Serviços Personalizados
Journal
Artigo
Indicadores
-
Citado por SciELO -
Acessos
Links relacionados
-
Similares em
SciELO
Compartilhar
Revista de Ciências Agrárias
versão impressa ISSN 0871-018X
Rev. de Ciências Agrárias vol.40 no.2 Lisboa jun. 2017
https://doi.org/10.19084/RCA16155
ARTIGO
Embalagem alternativa para cadeia produtiva de morango
Alternative packaging for a strawberry supply chain
Luis Carlos Cunha Junior1*, Cristiane Maria Ascari Morgado1, Angelo Pedro Jacomino2, Marcos José Trevisan2, Marise Cagnin Martins Parisi3 e Abadia dos Reis Nascimento1
1Universidade Federal de Goiás (UFG), Escola de Agronomia (EA), Setor de Horticultura. Rodovia Goiânia/Nova Veneza, Km 0 Campus Samambaia, Goiânia, Goiás, Brasil. CEP: 74690-900;
2Universidade de São Paulo (USP), Escola Superior de Agricultura Luiz de Queiroz (ESALQ), Departamento de Produção Vegetal. Av. Pádua Dias, nº.11, Caixa Postal 9. Piracicaba, São Paulo, Brasil. CEP: 13.418-900;
3Agência Paulista de Tecnologia dos Agronegócios (APTA), Polo Centro Sul. Rodovia SP 127, km 30, Caixa Postal 28. Piracicaba, São Paulo, Brasil. CEP: 13.400-970.
(*E-mail: cunhajunior.l.c@gmail.com)
RESUMO
O objetivo do trabalho foi avaliar e selecionar os filmes mais adequados capazes de aumentar a vida pós-colheita dos morangos (Fragaria x ananassa) mantendo a qualidade, sem alteração económica na cadeia produtiva atual. No primeiro ensaio (EXP1) testaram-se 9 diferentes métodos de embalagem: caixa de tereftalato de polietileno (PET) com tampa perfurada (Controlo) e as outras modalidades eram constituídas pela caixa (PET) revestida com 8 tipos distintos de filmes. No segundo ensaio (EXP2), as melhores modalidades selecionadas no EXP1, correspondentes aos filmes eleitos foram os utilizados para a conservação de morangos da cultivar Oso Grande. No EXP1, os frutos acondicionados com os filmes de: polipropileno (PP) com 0,006 mm e o D955 com 0,019 mm de espessura apresentaram as pontuações mais bem cotadas referentes ao aspeto global, contudo os morangos embalados com PP de 0,006 mm apresentaram elevados teores de acetaldeído e de etanol provocando odor alcoólico. No EXP2, os morangos acondicionados no filme D955 de 0,019 mm e com o filme de policloreto de vinilo (PVC) de 0,020 mm de espessura apresentaram boa aparência até ao 8° dia, mantiveram a qualidade e apresentaram baixa ocorrência de doenças, quando comparados com outros filmes. O filme de PVC com 0,020 mm de espessura demonstra ser uma boa alternativa aos produtores que já utilizam esse tipo de filme, mas com uma espessura inferior.
Palavras-chave: Fragaria x ananassa, atmosfera modificada, pós-colheita, refrigeração.
ABSTRACT
The objective of this work was to evaluate and select the most suitable films capable of increasing the post-harvest life of the strawberries (Fragaria x ananassa) maintaining quality, without economic alteration in the current productive chain. In the first test (EXP1) 9 different methods of packaging were tested: polyethylene terephthalate (PET) tray with perforated lid (Control) and the other were the PET tray coated with 8 different types of films. In the second experiment (EXP2), the best modalities selected in the EXP1, corresponding to the films chosen were those used for the conservation of strawberries of the Oso Grande cultivar. In EXP1, fruits packed in polypropylene (PP) films with 0.006 mm and D955 with 0.019 mm thickness presented the highest scores regarding the overall aspect, however strawberries packed with PP of 0.006 mm presented a high acetaldehyde and ethanol contents resulting in the presence of alcoholic odor. At EXP2, strawberries packed in D955 film 0.019 mm thickness and polyvinyl chloride (PVC) 0.020 mm presented good appearance until day 8, maintained quality and presented low occurrence of diseases when compared with the other films. The PVC 0.020 mm thickness proves to be an alternative for producers that already use this type of film with a lower thickness.
