Serviços Personalizados
Journal
Artigo
Indicadores
-
Citado por SciELO -
Acessos
Links relacionados
-
Similares em
SciELO
Compartilhar
Revista de Ciências Agrárias
versão impressa ISSN 0871-018X
Rev. de Ciências Agrárias vol.40 no.3 Lisboa set. 2017
https://doi.org/10.19084/RCA16055
ARTIGO
Desempenho agronómico e qualidade sanitária de sementes de soja em resposta à adubação potássica
Agronomic performance and sanitary quality of soybean seeds in response to potassium fertilization
Everton Vinicius Zambiazzi1,*, Adriano Teodoro Bruzi1, Alan Mario Zuffo2, Igor Oliveri Soares1,Alan Eduardo Seglin Mendes1, Ana Luiza Ribeiro Teresani1, Raoni Gwinner1, João Paulo Santos Carvalho1 e Silvino Guimarães Moreira3
1 Universidade Federal de Lavras, Dpto. de Agricultura, Campus Universitário, CEP: 37200-000, Lavras, MG, Brasil;
2 Universidade Estadual de Mato Grosso do Sul, Dpto. de Produção Vegetal, Unidade Universitário de Cassilândia, MS 306, km 6,4, CEP: 79540-000, Cassilândia, MS, Brasil;
3 Universidade Federal de São João del Rei, Dpt. de Ciências Agrárias, CEP: 35701-970, Sete Lagoa, MG, Brasil.
(*E-mail: everton_zambiazzi@hotmail.com)
RESUMO
O potássio é o segundo nutriente mais exportado pela cultura da soja. Dessa forma, sua disponibilidade no solo pode influenciar tanto o rendimento da cultura, como a qualidade e composição química das sementes de soja. Este trabalho teve como objetivo avaliar o efeito da adubação potássica sobre caracteres agronómicos, teor de óleo e qualidade sanitária de sementes de soja. Os ensaios decorreram no ano agrícola 2012/13 em dois locais distintos no Estado de Minas Gerais, Brasil. O delineamento experimental constou de um esquema em blocos casualizado, com três repetições, e tratamentos dispostos em esquema fatorial 4 x 6, com quatro cultivares (TMG 127 RR, TMG 1179 RR, BRSMG 850GRR, NA7255 RR) e seis doses de potássio (0, 40, 80, 120, 160 e 200 kg.ha-1). Foram avaliados o rendimento, altura de plantas, inserção de primeira vagem, acama de plantas, teor de óleo e a sanidade de sementes. O aumento nas doses de potássio alterou a composição química das sementes e incrementou significativamente o teor de óleo; no entanto, não houve efeito para os caracteres agronómicos e o rendimento de grãos. Os níveis de patógenos nas sementes aumentaram à medida que se diminui o fornecimento de potássio para as plantas.
Palavras-chave: Glycine max (L.) Merril, macronutriente, teor de óleo.
ABSTRACT
Potassium is the second most exported nutrient for soybean. Thus, their availability in the soil can influence both crop yield, the quality and chemical composition of soybean seeds. The objective of this work was to evaluate the effect of potassium fertilization on agronomic traits, oil content and sanitary quality of soybean seeds. The trials took place in the agricultural year 2012/13 in two separate locations in the state of Minas Gerais, Brazil. The experimental design consisted of a randomized block design, with three replications, and treatments arranged in a factorial scheme 4 x 6, with four cultivars (TMG 127 RR, TMG 1179 RR, BRSMG 850GRR, NA7255 RR) and six doses potassium (0, 40, 80, 120, 160 and 200 kg ha-1). They evaluated the yield, plant height, first pod insertion, plants lodging, oil content and seed health. The increase in potassium levels altered the chemical composition of seeds and increased significantly oil content; however, there was no effect on the agronomic characteristics and grain yield. The contents of the seed pathogens increase as it decreases the potassium supply to the plants.
Keywords: Glycine max (L.) Merril, macronutrient, oil content.
INTRODUÇÃO
A soja (Glycine max (L.) Merrill) é uma das culturas que mais cresceram nas últimas três décadas e sua área de cultivo corresponde atualmente a mais de 50% de toda área cultivada com grãos no Brasil. A grande área de cultivo de soja (33 milhões de hectares, CONAB, 2016) e sua expansão para novos Estados, enfatizam a necessidade aumentar o rendimento e a qualidade das sementes produzidas.
O manejo inadequado dos nutrientes é um dos principais fatores limitantes da produção (Sediyama, 2016). Os nutrientes também influenciam a composição química das sementes e, dessa forma, um adequado fornecimento de nutrientes além de afetar o desenvolvimento das plantas também influencia a composição química das sementes (Veiga et al., 2010).
