Serviços Personalizados
Journal
Artigo
Indicadores
-
Citado por SciELO -
Acessos
Links relacionados
-
Similares em
SciELO
Compartilhar
Revista de Ciências Agrárias
versão impressa ISSN 0871-018X
Rev. de Ciências Agrárias vol.40 no.2 Lisboa jun. 2017
https://doi.org/10.19084/RCA16003
ARTIGO
Efeitos económicos no Brasil da liberalização das tarifas da União Europeia de importação de etanol
Economic effects in Brazil of liberalization of the European Union tariffs of ethanol import
Tamara Silvana Menuzzi Diverio1, Rui Manuel Fragoso2,*, Pery Francisco Assis Shikida3, Weimar Freire da Rocha Júnior3, Márcia Carla Ribeiro4 e Oksandro Osdival Gonçalves4
1Universidade de Cruz Alta, Programa de Pós-Graduação em Desenvolvimento Rural. Cruz Alta, Rio Grande do Sul, Brasil. diverio@fw.uri.br
2Universidade de Évora, Departamento de Gestão de Empresas. Évora, Portugal. rfragoso@uevora.pt
3Universidade Estadual do Oeste do Paraná, Programa de Pós-Graduação em Desenvolvimento Regional e Agronegócio. Cascavel, Paraná, Brasil. pery.shikida@unioeste.br, wrochajr2000@yahoo.com.br
4Pontifícia Universidade Católica do Paraná, Escola de Direito. Curitiba, Paraná. mcarlaribeiro@uol.com.br, oksandro@cgaadv.com.br.
(*E-mail: rfragoso@uevora.pt)
RESUMO
Este estudo pretende avaliar os efeitos económicos no Brasil da eliminação das barreiras da União Europeia no comércio de etanol. A metodologia utilizada baseia-se na abordagem de equilíbrio geral computável e na utilização do modelo Global Trade Analysis Project (GTAP). Os resultados indicam que a liberalização das barreiras tarifárias da União Europeia para a importação etanol tem um impacto positivo na economia do Brasil, nomeadamente, em termos do crescimento do PIB, dos termos de troca e no setor da produção de etanol de cana-de-açúcar.
Palavras-Chave: Equilíbrio Geral; Biocombustíveis; Etanol; Barreiras comerciais.
ABSTRACT
This study aims to assess the economic effects in Brazil from elimination of the European Union trade tariffs for bioethanol import. The methodology used is based on the computable general equilibrium approach and in the application of the Global Trade Analysis Project (GTAP). Results show that the liberalization of European tariff barriers regarding bioethanol importations has a positive impact on Brazil economy, namely, at the level of the GDP growth rate, exchange value and on the ethanol sector from sugar cane.
Keywords: General equilibrium; Biofuels; Ethanol; Trade barriers.
Introdução
As variações do preço do petróleo, o impacto dos derivados de petróleo no meio ambiente, as metas para redução de emissões de CO2 e a possibilidade de geração de rendimento e de empregos são fatores que levam a considerar que os biocombustíveis são uma alternativa viável aos combustíveis fosseis (Paulillo et al., 2007; Mazzuchetti, 2014).
Neste cenário, o Brasil surge como protagonista no mercado internacional de biocombustíveis, principalmente no etanol, em que é um dos maiores produtores mundiais (27,5 bilhões de litros) e o maior exportador. Para além disso, o etanol brasileiro, quer devido às principais fontes de matéria-prima que utiliza, quer devido à tecnologia empregue, representa uma opção sustentável para a produção de biocombustíveis no mundo (Rissardi Júnior, 2015).
É claro o interesse do governo brasileiro na produção e comercialização de biocombustíveis à escala global, bem como em intensificar as negociações com a União Europeia (UE), dada a sua grande importância comercial para o Brasil (Paulillo et al., 2007). No entanto, a efetivação do potencial exportador do Brasil depende de outras variáveis além da capacidade produtiva, dentre as quais estão as práticas tarifárias, as barreiras não tarifárias e a exigência das denominadas cláusulas socio ambientais impostas por países importadores, nomeadamente, a UE.
