Serviços Personalizados
Journal
Artigo
Indicadores
-
Citado por SciELO -
Acessos
Links relacionados
-
Similares em
SciELO
Compartilhar
Revista de Ciências Agrárias
versão impressa ISSN 0871-018X
Rev. de Ciências Agrárias vol.41 no.1 Lisboa mar. 2018
https://doi.org/10.19084/RCA17020
ARTIGO
Influência de manipueira sobre Meloidogyne javanica na soja
Influence of manipueira on Meloidogyne javanica in soybean
Wéverson Lima Fonseca*, Fernandes Antonio de Almeida, Maria Lucia Tiburtino Leite, Augusto Matias de Oliveira, Jeissica Taline Prochnow, Lisandro da Luz Ramos, Tiago Pieta Rambo, Francisco de Alcântara Neto, Francisco Fernandes Pereira e Rezanio Martins Carvalho
Universidade Federal do Piauí (UFPI), Campus Professora Cinobelina Elvas, Departamento de Agronomia, 64900-000, Bom Jesus, Piauí, Brasil
(*E-mail: weversonufpi@gmail.com)
RESUMO
Na busca de alternativas para o controle de fitonematoides, vem sendo estudado o efeito nematicida de metabolitos secundários ou resíduos vegetais. Dessa forma, a manipueira, resíduo líquido da industrialização da mandioca (Manihot esculenta), tem como composição glicosídeos cianogênicos com propriedades antimicrobianas. Objetivou-se avaliar o potencial da manipueira aplicada no solo, visando o controle de Meloidogyne javanica na cultura da soja. A manipueira foi aplicada nas concentrações de 0, 10, 20, 30, 40, 50, 60, 70, 80, 90 e 100%. O delineamento experimental foi inteiramente casualizado, em arranjo fatorial 11 × 2 (concentrações de manipueira × formas de aplicação - única e parcelada), com cinco repetições. As plantas de soja foram inoculadas com 3000 ovos e J2 de M. javanica por vaso. Sessenta dias após a primeira aplicação da manipueira, foram avaliadas características agronômicas e de parasitismo. A aplicação única da manipueira promoveu maior crescimento e desenvolvimento radicular, bem como redução do número de ovos e J2 na raiz e do fator de reprodução de M. javanica, para todas as concentrações. A aplicação parcelada teve maior efeito na redução do número de galhas e massas de ovos. As concentrações letais de manipueira para 50% da população de nematoides no solo e na raiz foram de 37,90% e 29,67%, respetivamente.
Palavras-chave: Glycine max, manejo alternativo, manipueira, Meloidogyne javanica, nematoide das galhas.
ABSTRACT
Searching alternatives for the control of plant parasitic nematodes, nematicide effect of secondary metabolites or plant residues has been studied. Thus, the manipueira, a liquid residue obtained from the industrialization of cassava (Manihot esculenta), has as its composition cyanogenic glycosides with antimicrobial properties. The objective of this study was to evaluate the potential of the manipueira applied to the soil, aiming at the control of Meloidogyne javanica in the soybean crop. The manipueira was applied at the concentrations of 0, 10, 20, 30, 40, 50, 60, 70, 80, 90 and 100%. The experimental design was completely randomized, in an 11 × 2 factorial arrangement (concentrations of manipueira × forms of application - single and fractionated), with five replicates. Soybean plants were inoculated with 3000 eggs and J2 of M. javanica per pot. Sixty days after the first application of the manipueira, agronomic characteristics and parasitism were evaluated. The single application of the manipueira promoted greater growth and root development, as well as a reduction in the number of eggs and juveniles in the roots and in the reproduction factor of M. javanica, for all concentrations. The split application had more effect on reducing the number of galls and egg mass. The lethal manure concentrations for 50% of the soil and root nematode populations were 37.90% and 29.67%, respectively.
Keywords: Glycine max, alternative management, manipueira, Meloidogyne javanica, root-knot nematode.
INTRODUÇÃO
A cultura da soja (Glycine max L.) de grande potencial econômico e social, se destaca ao longo dos anos, como a mais explorada em todos os segmentos da atividade agrícola no Brasil, correspondendo a 57,12% do total de área cultivada (Conab, 2016). Todavia, diversos são os agentes fitopatogênicos como fungos, bactérias, vírus e nematoides, que podem inviabilizar a cultura e tendem a ser cada vez mais importantes à medida que se intensifica o seu cultivo (Santos et al., 2011; Araujo et al., 2012).
Entre os patógenos de maior potencial destrutivo na cultura estão os fitonematoides, que originam perdas da ordem de 30 a 50%, pela interferência direta no sistema radicular das plantas, dificultando a absorção de água e nutrientes (Dias et al., 2010; Embrapa, 2010; Araujo et al., 2012). O gênero Meloidogyne destaca-se pela facilidade de adaptação às mais variadas condições edafoclimáticas, o que lhe confere vasta distribuição geográfica, grande capacidade de sobrevivência e ampla gama de hospedeiros, conferindo-lhe grande relevância econômica (Freitas et al., 2001).