O potássio (K) é o segundo nutriente mais absorvido e exportado pelas plantas de soja, sendo que em cada 1.000 kg de sementes produzidas são exportados 20 kg de K2O (Mascarenhas et al., 2004). Este nutriente é essencial em quase todos os processos necessários à vida da planta, desempenhando funções vitais como abertura e fecho dos estomas, transporte de carboidratos e outros compostos, além de ativar muitas enzimas envolvidas na respiração e fotossíntese (Myers et al., 2005; Taiz e Zeiger, 2012).
O potássio é essencial na síntese e no transporte de óleo e influencia no transporte de fotoassimilados para as sementes (Mascarenhas et al., 1988), desempenhando efeito positivo sobre o teor de óleo (Usherwood, 1994). Alguns autores mostram a importância de manter alta a concentração de potássio no tecido vegetal e sementes, sendo que nas sementes a maior disponibilidade de potássio está positivamente associada com a produção e qualidade (Vyn et al., 2002). A deficiência de potássio, além de prejudicar o funcionamento de várias enzimas e facilitar a penetração dos fungos patogênicos nas plantas, provoca a diminuição na taxa fotossintética e, consequente redução na qualidade das sementes (Sfredo, 2008).
O fornecimento adequado do potássio pode reduzir os problemas da haste e vagem provocados por Phomopsis; crestamento foliar e mancha púrpura das sementes provocados por Cercospora kikuchii) e também os problemas de cancro da haste provocados por Diaporthe phaseolorum f.sp. meridionalis (Mascarenhas et al., 2004). Contudo, na literatura há poucas informações sobre o efeito do potássio no teor de óleo e qualidade sanitária de sementes de soja. Foi objeto neste trabalho avaliar o efeito da adubação potássica sobre caracteres agronómicos, teor de óleo e qualidade sanitária de sementes de soja.
MATERIAL E MÉTODOS
Os ensaios de campo foram conduzidos em dois locais no estado de Minas Gerais durante o ano agrícola 2012/2013, São Gotardo e Lavras, MG. A fazenda experimental no município de São Gotardo está situada à latitude de 19º 12 S e longitude 46º 10 W com altitude de 1132 m. Em Lavras, está situada à latitude de 21º 12 S, longitude 44º 58 W e altitude de 955 m. A pluviometria e temperatura média mensal durante o período de condução dos ensaios registrados nos dois locais (Figura 1), foram disponibilizados pelo Instituto Nacional de Meteorologia - INMET.
A área experimental no município de São Gotardo possui solo do tipo Latossolo Vermelho Amarelo Ácrico Típico, de acordo com o Sistema Brasileiro de Classificação de Solos (EMBRAPA, 2013a). As características químicas na profundidade de 0 a 20 cm do solo, foram: matéria orgânica equivalente a 4,7 dag kg‑1; pH (H2O): 5,3; P, K, Ca, Mg, H+Al e Al respectivamente 28,1; 103 mg dm‑3; 3,6; 1,1; 7,0 e 0,08 cmol dm‑3, saturação por bases de 41% e teor de argila de 50%. Em Lavras, a área experimental apresenta solo do tipo Latossolo Vermelho Distroférrico Típico, conforme o Sistema Brasileiro de Classificação de Solos (EMBRAPA, 2013a). As características químicas na profundidade de 0 a 20 cm do solo foram: matéria orgânica equivalente a 2,6 dag kg‑1; pH (H2O): 5,9; P, K, Ca, Mg, H+Al e Al respectivamente 7,2; 118 mg dm‑3; 4,7; 1,3; 2,9 e 0 cmol dm‑3, saturação por bases de 69% e teor de argila de 64%. As determinações químicas foram executadas de acordo com os procedimentos descritos pela Embrapa (2009), em que os teores disponíveis de P e K foram extraídos com a solução extrator Mehlich 1, conhecida como duplo-ácida (HCl 0,05 mol L‑1 + H2SO4 0,0125 mol L‑1). Por sua vez, teores de Ca, Mg e Al foram extraídos com o extrator KCl 1 mol L‑1. A acidez potencial (H+Al) foi extraída do solo com acetato de cálcio (0,5 mol L‑1), com pH ajustado a 7,0, seguida de determinação por titulação alcalimétrica.
A preparação do terreno envolveu a sementeira direta, com eliminação prévia das infestantes na área, utilizando-se 960 g.ha‑1 da substância ativa glifosato. Em seguida, realizou-se a abertura dos regos utilizando um semeador acoplado a um trator. Simultaneamente a esta operação foi realizada adubação de P2O5 com 200 kg.ha‑1 de Super Fosfato Triplo (45%). As parcelas experimentais foram constituídas por quatro linhas, com 5 m de comprimento, espaçadas em 0,50 m, sendo a área de cada parcela 10 m2 (5 m × 2 m).