A utilização de biocombustíveis pela UE está relacionada com a estratégia de redução dos gases do efeito estufa (GEE), derivada dos compromissos do Protocolo de Quioto (1997), em que se pretende intensificar o uso de biocombustíveis renováveis no mercado europeu em substituição aos combustíveis derivados do petróleo (Malhão, 2009). Assim, a UE decidiu que até 2020 vai introduzir na gasolina e no gasóleo 10% de combustíveis renováveis, ou seja, de biocombustíveis. O Brasil pode ter um papel importante neste processo, uma vez que domina a tecnologia para produzir tanto o biodiesel como o etanol (Rissardi Júnior, 2015).
No entanto, para que o Brasil possa beneficiar do interesse da UE pelos biocombustíveis necessita de enfrentar limitações importantes, como as barreiras tarifárias e não tarifárias contra a importação de biocombustíveis brasileiros, sobretudo de etanol. A liberalização do mercado e a consequente redução das barreiras comerciais da UE deverão permitir ao Brasil consolidar a sua posição no comércio internacional de biocombustível, nomeadamente de etanol, e ter um contributo positivo no crescimento do PIB e no bem-estar.
Deste modo, este artigo tem como objetivo determinar os efeitos económicos no Brasil da eliminação das barreiras tarifárias da UE à importação de etanol. Procura-se avaliar os efeitos da eliminação dessas tarifas na economia brasileira em termos dos preços domésticos da produção, dos preços dos fatores primários, das quantidades produzidas, dos fluxos internacionais e de alguns indicadores macroeconómicos, como o PIB e o bem-estar. Para o efeito, utiliza-se o modelo de equilíbrio geral computável (EGC) Global Trade Analysis Project (GTAP).
Além desta introdução, o artigo encontra-se organizado em mais seis secções. Nas próximas duas secções tecem-se algumas considerações sobre as perspetivas da produção e do consumo de biocombustíveis e sobre os efeitos económicos da produção de biocombustíveis. A quarta secção do artigo é dedicada à metodologia e a quinta à implementação empírica do modelo GTAP. As últimas duas secções referem-se à apresentação e discussão dos resultados e principais conclusões.
Perspetivas na Produção e Consumo de Biocombustíveis
A produção mundial de biocombustíveis continua a crescer rapidamente e prevê-se que a produção mundial do etanol em 2022 aumente em quase 70% em relação à média de 2010-2012. Espera-se que os Estados Unidos, Brasil e UE continuem a ser os três principais produtores (OECD/FAO, 2011). A produção e o uso de biocombustíveis nos Estados Unidos e na UE dependem dos incentivos políticos existentes. O aumento da utilização de etanol no Brasil está relacionado com o desenvolvimento na indústria do automóvel com combustível flexível e com as importações dos Estados Unidos.
Segundo a FAO (2010) e Barros e Adami (2011), o Brasil deverá registar o maior crescimento mundial no setor agrícola, representando uma expansão superior a 40% até 2020. O excedente das exportações tenderá a aumentar também nos próximos anos, o que levará a um reforço da participação do Brasil no comércio agrícola internacional e também dos biocombustíveis. A UE continua sendo o grande comprador dos produtos do agronegócio brasileiro, em 2010 foi responsável por mais de 25% dos embarques de produtos do País.
No entanto, no comércio internacional não basta haver um excedente exportável que possa ser transportado a custo economicamente viável, é necessário ter também em conta o caráter discriminatório das políticas comerciais de produtos agrícolas. Mesmo que a intervenção do governo brasileiro promova a produção doméstica de biocombustíveis, as restrições tarifárias e não tarifárias à importação dos países compradores dificultam o comércio exterior (Sybille & Zilla, 2012).
Um exemplo é a imposição de barreiras tarifárias à entrada do etanol brasileiro nos EUA e na UE (Herrmann, 2007). Os Estados Unidos impõem a tarifa de US$ 0,54 por galão (3,78 litros) de etanol importado do Brasil. Da mesma forma, a UE taxa o etanol produzido no Brasil em 0,19 euro por litro. Estes valores elevam o custo do etanol brasileiro, cujo custo de produção no Brasil é estimado em US$ 0,26 por litro (OECD/FAO, 2011).