Visando a mitigação de perdas de produção causadas por fitonematoides, a utilização de nematicidas ainda permanece como o principal método de manejo, especialmente por apresentar resultados imediatos (Araujo et al., 2012). No entanto, o seu poder de ação é limitado, não garantindo a erradicação dos nematoides no solo tratado, reduzindo apenas a sua atividade parasitária enquanto persistir o princípio ativo do produto aplicado (Ferraz, 2006). O uso indiscriminado e contínuo de nematicidas causa também sérios problemas ambientais (Vilas-Boas et al., 2002), o que tem levado à adoção de políticas de redução do uso de pesticidas, contribuindo também para a obtenção de alimentos com melhor qualidade.
Na tentativa de reduzir os impactes negativos dos nematicidas, o uso de subprodutos vegetais com propriedades nematicidas ou nematostáticas representa mais uma opção, por apresentar menor risco de contaminação da natureza em razão de sua característica biodegradável (Gardiano et al., 2009). Nessa perspectiva, novas técnicas de manejo devem ser pesquisadas, a exemplo do emprego de manipueira, resíduo líquido extraído da mandioca (Manihot esculenta L.) durante o processo de fabricação de farinha e/ou amido (Cassoni e Cereda, 2011).
A manipueira apresenta na sua composição química, diversas substâncias entre as quais alguns macro e micronutrientes e dois glicosídeos cianogênicos, a lotaustralina e a linamarina (ácido cianídrico), que são tóxicos para vários microrganismos (Magalhães et al., 2000). Por esse motivo diversas pesquisas vêm sendo realizadas visando potenciar a utilização deste subproduto como nematicida e também como adubo orgânico (Almeida et al., 2007; Nasu et al., 2010; Baldin et al., 2012; Fonseca et al. 2016).
A necessidade de métodos alternativos que inviabilizem a ação desses patógenos de solo, bem como de redução do número de aplicações de defensivos e dos custos de produção, faz com que produtos naturais como a manipueira tenham um futuro promissor. Nesse sentido, objetivou-se avaliar o potencial da manipueira aplicada ao solo, em diferentes concentrações e formas de aplicação, no controle de Meloidogyne javanica na cultura da soja, sob condições de casa de vegetação.
MATERIAL E MÉTODOS
O experimento foi conduzido em casa de vegetação e no Laboratório de Fitopatologia, na Universidade Federal do Piauí, Campus Profa. Cinobelina Elvas, em Bom Jesus-PI, no período de março a agosto de 2015.
As plantas de soja foram cultivadas em substrato constituído por solo-areia-esterco, na proporção 3:2:1, com as seguintes características: textura médio-arenosa; pH = 6,2; matéria orgânica = 15,8 g; areia = 710 g kg‑1; silte= 50 g kg‑1; argila= 240 g kg‑1; Ca2+ = 2,6 cmolc L‑1; Mg2+ = 1,36 cmolc L‑1; P trocável = 108 mg L‑1; K+ = 88,0 mg L‑1 e Zn= 6,7 mg L‑1. Antes de ser utilizado foi previamente esterilizado em autoclave vertical, a 120°C e 1,05 Kg cm‑2, durante duas horas. De seguida o substrato foi distribuído por vasos plásticos com capacidade para 4,5 L, dispostos sobre bancada na casa de vegetação.
O inóculo de M. javanica foi obtido de uma população de campo de uma lavoura de soja, no município de Bom Jesus-PI. A extração de ovos e juvenis de segundo estádio (J2) ocorreu por liquidificação e centrifugação em solução de sacarose com caulino, conforme método de Coolen e DHerde (1972). O inóculo foi mantido e multiplicado em plantas de tomateiro (Solanum lycopersicum L.) cv Santa Clara cultivadas em casa de vegetação. A identificação da espécie foi realizada, previamente, pela técnica de configuração perineal proposta por (Hartman e Sasser, 1985).
A manipueira foi obtida em casa de produção de farinha no município de Redenção do Gurguéia, Estado do Piauí, Brasil. Antes da aplicação, a manipueira foi filtrada e armazenada em potes de vidro com 5 L de capacidade, acondicionados em geladeira a 4°C até à realização do ensaio. A análise química da manipueira foi realizada no laboratório de química da Universidade Federal do Piauí, Campus professora Cinobelina Elvas, onde foram observadas os seguintes componentes: potássio (K); cálcio (Ca); magnésio (Mg); manganês (Mn) e ferro (Fe), determinados por digestão nitroperclórica; nitrogenio (N) e fósforo (P) determinados pelo método de destilação de Kjeldahl e metavanadato de amônio, respectivamente. Os valores de demanda química de oxigênio e de pH foram obtidos de acordo com Silva (1998) e o de cianeto livre através de um kit colorimétrico.