Os ensaios de campo foram conduzidos no delineamento estatístico de blocos casualizados com três repetições, e tratamentos dispostos em um esquema fatorial 4 × 6, com quatro cultivares TMG 127 RR, TMG 1179 RR, BRSMG 850GRR e NA 7255 RR (Quadro 1) e seis doses de potássio (0, 40, 80, 120, 160 e 200 kg.ha‑1 de K2O). A fonte de potássio utilizada foi o cloreto de potássio (KCl) com 60% K2O. As diferentes doses de K2O foram aplicadas manualmente, em maior profundidade, no rego de plantio seguido pela incorporação.
A sementeira foi realizada de forma manual logo após a adubação, na primeira quinzena do mês de Novembro, nos dois locais de produção, adotando-se densidade de 30 sementes/m2. Após a sementeira, foi realizada a inoculação diretamente no rego, de acordo com metodologia recomendada pela EMBRAPA (2013b), com as bactérias Bradyrhizobium japonicum na dose de 18 mL p. c. kg‑1 de semente - estirpes SEMIA 5079 e 5080, contendo 10.8 × 106 UFC/sementes do inoculante Nitragin Cell Tech HC® (3×109 UFC/mL).
O controlo de infestantes em pós-emergência foi realizado utilizando-se 960 g.ha‑1 da substância ativa glifosato. Para o controlo de pragas foram utilizados os inseticidas com as substâncias ativas clorpirifos para controlo de lagartas e tiametoxam para controlo de percevejos na dose recomendado pelo fabricante.
O controlo de doenças foi realizado por meio de duas aplicações preventivas com fungicidas químicos com as substancias ativas piraclostrobina + epoxiconazol e trifloxistrobina + protioconazol, na dose recomendada pelo fabricante, aplicadas respectivamente nos estádios reprodutivos R2 e R5.
Para as avaliações e colheita foram consideradas como área útil as duas linhas centrais, descartando-se 0,50 m das extremidade das duas linhas. A colheita foi realizada manualmente quando as plantas se encontravam na fase R8 - maturação plena (Fehr et al., 1971) e a debulha de forma mecânica com auxílio de trilhadora Vencedora modelo Maqtron®.
Os caracteres avaliados foram:
Altura de plantas - medida por meio de uma régua milimétrica, disposta ao lado da planta, registrando-se o valor (cm) do solo ao ápice da planta, em cinco plantas aleatórias da parcela, obtendo-se o valor médio.
Inserção de primeira vagem medida por meio de uma régua milimétrica, disposta ao lado da planta, registrando-se o valor (cm) do solo até a primeira vagem da planta, em cinco plantas aleatórias da parcela, obtendo-se o valor médio.
Acama das plantas - estimada de acordo com a escala proposta por Bernard et al. (1965), atribuindo-se notas de (1 - 5), sendo 1 quando a parcela apresentava todas as plantas eretas e 5 quando a parcela apresentava acamamento igual ou superior a 80% das plantas.
Rendimento - determinada a partir da colheita das duas linhas centrais de cada parcela; após a pesagem e correção da umidade das sementes para 13%, estimou-se o rendimento (kg.ha‑1).
Teor de óleo - em cada uma das parcelas de campo foi retirada uma amostra representativa (100 g) de cada tratamento, utilizando-se três repetições, e avaliadas conforme proposto por Heil (2010).
Sanidade de sementes - foi avaliada pelo método Blotter-test, com cinco repetições de 40 sementes, utilizando o delineamento inteiramente casualizado. As placas foram mantidas em sala de incubação a 20ºC e fotoperíodo de 12 h, por sete dias, e posteriormente, avaliadas quanto à presença de patógenos associados às sementes.
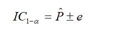
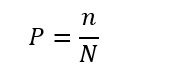
As análises de variâncias individual e conjunta foram realizadas adotando o modelo estatístico e o procedimento de análise semelhante ao apresentado por Ramalho et al. (2012). Para os fatores qualitativos adotou-se o agrupamento pelo teste de Scott-Knott (1974). A análise de regressão foi aplicada para estudar as fontes de variação quantitativas. A sanidade de sementes foi avaliada por meio do intervalo de confiança para proporções (P) conforme proposto por Ramalho et al. (2012), utilizando a equação abaixo, pela aproximação de Poisson, ao nível de 5% de significância.
em que:
P é a proporção de indivíduos com incidência de patógenos;
n é o número de indivíduos com incidência de patógenos na amostra;
N é o número de indivíduos totais da amostra.