As tarifas à importação de etanol do Brasil interferem na procura e no preço do mercado interno brasileiro, uma vez que uma eventual oferta excessiva conduz à redução de preço.
De acordo com a OECD/FAO (2011) o biocombustível produzido internamente na UE é insuficiente para satisfazer a procura, o que a torna importadora de etanol e biodiesel. Entre 2008 e 2010, as importações abasteciam quase 15% do consumo de biodiesel e mais de 20% de etanol na UE.
Efeitos Económicos da Produção de Biocombustíveis
As análises económicas de políticas climáticas, energia e biocombustíveis baseiam-se frequentemente em modelos de EGC. Esta categoria de modelos possibilita a análise dos impactos de políticas inclusive na área da energia e dos biocombustíveis.
O recente aumento das pesquisas que pretendem avaliar os efeitos das alterações climáticas e da produção e utilização de biocombustíveis, tem motivado a construção de bases de dados e modelos relacionados com as emissões de gases de efeito estufa, uso da terra e produção de biocombustíveis, que podem ser usados com modelos de EGC. (Oliveira e Ferreira-Filho, 2008; Rissardi Júnior, 2015).
Alguns trabalhos analisam os impactos do mercado dos biocombustíveis, do etanol e do biodiesel, na economia europeia, americana e brasileira (Sims, 2003; Gohin e Moschini, 2007; Banse et al., 2008; Birur et al., 2008; Gurgel, 2011).
Sims (2003) destacou a necessidade de analisar as questões económicas, ambientais e sociais no planeamento de um projeto de bioenergia. De acordo com este autor, os projetos de bioenergia para serem bem-sucedidos no longo prazo, devem incluir na sua avaliação a comparação com as alternativas de combustíveis fósseis e incorporar os respetivos benefícios ambientais, económicos e sociais, sendo que os modelos de EGC são particularmente úteis.
Gohin e Moschini (2007) avaliaram os impactos da política de biocombustíveis na agricultura europeia utilizando um modelo de EGC. Os seus resultados sugerem que a maior parte da procura de biodiesel será satisfeita pelas importações, enquanto no caso do etanol a principal fonte de abastecimento deverá ser a produção doméstica.
Banse et al. (2008) avaliaram os impactos das políticas de biocombustíveis da UE no mercado agrícola e de alimentos. O estudo analisou as implicações globais e setoriais das diretivas da UE para biocombustíveis utilizando um EGC. Os resultados mostraram que as metas da Diretiva Biocombustíveis UE não seriam atingidas em 2010 sem a obrigatoriedade de misturar biocombustíveis nos combustíveis fósseis ou sem estimular o uso de culturas energéticas para a produção de biocombustíveis através de subsídios. Esta análise mostrou também que o aumento da produção de culturas energéticas para produzir biocombustíveis na UE, tem um forte impacto na agricultura em termos mundiais. Portanto, os incentivos para aumentar produção na UE levarão a um aumento dos preços da terra e dos rendimentos agrícolas na UE e noutras regiões do Mundo.
Birur et al. (2008) analisaram através de um modelo EGC o impacto da produção de biocombustíveis nos mercados agrícolas e no uso da terra. Estes autores utilizaram zonas agroecológicas (AEZS) de uso da terra para cada um dos setores. Os seus resultados revelaram um aumento da produção de biocombustíveis à custa da substituição de área cultivada com outras culturas agrícolas. Nos cenários simulados, verificou-se uma tendência para o aumento da procura de grãos nas três maiores regiões produtoras (Estados Unidos, UE e Brasil).
Gurgel (2011) estimou os impactos do crescimento da procura de etanol na produção agrícola e no uso da terra no Brasil e nos Estados Unidos. Aumentos na procura de etanol no Brasil e nos Estados Unidos foram simulados de forma a refletir a política norte-americana e as projeções da procura brasileira para a próxima década. Os resultados sugerem que o Brasil deve especializar-se na produção de cana-de-açúcar e etanol em detrimento de outros produtos agropecuários.