Keywords: Fragaria x ananassa, modified atmosphere, postharvest, refrigeration.
INTRODUÇÃO
Os produtores de morangos (Fragaria x ananassa) têm utilizado tecnologias de produção cada vez mais modernas, na tentativa de melhorar a produtividade e a qualidade do produto no momento da colheita (Dias et al., 2007; Duarte Filho et al., 2007). Em termos de comercialização, o mercado brasileiro de morango fresco é o principal destino da produção (cerca de 90%) de junho a novembro, sendo que na entressafra, o morango comercializado in natura é proveniente de armazenamento refrigerado e/ou de variedades precoces e tardias (Duarte Filho et al., 2007; Rios, 2007).
O morango é um fruto não climactérico com considerável taxa respiratória, elevada taxa de perda de água, e grande suscetibilidade a lesões mecânicas e a doenças. Este conjunto de fatores conduz a uma rápida deterioração, contribuindo para a redução do período de conservação pós-colheita (Flores Cantillano 2005; Cunha Junior et al., 2011, 2012). A refrigeração é dos métodos mais indicado para a conservação do morango, pois retarda a senescência dos frutos. O morango pode ser conservado à temperatura de 0°C e humidade relativa (HR) de 90-95%, durante cinco a sete dias (Kader, 1992, Chitarra e Chitarra, 2005).
No Brasil, na cadeia de produção e comercialização de morango o uso de refrigeração é uma condição difícil ou inviável, uma vez que não se consegue manter a cadeia de frio desde o produtor ao retalhista. Deste modo, tratamentos complementares com fungicidas, embalagem em atmosfera modificada, entre outros, têm sido utilizados para aumentar o efeito da conservação, a temperaturas de refrigeração superiores a 0 °C (Cunha Junior et al., 2011, 2012; Leite et al., 2015).
Na tentativa de melhorar a aparência e o tempo de comercialização, o produtor de morango acondiciona o fruto em pequenas caixas de tereftalato de polietileno (PET), com capacidade de cerca de 200-500 g, revestida com filme de policloreto de vinilo (PVC) de 0,007 mm de espessura (Santos, 1997) ou tampa de PET perfurado, o que evita parcialmente a desidratação, a contaminação durante o transporte, facilitando a sua comercialização, mas contribuindo pouco para aumentar a vida de prateleira.
No mercado existe uma gama de filmes poliméricos que podem ser utilizados nas embalagens de modo a aumentar o período de comercialização destes produtos. Assim, o objetivo do trabalho foi avaliar e selecionar os filmes mais adequados capazes de aumentar a vida pós-colheita dos morangos mantendo a qualidade, sem alteração económica na cadeia produtiva atual.
MATERIAL E MÉTODOS
Material Vegetal
Morangos da cultivar Oso Grande foram colhidos nas primeiras horas do dia, com 50-75% da superfície de cor vermelho-brilhante (Flores Cantillano, 2005) e acondicionados em caixas de tereftalato de polietileno (PET) com tampa perfurada. Após a colheita, os frutos foram cuidadosamente transportados para o Laboratório, criteriosamente selecionados, tendo sido retirados os frutos contaminados, com pragas ou doenças, danos físicos, coloração inadequada e os sobremaduros. Após a homogeneização do lote, os morangos foram acondicionados em câmara frigorifica à temperatura de 10 °C, para fazer baixar rapidamente o calor latente num período de duas horas e posteriormente foram acondicionados nas embalagens. Este procedimento foi utilizado para os dois ensaios.