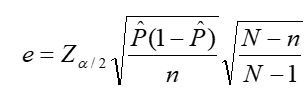
Quando se realiza análise de intervalo de confiança para proporção, a distribuição é de Poisson, conforme estimador apresentado abaixo.
em que:
, sendo Zα/2 o valor tabelado na distribuição normal padronizada com nível de significância α/2.
é a proporção observada do evento
n é o tamanho da amostra
N refere-se ao tamanho populacional
A interpretação dos resultados foi realizada de acordo com os limites inferiores e superiores do intervalo de confiança. Na estimação por intervalo, considerando o nível de confiança de 95% pode-se inferir que o real valor associado a estimativa, isto é proporção de patógenos, está contido no intervalo obtido. Todas as análises foram realizadas com o auxílio do pacote estatístico SISVAR® (Ferreira, 2011).
RESULTADOS E DISCUSSÃO
Detectou-se diferença significativa entre as cultivares e locais de produção para todos os caracteres. Este fato era esperado, pois as cultivares são de diferentes procedências (Quadro 1), propiciando assim a existência de variação. De acordo com Soares et al. (2015a) e Felisberto et al. (2015), as cultivares tem características diferentes quanto ao background genético, hábito de crescimento, grupo de maturação e outros atributos, propiciando a existência de variações, evidenciando a importância de se realizar sobretudo, ensaios de campo em locais distintos.
Para as doses de potássio, observou-se diferença somente para o caráter teor de óleo nas sementes. A resposta não significativa da produtividade à adubação potássica pode ser explicada pela elevada fertilidade natural do solo nas áreas em que os ensaios foram conduzidos (Pettigrew, 2008).
Em relação ao rendimento, o município de São Gotardo apresentou produção 28,2% superior aos rendimentos observados em Lavras. Uma possível explicação para este fato pode estar relacionada com as condições edafoclimáticas (Figura 1). A faixa de necessidade hídrica para que a cultura da soja complete seu ciclo fisiológico varia de 450 a 800 mm (Embrapa, 2013b). Houve excesso de precipitação principalmente no município de Lavras, que acumulou 536 mm acima do máximo exigido, aumentando a ocorrência e disseminação de patógenos como a ferrugem asiática, mancha parda, cercosporiose, mancha púrpura, antracnose, entre outros (Embrapa, 2013b; Godoy et al., 2014), influenciando diretamente o desempenho agronômico médio das cultivares inseridas neste ambiente.
As médias relativas as cultivares, envolvendo todos os caracteres, estão apresentados no Quadro 2. Para o rendimento, foi observado melhor desempenho para a cultivar TMG 1179 RR com 4293 kg.ha‑1, opondo-se a cultivar TMG 127 RR que produziu apenas 2988 kg.ha‑1. Contudo, deve-se destacar que este valor alcançado supera a média de rendimento nacional na colheita do ano 2012/13 que foi de 2903 kg.ha‑1 (Quadro 2).
O rendimento é muito influenciado por vários fatores ambientais, como precipitação, temperatura e fotoperíodo (Guimarães et al., 2008), e o potencial de rendimento pode ser definido como a produção de uma cultivar no local ao qual está adaptada, sem limitações edafoclimáticas e nutricionais, livre da ação de pragas e doenças e com os demais estresses efetivamente controlados (Soares et al., 2015b). No presente trabalho, deve-se destacar a ocorrência de elevada precipitação durante a condução dos ensaios, acarretando assim uma maior ocorrência de fungos e consequente redução no rendimento.
Na cultura da soja além do rendimento outras características agronómicas são de interesse e desejáveis, como a altura de plantas, altura de inserção da primeira vagem e acama das plantas, sendo estas características dependentes do genótipo, fatores ambientais, fertilidade do solo, clima, ano agrícola, humidade, dentre outros (Lambert et al., 2007).
Observando os dados referentes à altura média das plantas, nota-se que as cultivares apresentaram diferenças significativas para este caráter. As maiores estimativas de altura foram observadas nas cultivares TMG 1179 RR e NA 7255RR respectivamente com médias de 83,06 e 80,44 cm, e a menor altura de plantas foi observada nas cultivares TMG 127 RR e BRSMG 850GRR com 78,66 e 75,32 cm, respectivamente. As cultivares comerciais normalmente apresentam altura média de 60 a 120 cm (Borém, 2000). Preconiza-se que as cultivares de soja modernas apresentem altura de planta entre 60 a 110,0 cm, não apenas para se obter alto rendimento, mas também para otimizar o ganho operacional das colhedoras durante a colheita (Shigihara e Hamawaki, 2005).