De um modo geral, um aumento da procura de biocombustíveis terá um impacto forte na produção e no comércio de produtos agrícolas, que por conseguinte influencia a afetação dos recursos naturais e os preços agrícolas.
Metodologia
Neste estudo utilizou-se uma abordagem baseada no modelo de EGC, nomeadamente no GTAP (Global Trade Analysis Project). Os modelos de EGC têm sido a principal ferramenta de análise empírica de políticas comerciais, setoriais e macroeconómicas, que envolvem várias regiões e setores produtivos.
O GTAP é um modelo padrão multi regional de equilíbrio geral que estuda os fluxos de comércio internacional. A sua descrição detalhada e formulação pode ser consultada em Hertel (1997). Este modelo compreende uma base de dados global e um modelo económico para desenvolver simulações, que utiliza retornos constantes à escala e o pressuposto da concorrência perfeita nas atividades de produção e consumo (Feijó e Alvim, 2008).
No GTAP o funcionamento da economia global pode ser explicado através da análise de uma região arbitrária e das suas relações com as outras regiões, considerando a imposição de condições de equilíbrio entre os agentes globais. Este modelo é inspirado na experiência bem-sucedida do projeto australiano Impact e está em contínuo desenvolvimento, nomeadamente, na Universidade de Purdue (Burniaux e Truong, 2002; McDougall e Golub, 2007; Birur et al., 2008).
Neste estudo foi utilizada a versão 7 da base de dados do GTAP, que contempla 112 regiões/países, 57 setores de atividade e cinco fatores de produção, que podem ser agregados conforme o interesse do investigador. A base de dados contém também as tabelas de insumo-produto para caracterizar as ligações entre os setores numa dada região. Na versão 7, o modelo GTAP retrata as relações da economia mundial em 2004. Trata-se da versão mais recente do modelo a que os autores puderam aceder. No entanto, não é de mais referir que muitas das relações que se estabelecem nos modelos de EGC são relações técnicas do tipo input-output que se mantêm fixas durante muito tempo.
O GTAP 7 é executado com o software GEMPACK, desenvolvido por Codsi e Pearson (1988). Nesta versão do GTAP as funções de produção são estabelecidas numa estrutura de ninho com três níveis de especificação (Hertel, 1997; Azevedo e Feijó, 2010).
No nível superior a substituibilidade entre os fatores primários de produção e os consumos intermédios é nula (tecnologia de Leontief). Neste nível, o mix ótimo de fatores primários é independente dos preços dos consumos intermédios e o mix ótimo de consumos intermédios não varia com o preço dos fatores primários.
O segundo nível de especificação da função de produção envolve uma elasticidade de substituição constante (CES), tanto ao nível dos consumos intermédios como entre os fatores primários de produção. Os consumos intermédios importados são diferenciados por origem e os consumos domésticos são discriminados em relação aos importados. No entanto, de acordo com hipóteses de Armington, as firmas primeiro determinam o mix ótimo de consumos intermédios domésticos e importados e só depois é que decidem a respeito da origem das importações. Portanto, de acordo com esta hipótese um bem produzido numa dada região é um substituto imperfeito para bens similares da mesma indústria produzidos noutras regiões. Desta forma, a mesma commodity pode ser comercializada a preços diferentes em função da região em que foi produzida.
O nível inferior do ninho também assume elasticidade de substituição constante entre os consumos intermédios importados de diferentes regiões.
Neste modelo, em cada região existem (i) indústrias utilizando (j) fatores primários e (t) consumos intermédios, que podem ser produzidos localmente ou importados. Cada mercadoria i importada tem um preço internacional (pwmi) sobre o qual incide uma tarifa alfandegária (ti). De modo que o preço internalizado desta mercadoria importada (pmi) é dado por: pm = pwm + t. Portanto, uma variação da tarifa alfandegária provoca uma alteração inicial dos preços internalizados das mercadorias importadas, que afeta a procura dos agentes de cada economia que são sensíveis a alterações nos preços relativos (Feijó e Steffens, 2013; Oliveira et al., 2008).