Ensaio 1: Seleção de filmes para acondicionamento das embalagens de morango para conservação
Os morangos selecionados e pré-refrigerados foram acondicionados em caixas de polietileno de tereftalato (PET), da marca ALUPET® modelo A-35, utilizada como suporte e contentor dos frutos e cobertos com 9 diferentes filmes poliméricos: 1 - Filme Cryovac - PD 900®; 2 - Filme Polipropileno (PP) com 0,006 mm de espessura; 3 - Filme de Polietileno de Baixa Densidade (PEBD) com 0,006 mm de espessura; 4 - Filme Vegetal-pack® com 0,018 mm de espessura; 5 - Filme Cryovac D955® com 0,011 mm de espessura, termoencolhível; 6 - Filme Cryovac D955® com 0,019 mm de espessura, termoencolhível; 7 - Filme Goodyear® Policloreto de Vinilo (PVC) com 0,007 mm de espessura; 8 - Filme Goodyear® PVC com 0,020 mm de espessura e 9 - Tampa PET perfurada, marca ALUPET® modelo A-35 (Controlo). As embalagens foram armazenadas à temperatura de 10 °C e 95% HR durante um período de 6 dias.
As embalagens foram avaliadas, diariamente, quanto à composição gasosa (teores de CO2 e O2) no seu interior, perda acumulada de massa fresca (PMF), aspeto global e indício de doenças. Os teores de acidez titulável (AT), ácido ascórbico (AA), sólidos solúveis totais (SST), acetaldeído e etanol foram avaliados no dia da colheita e após 6 dias de armazenamento, utilizando-se 3 repetições por tratamento e utilizada 1 caixa por repetição. Para a firmeza e coloração foram utilizados 20 morangos por modalidade.
Ensaio 2: Validação e eleição dos melhores filmes para a conservação de morango
Um novo lote de morangos foi selecionado, pré-refrigerado e acondicionado de acordo com os filmes eleitos no ensaio 1, mantendo-se o controlo. Deste modo, foram testados os seguintes filmes: Validação - 1 (V1): Filme de PEBD com 0,006 mm de espessura; Validação 2 (V2): Filme Goodyear® PVC com 0,020 mm de espessura; Validação 3 (V3): Filme Vegetal-pack® com 0,018 mm de espessura; Validação 4 (V4): Filme Cryovac D955® com 0,019 mm de espessura, termoencolhível; Controlo 5 (V5): Tampa PET perfurada, marca ALUPET® modelo A-35.
As embalagens foram armazenadas à temperatura de 10 °C e 95% HR por um período de 8 dias e diariamente avaliadas quanto à composição gasosa no seu interior. A cada dois dias avaliaram-se a perda da massa fresca (PMF), coloração e firmeza, sendo utilizados 20 morangos. Determinaram-se os teores de acidez titulável (AT), ácido ascórbico (AA) e sólidos solúveis totais (SST), em quatro repetições. Cada amostra pesava cerca de 300 gramas de morango. Quantificaram-se também os teores de acetaldeído e etanol, aspeto global e ocorrência de doenças.
Análises da composição da atmosfera da embalagem e determinação dos parâmetros de qualidade
Composição atmosférica (concentrações de O2 e CO2) - determinada com analisador de gases PBI Dansensor (modelo CheckMate 9900 O2/CO2) e expressa em kPa. Foram analisadas 10 embalagens por modalidade.
Perda de massa fresca - calculada em função da variação da massa dos frutos nas diferentes amostragens (modalidades e tempos), através de pesagem em balança semi-analítica (marca Tecnal, classe II, precisão de 0,01 grama), expressa em percentagem.
Aspeto Global- avaliada com uma escala notas de 0 a 3 pontos, sendo 3 = Ótimo (frutos sãos; túrgidos; cor característica); 2 = Bom (frutos sãos; perda de turgidez ou sem cor característica); 1 = Mau (sintomas de doença; sem turgidez e sem cor característica; e 0 = Péssimo (com sintomas de doença). A nota 1 foi considerada a nota de rejeição, ou seja, os frutos estão impróprios para a comercialização (Cunha Junior et al., 2011).
Teor de acidez titulável- determinado com base no método 942.15 da AOAC (1997), expresso em g de ácido cítrico por 100 g de fruto fresco.
Teor de ácido ascórbico - determinado por titulação com base no método descrito por Strocker e Henning (1967).
Teor de sólidos solúveis totais - leitura direta utilizando refratômetro digital Atago (met. 932.12 da AOAC 1997).
Teores de acetaldeido e etanol - determinados conforme Cunha Junior et al. (2011).