A altura de planta é uma característica essencial, uma vez que se relaciona com o rendimento, controle de plantas daninhas (fechamento da entrelinha da cultura mais rápido) e também com as perdas durante a operação de colheita mecânica. As variações na altura de plantas podem ser influenciadas pela época de semeadura, espaçamento, disponibilidade de água, temperatura, fertilidade do solo e outros parâmetros ambientais, como o fotoperíodo (Rocha et al., 2012).
Para se obter um elevado rendimento operacional da colhedora, associado à minimização de perdas de colheita, recomenda-se que, em terrenos planos, as cultivares de soja apresentem inserção da primeira vagem igual ou superior a 10,0 cm (Valadão Junior et al., 2008). Entretanto, para a maioria das áreas de produção de soja a altura satisfatória para a cultura está em torno de 12 a 15 cm (Marcos Filho, 1986), embora ceifeiras mais modernas possam efetuar boa colheita com plantas apresentando inserção da primeira vagem a 10 cm (Rocha et al., 2012). No presente trabalho, todas as cultivares apresentam inserção da primeira vagem apropriadas, conforme descrito na literatura, onde os maiores valores de inserção da primeira vagem foram observados nas cultivares TMG 127 RR, NA 7255 RR e BRSMG 850GRR respectivamente com 13,66; 13,15 e 12,29 cm.
A acama das plantas é uma característica muito influenciada pelo tipo de solo e pelas condições de desenvolvimento da planta. Em geral, as plantas de soja apresentam maior acama em solos férteis e pesados, com humidade abundante, relativamente aos solos leves e arenosos. Outro ponto a ser considerado refere-se à altura da planta; normalmente, plantas altas poderão proporcionar um maior acama das plantas, por apresentarem caules mais finos, ficando sujeitas à queda pela ação dos ventos (Rocha et al., 2001; Guimarães et al., 2008).
Para esta característica foram obtidos resultados que evidenciam que a cultivar TMG 1179 RR apresentou maior acama com valor médio de 1,64, isto é, registram-se algumas plantas acamadas. As demais cultivares variaram entre 1,03 e 1,36 (algumas plantas ligeiramente inclinadas). A acama afeta diretamente o desempenho das ceifeiras, pois plantas acamadas significam perdas no rendimento, pela incapacidade da colheita das vagens, além de poder ocasionar perdas provocadas pelo contato direto do solo com as vagens, e aparecimento de fungos e pragas comprometendo a sanidade e a qualidade das sementes (Shigihara e Hamawaki, 2005).
No que respeita à característica teor de óleo nas sementes é evidente, por meio das médias apresentadas no Quadro 2, que as cultivares diferiram entre si, obtendo teores de óleo variando de 23,45 a 20,23 para as cultivares TMG 127 RR e TMG 1179 RR, respectivamente. Este resultado já era esperado, uma vez que as cultivares são de diferentes procedências (Quadro 1) e o caráter em questão é controlado geneticamente, bem como, influenciados pelo ambiente, principalmente durante o período de enchimento dos grãos (Minuzzi et al., 2009). Considerando os resultados, evidencia-se também que há influência das doses do potássio (p ≤ 0,01) no incremento do teor de óleo nas sementes (Figura 2). Esses resultados confirmam a importância do potássio na síntese e transporte de óleo para as sementes. O resultado pode ser explicado pelo papel do potássio no transporte de fotoassimilados para as sementes, permitindo a síntese de óleo nos mesmos (Usherwood, 1994).
Em várias pesquisas tem sido observado que os fornecimentos dos nutrientes em níveis adequados podem influenciar de forma positiva a qualidade sanitária das sementes (Veiga, 2007). Muitos patógenos, na maioria fungos, podem estar associados às sementes de soja (Patricio et al., 1991). A incidência de organismos patogénicos nas sementes depende também, do local de produção da semente, das tecnologias de cultura realizados durante o ciclo cultural, das condições climáticas, do controlo químico e também da resistência varietal do genótipo cultivado (Ávila et al., 2003; Lacerda et al., 2003).
Na avaliação sanitária das sementes foram identificados a incidência de Colletotrichum sp., Phomopsis sp., Fusarium sp., Alternaria sp. e Cercospora kikuchii. As proporções de patógenos considerando todos os locais de produção, de acordo com a análise de intervalo de confiança, destacam maior presença de Colletotrichum sp. e Fusarium sp. (Figura 3A e Quadro 3).