A semeadura da soja foi realizada diretamente nos vasos depositados na casa de vegetação com delineamento experimental inteiramente casualizado, em arranjo fatorial (11×2×5). Os tratamentos consistiram da aplicação de manipueira nas concentrações de 0, 10, 20, 30, 40, 50, 60, 70, 80, 90 e 100%, aplicadas de forma única (uma única aplicação de 100 mL por vaso) e parcelada (aplicação de 100 mL por vaso, parcelada em duas aplicações de 50 mL com intervalo de 15 dias), com cinco repetições por tratamento.
A semeadura foi realizada com cinco sementes de soja Intacta cv. M-Soy 8644 IPRO por vaso. Catorze dias após a emergência realizou-se o desbaste, deixando duas plantas por vaso a constituir a unidade experimental. As plantas foram depois inoculadas com uma suspensão de 3000 ovos e J2 de M. javanica por vaso, com auxílio de uma pipeta, adicionando 10 mL da suspensão do inóculo, distribuídos em três aberturas (furos) de 3,0 cm de profundidade, distanciadas 2,0 cm entre si e do hipocótilo das plantas de soja.
Sete dias após a inoculação das plantas com os nematoides foi aplicado em cada vaso o volume de manipueira de acordo com as respectivas concentrações e forma de aplicação, 100 mL nos vasos com aplicação única e 50 mL nos vasos com aplicação parcelada. As concentrações utilizadas foram preparadas através da diluição da manipueira em água destilada 2 h antes da aplicação dos tratamentos ao solo. Quinze dias mais tarde foram aplicados os restantes 50 mL nos vasos com aplicação parcelada.
Durante a condução do experimento foi realizado o monitoramento dos dados de temperatura (do ar e do solo) e umidade relativa do ar. De acordo com os dados registados na maioria dos dias a temperatura média do ar na casa de vegetação variou de 25 a 35ºC, com temperatura do solo de 23 a 32,5ºC e umidade relativa do ar entre 23 a 40%.
Sessenta dias após a primeira aplicação da manipueira foram avaliados os resultados agronómicos e de parasitismo. As variáveis agronômicas foram o comprimento radicular, medido com régua graduada, a massa fresca do sistema radicular, pesada em balança de precisão, e o volume de raiz, calculado pelo volume de água deslocada na proveta graduada de 500 mL, após a imersão das raízes.
Para as variáveis do parasitismo, foram avaliados conjuntamente os números de galhas e de massas de ovos na raiz de cada planta. Para isso, as raízes foram coloridas em solução de Floxine B (0,15 g de floxine B por litro), onde foram imersas por 2 minutos, conforme Silva et al. (1988). Depois foram observadas e feitas as contagens com auxílio do microscópio estereoscópico. Para a avaliação do número de ovos e J2 no solo usaram-se 100 mL de solo de cada vaso que foram processados pelo método de centrifugação e flutuação, conforme Jenkins (1964). Para a estimativa do número de ovos e J2 nas raízes, adotou-se a metodologia de Hussey e Barker (1973), modificada por Bonetti e Ferraz (1981). Com os valores obtidos para os números de ovos e J2 na raiz e no solo foi determinado o fator de reprodução (FR) para cada tratamento, através do método proposto por Oostenbrink (1966), com FR = Pf/Pi, em que Pf consiste no somatório da população final de ovos e J2 do solo e da raiz e Pi na população inicialmente inoculada.
Os dados das análises às variáveis agronômicas e do parasitismo foram submetidos à análise de normalidade, pelo teste de Shapiro-Wilk, e análise de variância (ANOVA), pelo teste F (p<0,05). Quando eram significativas as médias para os tratamentos qualitativos (formas de aplicação) foram comparadas pelo teste de Tukey (p<0,05), usando o programa estatístico R versão 3.1.2. As médias para os tratamentos quantitativos (concentrações de manipueira) foram ajustadas em equações de regressão, com auxílio do software Sigma Plot 11.0. Após o ajuste das equações de regressão, foram estimadas as concentrações de manipueira letais (x) para matar 50% dos nematoides (CL50) (1/2*Y).