As inter-relações que se estabelecem no modelo entre os agentes económicos internos e externos, fazem com que os efeitos das alterações iniciais na procura se espalhem por todo o sistema económico, nomeadamente, ao nível dos preços dos produtos e fatores, das quantidades produzidas, das importações e das exportações, do PIB e do bem-estar.
Na aplicação da abordagem de EGC há três aspetos que são determinantes e que se prendem com a agregação dos dados do modelo GTAP, com as condições de fecho do modelo e com as alterações das condições da situação de base.
A agregação dos dados visa simplificar a interpretação dos resultados. Neste caso foi utilizado o softwareGTAPAgg, quepermite realizar a agregação para setores, parâmetros e regiões. A escolha das regiões e dos setores a considerar é estabelecida de acordo com o interesse do investigador. Neste caso, procurou-se considerar no processo de agregação os países que estão mais envolvidos no comércio de biocombustíveis e as atividades que estão vinculadas de forma direta ou indireta na sua produção.
Portanto, os 112 países e os 87 setores originais da base de dados do GTAP 7 foram agregados em 12 regiões (Quadro 1) e em 18 setores (Quadro 2).
Os fatores primários de produção do modelo original do GTAP 7 compreendem capital, trabalho qualificado e não-qualificado, que são móveis entre os setores, e terra e recursos naturais que são fatores imóveis. O grau de mobilidade dos fatores é ditado pela elasticidade de transformação constante. Neste caso, considerou-se o trabalho qualificado e não qualificado com um único fator primário.
O fecho do modelo descreve os impactos que serão implementados e o ambiente macroeconômico em que ocorrerão. Para que se chegue a uma solução é necessário que o número de equações do modelo seja igual ao número de variáveis endógenas. Como o número de variáveis geralmente é superior ao número de equações, devem ser selecionadas algumas variáveis para serem exógenas ao modelo, que determinam as suas condições fixas.
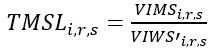
Neste caso, em que se pretende simular efeitos de uma descida das tarifas de importação da UE ao etanol do Brasil, é necessário determinar o efeito da atual tarifa de importação em cada setor da economia i, para cada região de origem r e de destino s e o efeito se a tarifa passar a ser zero. A determinação dessas tarifas tem em conta a diferença percentual entre os preços do produto i no mercado doméstico e no mercado internacional (TMSL) e o nível de proteção ou efeito desejado da tarifa (TMSH):
(1)
(2)
onde: VIMSi,r,s é o valor das importações do setor i, da região r para a região s, a preços domésticos; VIWSi,r,s é o valor das respetivas importações a preços mundiais; TMSHi,r,s é o efeito desejado da tarifa de importação para o setor i, da região r para a região s; e DESLIB é o coeficiente que determina o nível de liberalização desejado, que para uma liberalização total assume o valor 1.
Para rodar o modelo foi gerada uma rotina de programação do GTAP, que contém o ficheiro dos dados que simulam a liberalização das tarifas de importação da UE do etanol.
Resultados
Nesta seção são apresentados e discutidos os principais resultados relativos aos efeitos económicos no Brasil da liberalização das tarifas da UE de importação de etanol. Os resultados são apresentados em termos dos efeitos nos preços dos produtos e dos fatores, na produção, nos fluxos de comércio internacional e nalguns indicadores macroeconómicos, como o PIB e o bem-estar.
No Quadro 3 apresenta-se a variação percentual dos preços domésticos, da produção e das exportações e importações de etanol, decorrente do cenário de liberalização das tarifas da UE de importação para os maiores produtores mundiais, a União Europeia a 28, o Brasil e os Estados Unidos.
Estes resultados sugerem que o preço doméstico no setor do etanol de cana-de-açúcar (Eth2) no Brasil sofrerá um acréscimo de 0,23%. Este aumento do preço é superior ao que se verifica para o etanol de milho (Eth1), sendo estas variações de preço idênticas às que se preveem para os Estados Unidos.
