Links ].
INMET (2017) - Banco de dados meteorológicos para ensino e pesquisa. Instituto Nacional de Meteorologia. [cit. 2017-12-12]. <http://www.inmet.gov.br> [ Links ].
Jamieson, P.D.; Porter, J.R. & Wilson, D.R. (1991) - A test of the computer simulation model ARC-WHEAT1 on wheat crops grown in New Zeland. Field Crops Research, vol. 27, n. 4, p. 337-350. https://doi.org/10.1016/0378-4290(91)90040-3 [ Links ]
Kist, B.B.; Santos, C.; Beling, R.R. (2016) - Anuário brasileiro do milho 2016. Santa Cruz do Sul: Gazeta Santa Cruz, 96 p. [cit. 2017-12-12]. < http://www.editoragazeta.com.br> [ Links ].
Nassif, D.S.P.; Marin, F.R.; Pallone Filho, W.J.; Resende, R.S. & Pellegrino, G.Q. (2012) - Parametrização e avaliação do modelo DSSAT/Canegro para as variedades brasileiras de cana-de-açúcar. Pesquisa Agropecuária Brasileira, vol. 47, n. 3, p. 311-318. http://dx.doi.org/10.1590/S0100-204X2012000300001 [ Links ]
Nunes, H.V.; Miranda, G.V.; Souza, L.V.; Galvão, J.C.C.; Coimbra, R.R. & Melo, A.D. (2003) - Comportamento de cultivares de milho-pipoca em diferentes épocas de semeadura. Revista Ceres, vol. 50, n. 290, p. 445-460. [ Links ]
Pereira, A.M.A.R.; Pinho, R.G.; Paglis, C.M.; Pereira, J.L.A.R. & Altoé, T.F. (2010) - Eficiência do modelo Ceres-Maize na simulação do desempenho de híbridos de milho. Revista Ceres, vol. 57, n. 4, p. 486-493. http://dx.doi.org/10.1590/S0034-737X2010000400008 [ Links ]
Soler, C.M.T.; Sentelhas, P.C. & Hoogenboom, G. (2007) - Application of the CSM-CERES-Maize model for planting date evaluation and yield forecasting for maize grown off-season in a subtropical environment. European Journal of Agronomy, vol. 27, n. 2-4, p. 165-177. https://doi.org/10.1016/j.eja.2007.03.002 [ Links ]
Tedeschi, L.O. (2006) - Assessment of adequacy of mathematical models. Agricultural Systems, vol. 89, n. 2-3, p. 225247. https://doi.org/10.1016/j.agsy.2005.11.004 [ Links ]
Willmott, C.J.; Akleson, G.S.; Davis, R.E.; Feddema, J.J.; Klink, K.M.; Legates, D.R.; Odonnell, J. & Rowe, C.M. (1985) - Statistics for the evaluation and comparison of models. Journal of Geophysical Research, vol. 90, n. c5, p. 8995-9005. https://doi.org/10.1029/JC090iC05p08995 [ Links ]
Ziegler, K.E. & Ashman, B. (1994) - Popcorn. In: Halluer, A.R. (Ed.) - Specialty corns. Ames, CRC Press, p. 189-223. [ Links ]
Recebido/received: 2017.09.10
Recebido em versão revista/received in revised form: 2017.12.13
Aceite/accepted: 2017.12.16