RESULTADOS E DISCUSSÃO
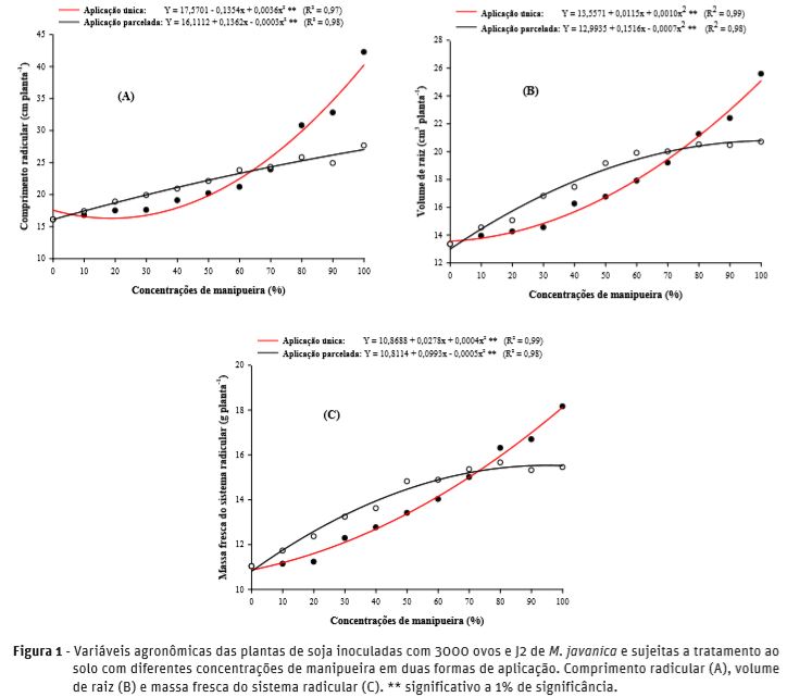
Ao analisar as variáveis agronômicas: comprimento radicular (CR), volume de raiz (VR) e massa fresca do sistema radicular (MFSR) de plantas de soja, observou-se interação significativa (p<0,05) entre formas de aplicação e concentrações de manipueira (Quadro 1).
A aplicação de manipueira ao solo contribuiu positivamente para todas as variáveis do sistema radicular, com as formas de aplicação a ajustarem-se no modelo de regressão polinomial quadrática em resposta às concentrações utilizadas (Figura 1).
Para o comprimento radicular os melhores resultados foram observados nas plantas que receberam aplicação única de manipueira nas concentrações a partir de 60%, atingindo o valor máximo (40,03 cm) na concentração 100%, com incremento de 127,73% em relação à testemunha (Figura 1A). Na aplicação parcelada o comprimento radicular máximo (26,73 cm) na concentração 100%, aumentou apenas 65,92% relativamente à testemunha. A manipueira, além de apresentar compostos como a linamarina, tóxicos para os nematoides, disponibiliza nutrientes para o solo favorecendo o desenvolvimento da planta (Baldin et al., 2012). Cereda e Fioretto (1981) já sinalizavam a existência de diferentes nutrientes na manipueira como teores de fósforo (219 mg L‑1), potássio (1675 mg L‑1), cálcio (225 mg L‑1) e magnésio (366 mg L‑1), além de micronutrientes essenciais, viabilizando a sua utilização como fonte nutricional para as plantas. Resultados positivos com a utilização da manipueira sobre as variáveis agronômicas da soja, também foram observados por Fonseca et al. (2016), em que verificaram um incremento de 100,41% no comprimento radicular em plantas tratadas com manipueira a 100%.
Ao analisar o volume radicular (Figura 1B) e a massa fresca do sistema radicular (Figura 1C) das plantas de soja, verificou-se que houve um aumento significativo dessas variáveis com a aplicação única de manipueira na concentração de 100%, atingindo valores máximos de 24,71 mL e 17,65 g, respectivamente. Estes resultados representam acréscimos nestas variáveis de 82,24 e 62,38%, respectivamente, relativamente à testemunha. Na aplicação parcelada, os valores máximos para o volume radicular e a massa fresca foram obtidos com manipueira nas respectivas concentrações de 100 e 80%, com acréscimos de 50,61 e 38,46%, respectivamente, relativamente à testemunha. Em estudo realizado por Baldin et al. (2012), obtiveram com a aplicação de manipueira a 50%, aumento do peso das raízes de 101,30%, demonstrando ser eficiente tanto quanto ao nematicida Carbofuran 50 G. Enquanto que, Fonseca et al. (2016), observaram incrementos no volume e massa fresca do sistema radicular da soja na ordem de 81,53 e 52,33%, respectivamente, em plantas tratadas com manipueira a 100%.
Já foram realizados outros estudos que revelaram a eficiência da manipueira na agricultura. Formentini et al. (2008), com a aplicação sequencial de manipueira em figueira cv. ´Roxo de Valinhos´ em campo, observou aumento da fertilidade dos solos da rizosfera das figueira tratadas, quando comparadas com as plantas-controle sem adição de manipueira. Nasu (2008) relataram maior produção de massa seca de tomateiro após o uso contínuo de manipueira. Num estudo realizado por Comerlato (2009), sobre o efeito de manipueira no controle do nematoide de cisto da soja, foi observado um ganho positivo das características agronômicas da soja após a aplicação deste subproduto. Resultados dessa natureza demonstram que a manipueira pode ser mais uma opção tanto para a nutrição de plantas como para a utilização da sua ação antimicrobiana.