As sementes representam uma das vias mais eficientes de transportes de patógenos e, por consequência, da transmissão de doenças. Do ponto de vista sanitário, a semente ideal estaria isenta de qualquer micro-organismo indesejável. Porém, isso nem sempre é possível, uma vez que a qualidade das sementes é altamente influenciada pelas condições climáticas sob as quais são produzidas e armazenadas. Além disso, essas condições variam de ano para ano e de região para região (Chitarra, 2003). No presente trabalho foi observado maior incidência de patógenos nas sementes produzidas em Lavras (Figura 3B e Quadro 3), enquanto em São Gotardo verificou-se incidência de patógenos 44% menor, quando comparado as sementes produzidas em Lavras. Este fato pode ser atribuído às condições climáticas, como temperatura e precipitação, que foram superiores em Lavras, principalmente no momento de colheita, ocasionando ambiente mais favorável à ocorrência e propagação das doenças. Considerando a qualidade sanitária de sementes de soja em relação ao local de produção, Costa et al. (2003) verificaram diferenças de 13,2 a 17,6% na incidência total de fungos em sementes de soja produzidas em três diferentes regiões do Paraná.
No que respeita as cultivares em estudo, verificou-se maior incidência de patógenos nas cultivares TMG 127 RR e NA 7255 RR (Figura 3C e Quadro 3). Estes resultados corroboram os obtidos para as estimativas de rendimento, em que as cultivares que apresentaram menor rendimento, apresentaram maior incidência de patógenos.
Em relação às doses de potássio, foi observado maior incidência de patógenos nos tratamentos sem adição deste nutriente (Figura 3D e Quadro 3). Apesar de não se verificarem diferenças significativas com o aumento das doses, foi observado decréscimo na incidência de patógenos com doses crescentes. A maior disponibilidade de potássio está positivamente associada com a maior qualidade sanitária das sementes (Vyn et al., 2002). As proporções de patógenos nas sementes aumentam na medida que se diminui o fornecimento de potássio para as plantas, predispondo as sementes à infecção por inúmeros patógenos (Sfredo, 2008).
CONCLUSÕES
A maior disponibilidade de potássio, com o aumento nas doses, propiciou alteração na composição química das sementes com incremento no teor de óleo.
As proporções de patógenos nas sementes aumentam na medida que se diminui o fornecimento de potássio para as plantas.
Verificou-se predomínio de patógenos dos gêneros Colletotrichum sp. e7 Fusarium sp..
Referências Bibliográficas
Ávila, M.R.; Braccini, A.L.; Motta, I.S.; Scapim, C.A. e Braccini, M.C. L. (2013) - Sowing seasons and quality of soybean seeds. Scientia Agricola, vol. 60, n. 2, p. 245-252. http://dx.doi.org/10.1590/S0103-90162003000200007 [ Links ]
Bernard, R.L.; Chamberlain, D.W. e Lawrence, R.D. (1965) - Results of the cooperative uniform soybean test. USDA, Washington. 134 p. [ Links ]
Borém, A. (2000) - Escape gênico: os riscos do escape gênico da soja no Brasil. Biotecnologia Ciência e Desenvolvimento, vol. 10, p. 101-107. [ Links ]
Chitarra, L.G. (2003) - Tratamento de sementes de algodoeiro com fungicidas no controle de patógenos causadores de tombamento de plântulas. Várzea Grande. Relatório Técnico Final. [ Links ]
CONAB (2016) - Acompanhamento safra brasileira de grãos. vol. 7- Safra 2015/16 - Sétimo levantamento. Companhia Nacional de Abastecimento Brasília. p. 1-158. [ Links ]
Costa, N.P.; Mesquita, C.M.; Maurina, A.C.; França Neto J.B.; Krzyzanowski, F.C. e Henning, A.A. (2003) - Qualidade fisiológica, física e sanitária de sementes de soja produzidas no Brasil. Revista Brasileira de Sementes, vol. 25, n. 1, p. 128-132. http://dx.doi.org/10.1590/S0101-31222003000100020 [ Links ]
EMBRAPA (2009) - Manual de análises químicas de solos, plantas e fertilizantes. Empresa Brasileira de Pesquisa Agropecuária, Embrapa Solos, Embrapa Informática Tecnológica. Brasília. 627 p. [ Links ]