Este ligeiro aumento do preço do etanol no Brasil reflete o aumento da procura e eventualmente lucros mais elevados para os empresários, bem como uma melhor remuneração dos fatores de produção que poderão ter também um efeito positivo na atração de capitais para o setor no Brasil.
Do lado da UE é de prever uma descida significativa no preço doméstico no setor do etanol Eth2, que é estimada em 25,25%. Esta descida é explicada pelo aumento da disponibilidade deste tipo de etanol no mercado europeu devido à liberalização das importações e ao fato dos preços de importação passarem a ser significativamente inferiores aos que estavam em vigor na UE.
É de esperar que a produção de etanol Eth2 no Brasil aumente em quase 5%, enquanto a produção de etanol Eth1 deverá recuar marginalmente (0,17%). No entanto, este aumento da produção de etanol tem repercussões muito limitadas na produção dos outros sectores da economia brasileira e está focalizado sobretudo no sector do etanol Eth2 e na produção de cana-de-açúcar. Portanto, o seu efeito é muito limitado noutros setores do agronegócio, com os quais o etanol compete diretamente na procura de fatores, como é o caso do arroz, trigo e pecuária.
A liberalização das tarifas da UE de importação de etanol do Brasil não tem qualquer efeito significativo na produção dos Estados Unidos. Já ao nível da UE é de prever uma redução na produção de Eth2 de 1,4% decorrente da substituição pelas importações mais competitivas do Brasil.
No que se refere aos fluxos de comércio internacional, a liberalização das tarifas da UE de importação de etanol vão permitir ao Brasil aumentar as suas exportações de etanol ETh2 em 29,04%, sendo de prever uma ligeira diminuição nas exportações de etanol Eth1 (0,37%). No entanto, este aumento das exportações de etanol terá reflexos negativos nas exportações dos restantes sectores da economia brasileira com destaque para os setores do gás natural (2,27%), do arroz (1,62%) e do trigo (1,04%).
Segundo Rissardi-Júnior (2015), o Brasil tem consolidado nos últimos anos sua participação no comércio internacional de etanol, sendo atualmente um dos principais exportadores mundiais. Portanto, uma diminuição ou liberalização total das tarifas de importação da UE permitiria reforçar ainda mais, a participação do Brasil no comércio internacional de etanol.
O aumento das exportações brasileiras de etanol é acompanhado pela diminuição das exportações nas restantes regiões do Mundo. Esta diminuição é 6,43% na UE e 0,74% nos Estados Unidos, mas também de acordo com os resultados das simulações atinge valores significativos noutras partes do Mundo, nomeadamente na região da África Subsaariana (5,89%), na região do Médio Oriente e Norte de África (3,76%) e na região da Rússia e Leste Europeu (2,42%).
Em relação às importações de etanol Eth2 verifica-se um aumento de 12,49% na UE em virtude do aumento das exportações brasileiras. O Brasil também deverá registar um aumento das importações de etanol Eth2 de 1,77% e de etanol Eth1 de 0,16%, decorrente do aumento das exportações e da procura interna. Nos Estados Unidos as importações deverão cair muito marginalmente (-0,08), como nas restantes regiões do Mundo.
O aumento da procura e dos preços domésticos decorrentes da liberalização das tarifas da UE de importação de etanol tem repercussões na procura e por conseguinte nos preços dos fatores de produção primários. Os resultados do Quadro 4 mostram uma subida do preço em todos os fatores de produção primários no Brasil, com destaque para os recursos naturais (6,47%) e para a terra (3,15%). Portanto, apesar de se esperar um aumento dos preços domésticos no setor do etanol, é necessário ter em conta também um aumento dos custos de produção, em virtude do aumento do preço dos fatores primários.
Ao nível da UE, é de esperar uma ligeira descida nos preços do fatores primários de produção, que é também mais significativa nos recursos naturais (1,76) e na terra (0,8%).