Nas variáveis do parasitismo houve interação significativa (p<0,05) entre as formas de aplicação e as concentrações de manipueira, apenas para os números de galhas (NG) e de massas de ovos (NMO) (Quadro 2). As outras variáveis foram influenciadas pela atuação individual dos fatores. O efeito individual das concentrações de manipueira foi significativo (p<0,01) para todas as variáveis enquanto a atuação individual das formas de aplicação foi significativa (p<0,05) apenas para o número de ovos e J2 na raiz (NJR) e para o fator de reprodução (FR).
A manipueira influenciou de forma negativa o número de J2 de M. javanica no solo, com decréscimo exponencial em função das concentrações utilizadas (Figura 2A). Esses resultados demonstram que a mortalidade de 50% de nematoides no solo foi possível com a aplicação da concentração letal (CL50) de 37,90% de manipueira, atingindo-se a redução máxima de 88,66% na concentração de 100% de manipueira (Figura 2A). O menor número de nematoides após o tratamento do solo com manipueira deve-se, provavelmente, à presença de substâncias como linamarina e lotaustralina que, quando hidrolisadas, dão origem, respectivamente, a ácido cianídrico (HCN) e cianeto livre (CN‑), apresentando ação nematicida, como comprovado por Ponte (2001) e observado nesta pesquisa. O HCN interfere nas atividades enzimáticas do nematoide (Fioretto e Brinholi, 1985) e o CN- age sobre células nervosas do nematoide provocando reações com alguns compostos da célula, formando a cianohemoglobina, a qual provoca paralisa no sistema nervoso incluindo a cadeia respiratória (Nasu, 2008).
Em testes in vitro realizados por Camara (2015), ao empregar a manipueira, a partir de 30 mg.L‑1 de CN-, em manipueira pura, obteve 100% de mortalidade de J2 de M. javanica na concentração de manipueira a 25%. Nasu et al. (2010), ao estudarem o efeito de diferentes concentrações da manipueira sobre M. incognita, in vitro, observaram que os tratamentos com manipueira pura e até 10% de diluição, tiveram resultados de 100% de mortalidade. Esses mesmos autores, comprovaram a ação nematicida da manipueira a partir da concentração do cianeto de 40 mg.L‑1.
Para o número de J2 de M. javanica na raiz, houve diferenças significativas entre as formas de aplicação da manipueira, com destaque para a aplicação única, que proporcionou valores 24,18% menores que a aplicação parcelada (Quadro 2). Em função das concentrações de manipueira verificou-se uma redução exponencial dos nematoides na raiz, com taxa de mortalidade de 50% após a aplicação da CL50 (29,67%) deste subproduto (Figura 2B). Reduções mais supressivas ocorreram com o aumento das concentrações de manipueira, atingindo-se os valores mínimos de nematoides no solo com a manipueira a 100%. Resultados semelhantes foram observados por Fonseca et al. (2016), que ao estudarem o efeito da manipueira sobre M. incognita na soja, verificaram maior eficiência de controle do nematoide com aplicação única de manipueira e estimaram uma CL50 de 4,37% de manipueira que ocasionou mortalidade de 50% dos nematoides na raiz.
Para os números de galhas (Figura 2C) e de massas de ovos (Figura 2D) de M. javanica, os melhores resultados foram observados com a aplicação parcelada da manipueira. Nas concentrações de 13,20 e 5,75% houve uma redução de 50% nessas variáveis, em relação à testemunha. As máximas reduções dessas variáveis, de 67,72 e 68,10%, foram obtidas para as concentrações de 40 e 20% de manipueira, respectivamente. Com a aplicação única foram necessárias maiores concentrações de manipueira, 33,60 e 16,62%, para atingir o decréscimo de 50% dos números de galhas e de massas de ovos. A maior redução dessas variáveis com a aplicação única, 79,84 e 61,88%, foi obtida com manipueira nas concentrações de 100 e 40%, respectivamente.
Os resultados para os números de galhas e de massas de ovos encontrados neste estudo demonstram que o fracionamento da manipueira em duas aplicações proporcionou maior controle, refletido no menor número de galhas e massas de ovos nas raízes. Esses resultados corroboram com os de Estevez (2008), que ao avaliar o efeito da manipueira em cafeeiros infectados com o mesmo gênero deste estudo, obteve maior eficácia no controle do nematoide quando a manipueira, nas concentrações de 10 e 50%, foi aplicada de forma intercalada a cada 30 dias.