EMBRAPA (2013a) - Sistema brasileiro de classificação de solos. Empresa Brasileira de Pesquisa Agropecuária, Embrapa Solos, Rio de Janeiro. 353 p. [ Links ]
EMBRAPA (2013b) - Tecnologias de produção de soja - Região Central do Brasil 2014. Empresa Brasileira de Pesquisa Agropecuária Embrapa Soja, Londrina. 265 p. [ Links ]
Fehr, W.R.; Caviness, C.E.; Burmood, D.T. e Pennington, J.S. (1971) - Stage of development descriptions for soybeans, Glycine max (L.) Merril. Crop Science, vol. 11, n. 6, p. 929-931. http://dx.doi.org/10.2135/cropsci1971.0011183X001100060051x [ Links ]
Felisberto, G.; Bruzi, A.T.; Zuffo, A.M.; Zambiazzi, E.V.; Soares, I.O.; Rezende, P.M. e Botelho, F.B.S. (2015) - Agronomic performance of RR soybean cultivars using to different pre-sowing desiccation periods and distinct post-emergence herbicides. African Journal of Agricultural Research, vol. 10, n. 34, p. 3445-3452. http;//dx.doi.org/10.5897/AJAR2015.9853 [ Links ]
Ferreira, D.F. (2011) - Sisvar: a computer statistical analysis system. Ciência e Agrotecnologia, vol. 35, n. 6, p. 1039-1042. http://dx.doi.org/10.1590/S1413-70542011000600001 [ Links ]
Godoy, C.V.; Almeida, A.M.R.; Soares, R.M.; Seixas, C.D.S.; Dias, W.P.; Meyer, M.C.; Costamilan, L.M. e Henning, A.A. (2014) - Doenças da soja (Glycine max (L.) Merril). Sociedade Brasileira de Fitopatologia, p. 20-21. http://www.sbfito.com.br/divulgacao/DoencasdaSoja.pdf [ Links ]
Guimarães, F.S.; Rezende, P.M.; Castro, E.M.; Carvalho, E.A.; Andrade, M.J.B. e Carvalho, E.R. (2008) - Cultivares de soja [Glycine max(L.) Merrill] para cultivo de verão na região de Lavras-MG. Ciência e Agrotecnologia, vol. 32, n. 4, p. 1099-1106. http://dx.doi.org/10.1590/S1413-70542008000400010 [ Links ]
Heil, C. (2010) - Rapid, multi-component analysis of soybeans by FT-NIR Spectroscopy. Thermo Fisher Scientific, Madison. 3 p. http://www.nicoletcz.cz/userfiles/file/vjecy/soybeans.pdf. [ Links ]
Lacerda, A.L.S.; Lazarini, E.; Sá, M.E. e Valério Filho, W.V. (2003) - Armazenamento de sementes de soja dessecadas e avaliação da qualidade fisiológica, bioquímica e sanitária. Revista Brasileira de Sementes, vol. 25, n .2, p. 97-105. http://dx.doi.org/10.1590/S0101-31222003000400014 [ Links ]
Lambert. E.S.; Meyer, M.C. e Klepker, D. (2007) - Cultivares de soja 2007/2008 Região Norte e Nordeste. Embrapa Soja, Documento 284, 36 p. [ Links ]
Marcos Filho, J. (1986) - Produção de sementes de soja. Fundação Cargill, Campinas. 86 p. [ Links ]
Mascarenhas, H.A.A.; Bulisan, E.A.; Miranda, M.A.C.; Braga, N.R. e Pereira, J.C.V.N.A. (1988) - Deficiência de potássio em soja no estado de São Paulo: melhor entendimento do problema e possíveis soluções. O Agronômico, vol. 40, n. 1, p. 34-43. [ Links ]
Mascarenhas, H.A.A.; Tanaka, R.T.; Wutke, E.B.; Braga, N.R. e Miranda, M. A.C. (2004) - Potássio para a soja. Informações Agronômicas, n. 105, p. 1-2. [ Links ]
Minuzzi, A.; Rangel, M.A.S.; Braccini, A.L.; Scapim, C.A. e Robaina, A.D. (2009) -Rendimento, teores de óleo e proteínas de quatro cultivares de soja, produzidas em dois locais no estado do Mato Grosso do Sul. Ciência e Agrotecnologia, vol. 33, n. 4, p. 1047-1054. http://dx.doi.org/10.1590/S1413-70542009000400015 [ Links ]
Myers, S.W.; Gratton, C.; Wolkowski, R.P.; Hogg, D.B. e Wedberg, J.L. (2005) - Effect of soil potassium availability on soybean aphid (Hemiptera: Aphididae) population dynamics and soybean yield. Journal of Economic Entomology,vol. 98, n. 1, p. 113-120. http://dx.doi.org/10.1603/0022-0493-98.1.113 [ Links ]
Patricio, F.R.A.; Borin, R.B.R.G. e Ortolani, D.B. (1991) - Patógenos associados a sementes que reduzem a germinação e vigor. In: Menten, J.O.M. (Ed.) - Patógenos em sementes: detecção, danos e controle químico. FEALQ, Piracicaba. p. 137-160. [ Links ]