Globalmente a liberalização das tarifas de importação de etanol na EU tem efeitos positivos na economia do Brasil, nomeadamente em termos do crescimento do PIB, dos termos de troca e dos fluxos de comércio internacional (Quadro 5).
Ao nível do PIB é de esperar um crescimento no Brasil de 0,15%, que reflete um aumento do bem-estar agregado de 113,76 bilhões de dólares.
Nos fluxos de comércio internacional, verifica-se que, apesar do aumento significativo das exportações de etanol, as exportações brasileiras diminuem marginalmente (0,06%) e as importações crescem à taxa de 0,26%, o que traduz aumento do défice da balança comercial de 140 biliões de dólares. No entanto, os termos de troca apresentam uma variação positiva de 0,13%, sugerindo um aumento do valor dos produtos brasileiros relativamente às restantes regiões do Mundo.
Na UE bem como nos restantes países do Mundo, os efeitos macroeconómicos da liberalização das tarifas da UE de importação de etanol do Brasil praticamente não se fazem sentir.
Conclusão
Os resultados permitem concluir que a liberalização das tarifas da União Europeia de importação de etanol do Brasil tem um impacto positivo na economia do País, uma vez que se prevê um aumento de 0,15% no PIB e de 0,13 nos termos de troca.
Ao nível do setor brasileiro do etanol, o aumento das exportações para a União Europeia decorrente da liberalização das tarifas, induz a um aumento significativo da produção, que no caso do etanol de cana-de-açúcar poderá chegar aos 5%. Este aumento da produção repercute-se de forma limitada na subida do preço do etanol, mas de forma mais ou menos significativa nos fatores primários de produção, com destaque para os recursos naturais e para a terra.
Do lado da União Europeia a liberalização das tarifas de importação do etanol do Brasil praticamente não tem impacto em termos macroeconómicos. No entanto, do ponto vista microeconómico e meso-económico, o aumento das importações de etanol na União Europeia induzirá, não só a redução dos preços domésticos desta mercadoria, como também a redução da sua produção.
Referências bibliográficas
Azevedo, A.F.Z. & Feijó, F.T. (2010) - Análise empírica do impacto econômico da ALCA e da consolidação do Mercosul sobre o Brasil. Economia, vol. 36, n. 2, p. 119-149. [ Links ]
Banse, M.; Meijl, H.V.; Tabeau, A. & Woltjer, G. (2008) - Impact of EU biofuel policies on world agricultural and food markets, 2008. In: Seminar Modelling of Agricultural and Rural Development Policies. Seville, Spain. 107th EAAE. [ Links ]
Barros. G.S.C. & Adami, A.C.O. (2011) - Exportações do agronegócio: preços internacionais sobem, mas câmbio reduz atratividade em 2010. < http://www.ruralcentro.com.br/analises/1356/exportacoes-do-agronegocio-precos-internacionais-sobem-mas-cambio-reduz-atratividade-em-2010> [ Links ].
Birur, D.K.; Hertel, T.W. & Tyner, W.E. (2008) - Impact of biofuel production on world agricultural markets: a computable general equilibrium analysis. Department of Agricultural Economics, Purdue University (GTAP Working Paper 53). [ Links ]
Burniaux, J.M. & Truong, P.T. (2002) - An energy-environmental version of the GTAP model. GTAP Technical Paper 16. [ Links ]
Codsi, G. & Pearson, K.R. (1988) - GEMPACK: general-purpose software for applied general equilibrium and other economic modellers. Computer Science in Economics and Management, vol. 1, n. 3, p. 189-207. http://dx.doi.org/10.1007/BF00436280 [ Links ]
Feijó, F.T. & Alvim, A. M. (2008) - Impactos económicos para o Brasil de um choque tecnológico na produção de etanol. In: Encontro Nacional de Economia. Salvador, Bahia (Brasil). XXXVI ANPEC NACIONAL, p.1-15. [ Links ]
Feijó, F.T. & Steffens, C. (2013) - Comércio internacional, demanda por trabalho e a questão da desindustrialização no Brasil: uma abordagem utilizando Equilíbrio Geral Computável (EGC). In: Encontro de Economia da Região Sul. Curitiba, Paraná (Brasil). ANPEC SUL, p. 1-20. [ Links ]
FAO. (2010) - OECD-FAO Agricultural Outlook 2010-2019. Food and Agriculture Organization of the United Nations, Rome. < http://www.oecd-ilibrary.org/agriculture-andfood/oecd-fao-agricultural-outlook-2010_agr_outlook-2010> [ Links ].