A manipueira já foi utilizada em condições de campo com efeito satisfatório. Ponte e Franco (1981), já haviam trabalhado com diferentes volumes de manipueira na concentração de 50%, em solo previamente infestado com M. javanica e M. incognita, e os melhores resultados foram observados a partir da aplicação de 1-1,5 L de manipueira, o que proporcionou o desenvolvimento de plantas de tomate sem galhas, ao contrário das plantas não tratadas, que apresentaram alto índice de galhas nas raízes. Resultado similar foi observado por Baldin et al. (2012), que ao testarem o efeito da manipueira a 50% no controle do nematoide das galhas em cenoura observaram que o número de galhas nas raízes secundárias teve uma redução em 43,88% relativamente à testemunha.
No entanto, a manipueira apresenta padrões de eficácia ao longo do tempo similares aos observados com os produtos sintéticos. Barbosa et al. (2008), afirmaram que o efeito erradicante da manipueira a 60% sobre Scutellonema bradys, em túberas de inhame, se fez sentir com maior intensidade somente nos primeiros 30 dias e que ao longo do desenvolvimento da cultura o seu efeito se foi reduzido progressivamente. À semelhança dos nematicidas sintéticos, a perda de eficácia da manipueira vai acontecendo à medida que se vai dando a degradação dos seus componentes sob o efeito de diversos fatores como a temperatura, pH da água, tipo de solo, forma de aplicação, etc.
Quanto aos números de ovos de M. javanica na raiz (Figura 2E) e no solo (Figura 2F), houve decréscimo exponencial dessas variáveis em função das concentrações empregadas, com redução de 50% nas concentrações de manipueira de 9,17 e 11,03%, respectivamente. Redução mais expressiva do número de ovos na raiz (67,73%), foi observada com manipueira a 30%. Para o número de ovos no solo foi necessária uma concentração de manipueira de 40% para uma redução de 79,07%. Nasu (2008) demonstraram que em plantas de tomateiro inoculadas com M. incognita, em casa de vegetação, o tratamento com manipueira na concentração de 25%, reduziu em 85% o número de ovos, relativamente à testemunha. Esses resultados também estão de acordo com os obtidos por Nasu et al. (2010), que ao utilizarem manipueira a 10%, obtiveram uma redução de 84,62% no número de ovos no sistema radicular do tomateiro.
Para o fator de reprodução (FR) de M. javanica em plantas de soja, houve diferenças significativas entre as formas de aplicação de manipueira, com destaque para a aplicação única que reduziu o valor do FR em 23,42% comparativamente com a aplicação parcelada (Quadro 2). Após a aplicação de manipueira na CL50 (33,93%) o valor do FR foi reduzido em 50%. Redução mais elevada nessa variável foi observada com a concentração de 70%, que reduziu o FR de 2,89 na testemunha para 0,91, com uma percentagem de decréscimo de 68,44% (Figura 3). Esses valores do fator de reprodução indicam que a manipueira age de forma letal sobre os nematoides que tiveram contato com o produto reduzindo o seu número a sua reprodução. Nasu (2008) demonstraram que o tratamento de manipueira na concentração de 25% estabeleceu um menor fator de reprodução comparado com a testemunha. Fonseca et al. (2016), verificaram que com aplicação de 20% de manipueira via solo, reduziu o valor do FR (5,62) da testemunha em 71,99%, atingindo valor de 1,58. De acordo com os autores, os melhores resultados com concentrações de manipueira menores que 50% ocorrem, devido provavelmente, pela menor viscosidade da manipueira e maior facilidade de penetração no solo, apresentando uma ação mais rápida e efetiva.
Inúmeros resultados promissores obtidos pelo uso da manipueira no controle de pragas (Jesus e Mendonça, 2012), patógenos microbiológicos (Freire, 2001) e nematoides (Ponte e Franco, 1981; Nasu et al. (2010); Fonseca et al. (2016)), fazem despertar o interesse de pequenos e médios agricultores, na busca da redução dos custos de produção. Contudo, estudos futuros em condições de campo com manipueira é de fundamental relevância para viabilizar o uso dessa substância em cultivos com soja.
CONCLUSÕES
A aplicação única de manipueira age de forma letal sobre os nematoides, reduzindo a sua reprodução, e favorece o crescimento e desenvolvimento do sistema radicular da soja. A aplicação parcelada de manipueira apresenta maior efeito na redução dos números de galhas e massas de ovos de M. javanica. As concentrações de manipueira letais (CL50) aos nematoides no solo e na raiz são de 37,90% e 29,67%, respectivamente.