Firmeza - determinada com penetrômetro digital (marca Tr-Turoni, Sammar 53200), diretamente na parte lateral dos frutos, expressa em Newton (N).
Coloração externa- determinada nos dois lados de cada fruto, utilizando colorímetro Minolta, (modelo CR-300) CIE (Lab), resultados expressos em luminosidade (L), tonalidade (Hº) e cromaticidade (C), de acordo com McGuirre (1992).
Análise estatística
Os ensaios foram realizados em delineamento inteiramente casualizado, os dados foram submetidos à análise de variância pelo teste F e as médias comparadas pelo teste de Tukey, a 5% de probabilidade. Os teores de acetaldeído e etanol foram analisados conforme proposto por Shamaila et al. (1992), onde médias com diferença igual ou superior a duas vezes o erro padrão são consideradas significativamente diferentes entre si. Foi utilizado o software Statistica, versão 7.0 para a análise dos dados (StatSoft, 2004).
RESULTADOS E DISCUSSÃO
Ensaio 1: Seleção de filmes para a conservação de morango
Os frutos acondicionados nas caixas PET cobertos com o filme de PP 0,006 mm e o Cryovac® D955 termoencolhivel de 0,019 mm de espessura apresentaram ao sexto dia, a pontuação mais elevada (Nota 2) Bom, enquanto os acondicionados com o filme Vegetal-pack® com 0,018 mm obtiveram nota 1 - Mau (Figura 1). A fraca pontuação atribuida ao produto embalado com Vegetal-pack® deveu-se à condensação de vapor de água no seu interior. Esta condensação de água foi originada pela diferença de pressão de vapor entre o produto e a camâra de armazenamento, pondo em evidência que a pré-refrigeração por 2 horas a 10 ºC não foi o suficiente. Segundo Malgarim et al. (2006) o pré-arrefecimento precisa ser de 1 hora a -3 ºC, até que a temperatura da polpa dos morangos atinja 4 °C, contudo, não se utilizou esta temperatura pois não representa a realidade da cadeia produtiva nacional.
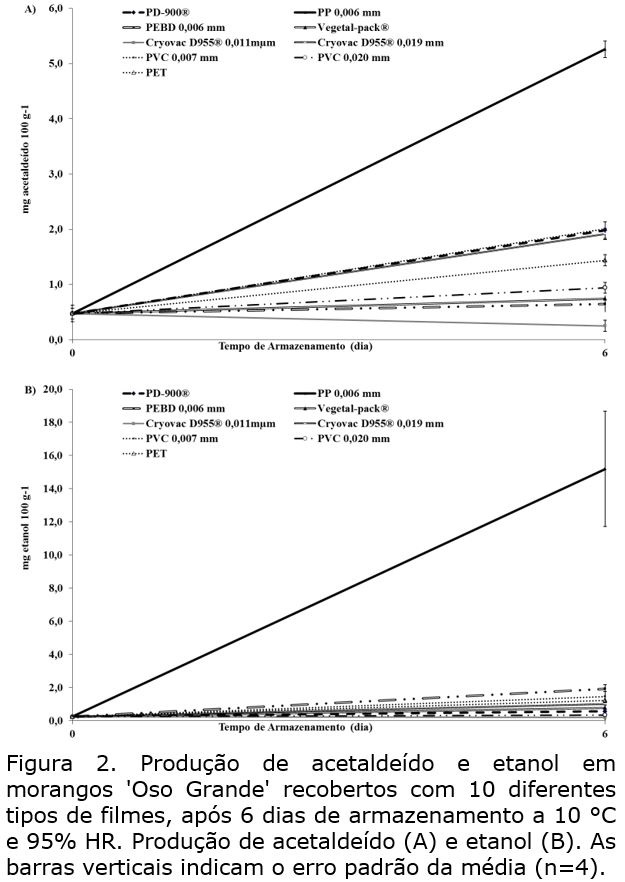
A embalagem PET com tampa perfurada não apresentou alterações na sua atmosfera, durante o período de armazenamento, mantendo as concentrações de O2 (19,7 kPa) e de CO2 (0,09 kPa). As embalagens com o filme de polipropileno (PP) apresentaram a maior alteração na composição gasosa, com aumento do teor de CO2 para 30,3 kPa e redução de O2 para 0,42 kPa, durante o período de armazenamento. Os frutos acondicionados em PP apresentaram ao fim de seis dias boa aparência (Figura 1), contudo com odor alcóolico, perceptível no seu interior, comprovado pelos maiores teores de acetaldeído (Figura 2A) e de etanol (Figura 2B). A redução do teor de O2 (0,4 kPa) e aumento do CO2 (30,3 kPa) desencadeou a ativação do sistema de respiração anaeróbica com redução de energia a nível celular, como indicado por Watkins et al. (1999).