Gohin, A. & Moschini, G. (2007) - Impacts of the European biofuel policy on the farmsector: a general equilibrium assessment. < http://www.farmfoundation.org/news/articlefiles/943-gohinbiofuel-europe.pdf> [ Links ].
Gurgel, A.C. (2011) - Impactos da política americana de estímulo aos biocombustíveis sobre a produção agropecuária e o uso da terra. Revista de Economia e Sociologia Rural, vol. 49, n. 1, p. 181-213. http://dx.doi.org/10.1590/S0103-20032011000100008 [ Links ]
Herrmann, R. (2007) - O lado bom da barreira. Herrmann, R. (2007) - O lado bom da barreira. In: Jornal Cana, 5 de setembro de 2007. [ Links ]
Hertel, T.W. (1997) - Global Trade Analysis: modeling and applications. New York, Cambridge University Press, 403 p. [ Links ]
Malhão, V.L.F. (2009) - O caso de Portugal na aplicação das políticas Europeias no domínio dos biocombustíveis. Dissertação de Mestrado. Faculdade de Ciências, Universidade de Lisboa, Lisboa. <http://hdl.handle.net/10451/1483> [ Links ].
McDougall, R & Golub, A. (2007) - GTAP-E: a revised energy environmental version of the GTAP Model. GTAP Research Memorandum No. 15, October 2007. 7 p. [ Links ]
Mazzuchetti, R.N. (2014) - O comércio internacional do açúcar: uma análise utilizando o método gravitacional. Tese de Doutoramento. UNIOESTE, Toledo (PR). 129 p. [ Links ]
OECD/FAO. (2011) - OECD-FAO Agricultural Outlook 2011-2020. < http://www.oecd-ilibrary.org/agriculture-andfood/oecd-fao-agricultural-outlook-2011_agr_outlook-2011> [ Links ].
Oliveira, S.J. de M.; Ferreira Filho, J.B. de S. (2008) - A expansão da União Europeia em 2004 e seus impactos no agronegócio brasileiro. Revista de Economia e Sociologia Rural, vol. 46, n. 4, p. 937-967. http://dx.doi.org/10.1590/S0103-20032008000400002 [ Links ]
Paulillo, L.F.; Vian, C.E. de F.; Shikida, P.F.A. & Mello, F.T. de (2007) - Álcool combustível e biodiesel no Brasil: quo vadis? Revista de Economia e Sociologia Rural, vol. 45, n. 3, p. 531-565. http://dx.doi.org/10.1590/S0103-20032007000300001 [ Links ]
Rissardi Júnior, D.J. (2015) - Três ensaios sobre a agroindústria canavieira no Brasil pós-desregulamentação. Tese de Doutoramento. UNIOESTE, Toledo (PR). 116 p. [ Links ]
Sims, R. (2003) - The triple bottom line beneficts of bionergy for the community. In: OECD Workshop on Biomass and Agriculture. Vienna, OECD. < http://energy.massey.ac.nz/documents/Triplebottomline.pdf. [ Links ]>.
Sybille R. & Zilla, C. (2012) - O comércio de biocombustível e conversas entre Brasil e EU. In: Economia, parlamentos, desenvolvimento e migrações: as novas dinâmicas bilaterais entre Brasil e Europa. Rio de Janeiro, Fundação Konrad Adenauer, p. 85-104. [ Links ]
Recebido/received: 2016.01.11
Recebido em versão revista/received in revised form: 2016.07.25
Aceite/accepted: 2017.01.02