REFERÊNCIAS BIBLIOGRÁFICAS
Almeida, N.S.; Carmo, D.O.; Souza, J.T. & Soares, A.C.F. (2007) - Efeito da manipueira no controle de Scutellonema bradys e na germinação de túberas de inhame. Fitopatologia Brasileira, vol. 32, p. 234. Suplemento. [ Links ]
Araujo, F.F.; Bragante, R.J. & Bragante, C.E. (2012) - Controle genético, químico e biológico de meloidoginose na cultura da soja. Pesquisa Agropecuária Tropical, vol. 42, n. 2, p. 220-224. http://dx.doi.org/10.5216/pat.v42i2.17183 [ Links ]
Baldin, E.L.L.; Wilcken, S.R.S.; Pannuti, L.E.R.; Schlick-Souza, E.C. & Vanzei, F.P. (2012) - Uso de extratos vegetais, manipueira e nematicida no controle do nematoide das galhas em cenoura. Summa Phytopathologica, vol. 38, n. 1, p. 36-41. [ Links ]
Barbosa, L.M.; Amorim, E.P.R.; Costa, V.K.S. & Peixinho, G.S. (2008) - Efeito de extratos vegetais sobre Scutellonema bradys, agente causal da casca preta do inhame. Tropical Plant Pathology, vol. 33, p. 119. [ Links ]
Bonetti, J.I.S. & Ferraz, S. (1981) - Modificações do método de Hussey & Barker para extração de ovos de Meloidogyne exigua em raízes de cafeeiro. Fitopatologia Brasileira, vol. 6, n. 3, p. 553. [ Links ]
Camara, G.R. (2015) - Toxicidade de manipueira sobre Meloidogyne spp. Dissertação de Mestrado em Produção Vegetal. Universidade Federal do Espírito Santo, Vitória, Brasil. 48 p. [ Links ]
Cassoni, V. & Cereda, M.P. (2011) - Avaliação do processo de fermentação acética da manipueira. Revista Energia na Agricultura, vol. 26, n. 4, p. 101-113. http://dx.doi.org/10.17224/EnergAgric.2011v26n4p101-113 [ Links ]
Cereda, M.P. & Fioretto, A.M.C. (1981) - Potencial de água residual de fecularia. In: Congresso Brasileiro de Mandioca. Embrapa CNPMF. Cruz das Almas, BA, p. 147-183. [ Links ]
Comerlato, A.P. (2009) - Efeito de manipueira no controle do nematóide de cisto da soja Heterodera glycines Ichinohe. Dissertação de Mestrado em Agronomia. Universidade Estadual do Oeste do Paraná, Cascavel, Brasil. 47 p. [ Links ]
Conab (2016) - Companhia nacional de abastecimento. Acompanhamento de safra brasileira: grãos. Brasília, Décimo primeiro levantamento, vol. 3, p. 1-176. [ Links ]
Coolen, W.A. & DHerde, C.J. (1972) - A method for the quantitative extraction of nematodes from plant tissue. State of Nematology and Entomology Research Station, Ghent, Belgium. 77 p. [ Links ]
Dias, W.P.; Garcia, A.; Silva, J.F.V. & Carneiro, G.E.S. (2010) - Nematoides em Soja: Identificação e Controle. Londrina: EMBRAPA. Circular Técnica 76. 8 p. [ Links ]
Embrapa (2010) - Tecnologias de produção de soja região central do Brasil 2011. Londrina, Embrapa soja, Embrapa Cerrados: Embrapa Agropecuária Oeste. 255 p. [ Links ]
Estevez, R. L. (2008) - Controle alternativo de Meloidogyne paranaensis em cafeeiro com aplicação de manipueira. Monografia de Graduação em Agronomia. Universidade Estadual do Oeste do Paraná, Cascavel, Brasil. 44 p. [ Links ]
Ferraz, L.C.C.B. (2006) - O nematóide Pratylenchus brachyurus e a soja sob plantio direto. Revista Plantio Direto, vol. 96, p. 23-27. [ Links ]
Fioretto, R.A & Brinholi, O. (1985) - Possibilidade de controle de plantas invasoras com a aplicação de manipueira. Energia na Agricultura, p. 3-9. [ Links ]
Fonseca, W.L.; Almeida, F.A.; Oliveira, A.M.; Tiburtino Leite, M.L.; Prochnow, J.T. & Ramos, L.R. (2016) - Toxicity of manipueira to Meloidogyne incognita in soybean. Pesquisa Agropecuária Tropical, vol. 46, n. 4, p. 413-420. http://dx.doi.org/10.1590/1983-40632016v4641867 [ Links ]
Formentini, H.M.; Cruz, M.I.F.B.; Seifer, K.; Nasu, E.C.G.; Pio, R. & Furlanetto, C. (2008) - Controle de Meloidogyne incognita em plantas de figo da cultivar Roxo de Valinhos com aplicação de manipueira. Tropical Plant Pathology, vol. 33, p. 257. [ Links ]