As atmosferas no interior das embalagens com filme PD-900® e PEBD também apresentaram mudanças consideráveis nas concentrações de CO2 para 12,1 kPa e 10,0 kPa, e de O2 para 3,5 kPa e 1,02 kPa, respetivamente, após seis dias. O filme D955® com 0,019 mm apresentou uma alteração das concentrações de gases ao primeiro dia, estabilizando posteriormente, com pressões da ordem dos 6 kPa de CO2 e 12 kPa de O2, o que pode ter contribuído para o bom aspeto global dos frutos desta embalagem (Figura 1). A estabilidade das concentrações elevadas de CO2 e reduzida de O2 no interior da embalagem com o filme D955® 0,019 mm, proporcionou rápido efeito destes gases no metabolismo dos frutos, reduzindo a atividade respiratória (Cunha Junior et al. 2011, 2012), o que contribuiu para uma boa conservação. O aumento nos teores de acetaldeído e de etanol (Figuras 2A e 2B, respetivamente) observado nas modalidades (exceto os valores observados em PP) podem ser atribuídos ao avanço da senescência (Watkins et al., 1999), como no caso dos frutos acondicionados com PD-900® e D955® 0,019 mm de espessura. Cabe realçar que estes fazem parte dos compostos voláteis totais aromáticos do morango (Zaldivar et al., 2007).
A perda de massa fresca nos morangos em caixas PET cobertos com os diferentes filmes plásticos foi inferior a 0,5%, sendo aproximadamente dez vezes menor que a dos frutos acondicionados em caixas PET com tampa perfurada, em que a redução da massa inicial foi de 4,5%. Uma vez que os filmes plásticos apresentam barreira ao vapor de água (Kader et al., 1989), mantêm elevada humidade relativa no ambiente interno das embalagens, que implica uma insignificante perda de massa fresca (Sarantópoulos et al., 1996).
Os teores de ácido ascórbico e acidez titulável e os valores de firmeza não apresentaram diferenças significativas entre as diferentes modalidades ao sexto dia (Quadro 1). Contudo, observou-se um mais elevado teor de SST nos morangos acondicionados com o filme PP (Quadro 1), e tal facto pode ser reflexo da baixa taxa de energia despendida na respiração anaeróbica, consumindo maior teor de hidratos de carbono na produção de energia (Deuchande et al., 2016). Os filmes utilizados influenciaram os parâmetros que caracterizam a cor externa dos morangos, porém não percetível visualmente (Quadro 1), o que também foi relatado por Brackmann et al. (2001) em armazenamento de morangos à temperatura de 20 ºC.
Ensaio 2: Validação e eleição dos melhores filmes para a conservação de morango
Os frutos acondicionados nas embalagens com os filmes PVC e D955® apresentavam aparência boa ou mesmo ótima (Figura 3) ao sexto dia de conservação, confirmando o resultado verificado anteriormente (Figura 1), sendo que os morangos acondicionados com o filme Cryovac D955® evidenciaram boa aparência até ao oitavo dia. A embalagem Controlo foi eliminada ao sexto dia, devido ao alto índice de deterioração dos frutos, deixando-os sem condições de comercialização.
A perceção da não alteração da coloração, observada visualmente foi também constatada pela análise estatística, onde os parâmetros objetivos de coloração externa dos frutos não apresentaram diferenças significativas, com valores médios de luminosidade (37,8) cromaticidade (25,7) e ângulo de cor (27,8), respetivamente. Estes resultados vão ao encontro dos reportados por Brackmann et al. (2001) e Cunha Junior et al. (2011, 2012).