Pettigrew, W.T. (2008) - Potassium influences on yield and quality production for maize, wheat, soybean and cotton. Physiologia Plantarum, vol. 133, n. 4, p. 670- 681. http://dx.doi.org/10.1111/j.1399-3054.2008.01073.x [ Links ]
Ramalho, M.A.P.; Ferreira, D.F. e Oliveira, A.C. (2012) - Experimentação em genética e melhoramento de plantas. Editora: UFLA, Lavras. 3 ed. [ Links ]
Rocha, R.S.; Silva, J.A.L.; Neves, J.A.; Sediyama, T. e Teixeira. R.C. (2012) - Desempenho agronômico de variedades e linhagens de soja em condições de baixa latitude em Teresina-PI. Revista Ciência Agronômica, vol. 43, n. 1, p. 154-162. [ Links ]
Rocha, R.N.C.; Pelúzio, J.M.; Barros, H.B.; Fidelis, R.R. e Silva Júnior, H.P. (2001) - Comportamento de cultivares de soja em diferentes populações de plantas, em Gurupi, Tocantins. Revista Ceres, vol. 48, n. 279, p. 529-537. [ Links ]
Scott, A. J. e Knott, M.A. (1974) - Cluster analysis method for grouping means in the analysis of variance. Biometrics, vol. 30, n. 3, p. 507-512. http://dx.doi.org/10.2307/2529204 [ Links ]
Sedyama, T. (2016) - Produtividade da soja. Ed. 1, Mecenas, Londrina. 310 p. [ Links ]
Sfredo, G.J. (2008) - Soja no Brasil: calagem, adubação e nutrição mineral. Empresa Brasileira de Pesquisa Agropecuária. Embrapa Soja. Documentos 305, Londrina. [ Links ]
Shigihara, D. e Hamawaki, O.T. (2005) - Seleção de genótipos para juvenilidade em progênies de soja. Revista Horizonte Científico, vol. 4, n. 1, p. 1-26. [ Links ]
Soares, I.O.; Rezende, P.M.; Bruzi, A.T.; Zambiazzi, E.V.; Zuffo, A.M.; Silva, K.B. e Gwinner, R. (2015a) - Adaptability of soybean cultivars in different crop years. Genetics and Molecular Research, vol. 14, n. 3, p. 8995-9003. http://dx.doi.org/10.4238/2015.August.7.8. [ Links ]
Soares, I.O.; Rezende, P.M.; Bruzi, A.T.; Zuffo, A.M.; Zambiazzi, E.V.; Fronza, V. e Teixeira, C.M. (2015b) - Interaction between soybean cultivars and seed density. American Journal Plant Science, vol. 6, n. 9, p. 1425-1434. http://dx.doi.org/10.4236/ajps.2015.69142 [ Links ]
Taiz, L. e Zeiger, E. (2012) - Fisiologia Vegetal. 4 ed. Artmed, Porto Alegre. 720 p. [ Links ]
Usherwood, N.R. (1994) - Potassium interactions and balanced plant nutrition. Better Crops With Plant Food, vol. 77, n. 1, p. 26-27. [ Links ]
Valadão Júnior, D.D.; Bergamin, A.C.; Venturoso, L.R.; Schlindwein, J.A.; Caron, B.O. e Scmidt, D. (2008) - Adubação fosfatada na cultura da soja em Rondônia. Scientia Agraria, vol. 9, n. 3, p. 369-375. http://dx.doi.org/10.5380/rsa.v9i3.11537 [ Links ]
Veiga, A.D. (2007) - Influência do potássio e da calagem na produtividade, na composição química e na qualidade de sementes de soja. Dissertação de Mestrado em Agronomia Fitotecnia, Universidade Federal de Lavras, Brasil. 83 p. [ Links ]
Veiga, A.D.; Von Pinho, E.V.R.; Veiga, A.D.; Pereira, P.H.A.R.; Oliveira, K.C. e Von Pinho, R.G. (2010) - Influência do potássio e da calagem na composição química, qualidade fisiológica e na atividade enzimática de sementes de soja. Ciência e Agrotecnologia, vol. 34, n. 4, p. 953-960. http://dx.doi.org/10.1590/S1413-70542010000400022 [ Links ]
Vyn, T.J.; Yin, X.; Bruulsema, T.W.; Jackoson, C.C.; Rajcan, I. e Brouder, S.M. (2002) - Potassium Fertilization Effects on Isoflavone Concentrations in Soybean [Glycine max (L.) Merr.]. Journal of Agricultural Food Chemistry, vol. 50, n. 12, p. 3501-3506. http://dx.doi.org/10.1021/jf200671
Agradecimentos
Os autores agradecem à CAPES (Coordenação de Aperfeiçoamento de Pessoal de Nível Superior), FAPEMIG (Fundação de Amparo à Pesquisa do Estado de Minas Gerais), e ao CNPq (Conselho Nacional de Desenvolvimento Científico e Tecnológico) pela concessão das bolsas de estudo e apoio financeiro.
Recebido/Received: 2016.04.30
Recebido em versão revista/received in revised form: 2017.02.20
Aceite/accepted: 2017.02.23
