Freire, F.C.O. (2001) - Uso da manipueira no controle do oídio da cirigueleira: resultados preliminares. Comunicado Técnico 70. Embrapa Agroindústria Tropical. Fortaleza. [ Links ]
Freitas, L.G.; Oliveira, R.D.L. & Ferraz, S. (2001) - Introdução à nematologia. Editora UFV, Viçosa. 84 p. [ Links ]
Gardiano, C.G.; Ferraz, S.; Lopes, E.A.; Ferreira, P.A.; Amora, D.X. & Freitas, L.G. (2009) - Avaliação de extratos aquosos de várias espécies vegetais, aplicados ao solo, sobre Meloidogyne javanica (Treub, 1885) Chitwood. Semina: Ciências Agrárias, vol. 30, n. 3, p. 551-556. http://dx.doi.org/10.5433/1679-0359.2009v30n3p551 [ Links ]
Hartman, K.M. & Sasser, J.N. (1985) - Identification of Meloidogyne species on the basis of differential host test and perineal-pattern morphology. In: Barker, K.R. & Carter, C.C. (Eds.) - An advanced treatise on Meloidogyne. North Carolina State University Graphics, Raleigh. vol. 1, p. 95-112. [ Links ]
Hussey, R.S. & Barker, K.R. (1973) - A comparison of methods of collecting inocula of Meloidogyne spp. including a new technique. Plant Disease Reporter, vol. 57, p. 1025-1028. [ Links ]
Jenkins, W.R. (1964) - A rapid centrifugal-flotation technique for separating nematodes from soil. Plant Disease Reporter, vol. 48, n. 9, p. 692. [ Links ]
Jesus, S.C.P. & Mendonça, F.A.C. (2012) - Atividade do extrato aquoso da manipueira sobre a mortalidade e reprodução do pulgão da couve. Revista Brasileira de Ciências Agrárias, vol. 7, p. 826-830. [ Links ]
Magalhães, C.P.; Xavier Filho, J. & Campos, F.A.P. (2000) - Biochemical basis of the toxicity of manipueira (liquid extract of cassava roots) to nematodes and insects. Phytochemical Analysis, vol. 11, n. 1, p. 57-60. http://dx.doi.org/10.1002/(SICI)1099-1565(200001/02)11:1<57::AID-PCA489>3.0.CO;2-E [ Links ]
Nasu, E.G.C. (2008) - Composição química da manipueira e a sua potencialidade no controle de Meloidogyne incognita em tomateiro no Oeste do Paraná. Dissertação de Mestrado em Agronomia. Universidade Estadual do Oeste do Paraná, Cascavel, Brasil. 56 p. [ Links ]
Nasu, G.C.; Pires, E.H.; Formentini, M. & Furlanetto, C. (2010) - Efeito de manipueira sobre Meloidogyne incognita em ensaios in vitro e em tomateiros em casa de vegetação. Tropical Plant Pathology, vol. 35, n. 1, p. 32-36. http://dx.doi.org/10.1590/S1982-56762010000100005 [ Links ]
Oostenbrink, R. (1966) - Major characteristics of the relation between nematodes and plants. Mededeelingen der Landbouw-Hoogeschool, vol. 66, p. 1-46. [ Links ]
Ponte, J.J. & Franco, A. (1981) - Manipueira, um nematicida não convencional de comprovada potencialidade. Sociedade Brasileira de Nematologia, vol. 5, p. 25-33. [ Links ]
Ponte, J.J. (2001) - Uso da manipueira como insumo agrícola: Defensivo e Fertilizante. In: Cereda, M.P. (Ed.) anejo, uso e tratamento de subprodutos da industrialização da mandioca. Fundação Cargill, São Paulo. p. 80-95. [ Links ]
Santos, T.F.S.; Ribeiro, N.R.; Polizel, A.C.; Matos, D.S. & Fagundes, E.A.A. (2011) - Controle de Pratylenchus brachyurus em esquema de rotação/sucessão com braquiária e estilosantes. Enciclopédia Biosfera, vol. 7, n. 13, p. 248-254. [ Links ]
Silva, G.S.; Santos, J.M. & Ferraz, S. (1988) - Novo método de coloração de ootecas de Meloidogyne sp. Nematologia Brasileira, vol. 12, p. 6-7. [ Links ]
Silva, M.O.S.A. (1998) - Análise Físico-química. Cetesb. [ Links ]
Vilas-Boas, L.C.; Tenente, R.C.V.; Gonzaga, V.; Neto, S.P.S. & Rocha, H.S. (2002) - Reação de clones de bananeira (Musa spp.) ao nematóide Meloidogyne incognita (Kofoid & White, 1919) Chitwood, 1949, Raça 2. Revista Brasileira de Fruticultura, vol. 24, n. 3, p. 690-693. http://dx.doi.org/10.1590/S0100-29452002000300030 [ Links ]
Recebido/received: 2017.01.31
Recebido em versão revista/received in revised form: 2017.04.05
Aceite/accepted: 2017.06.09