A atmosfera no interior da caixa PET coberta com tampa perfurada foi idêntica à da câmara fria, onde todas as embalagens foram armazenadas. Esta atmosfera não sofreu significativas alterações durante o período de tempo considerado e manteve os valores de 19,4 kPa de O2 e 0,07 kPa de CO2. Na caixa recoberta com PEBD o teor de CO2 aumentou de 0,04 kPa para 5,6 kPa e o de O2 diminuiu de 20,5 kPa para 4,3 kPa em 24 horas (Figura 4A). O teor de O2 não se alterou até ao final do armazenamento, enquanto o de CO2 aumentou gradualmente até ao sexto dia, estabilizando no valor 10,62 kPa de CO2 (Figura 4A).
O filme de PVC de 0,020 mm de espessura evidenciou baixa barreira aos gases atmosféricos, reduzindo a concentração de O2 para valores de 11,82 kPa e aumentando a de CO2 para 3,0 kPa, no seu interior, durante o período de armazenamento (Figura 4B). A caixa recoberta com o filme Vegetal-pack® apresentou efeito semelhante à recoberta com o filme PVC, apresentando o mesmo valor para o teor de O2, enquanto para o teor de CO2, 5,25 kPa, duplicou o valor (Figura 4C). A amostra correspondente à caixa revestida com o filme D955® também sofreu um aumento na concentração de CO2 e uma redução no teor de O2, na atmosfera interna das embalagens, que no final do período de armazenamento era de 6,45 kPa de CO2 e 5,52 kPa de O2 (Figura 4D).
As caixas acondicionadas com os filmes PEBD e D955® sofreram um acréscimo de teor de CO2 proporcionando ambiente desfavorável ao desenvolvimento de podridões, como indicado por Hertog et al. (1999). Por outro lado, o aumento de CO2 aliado à redução de O2 levou à redução do metabolismo proporcionando as melhores pontuações no que se refere ao aspeto global dos frutos recobertos com PEBD, D955® e PVC 0,020 mm no oitavo dia de armazenamento (Figura 3).
Os morangos revestidos com os filmes Vegetal-pack® e PVC apresentaram teores de acetaldeído e etanol (Figuras 5A e 5B) semelhantes aos encontrados nos frutos da caixa coberta com tampa PET perfurada. A caixa com o filme D955® proporcionou um aumento no teor de acetaldeído e etanol dos morangos, enquanto a caixa com PEBD foi a que evidenciou os teores mais elevados de acetaldeído e etanol (Figuras 5A e 5B), contudo, não provocaram o aparecimento de odor alcoólico nos frutos.
A perda acumulada da massa fresca dos (PMF) dos frutos acondicionados na caixa PET com tampa perfurada foi de 2,6%, em 6 dias de armazenamento, enquanto nos frutos submetidos às demais modalidades, a perda foi inferior a 1%, não atingindo os valores de 6%, referidos em García et al. (1998) e Cunha Junior et al. (2011, 2012). Considerando este valor, o limite máximo sem que ocorra redução no valor comercial do morango. Estes resultados confirmam que os filmes testados apresentaram boa barreira ao vapor de água, minimizando o diferencial entre a pressão de vapor (DPV) dos frutos e o ambiente, reduzindo a transpiração e permitindo manter a melhor qualidade.
Os teores de SST, de AA, nem os valores de firmeza dos frutos foram significativamente afetados pelos tipos de filmes, apresentando apenas redução linear dos seus valores ao longo do período de armazenamento. Os frutos apresentaram valores iniciais de 7,7 ºBrix e de 7,0 ºBrix, no final do período, o que também foi relatado por Gil et al. (1997) por se tratarem de frutos não climatéricos.
A firmeza dos frutos decresceu 7% (valor inicial de 5,4 N e final de 5,0 N), enquanto o teor de ácido ascórbico diminuiu em 20% (valor de 6,2 mg de para 5,0 mg de ácido ascórbico por 100 gramas de massa fresca de morango). Estas tendências são inerentes ao metabolismo de senescência dos frutos na pós-colheita (Kader 1992; Chitarra e Chitarra, 2005).
Os teores de acidez titulável não diminuíram durante o período de armazenamento, mas os frutos acondicionados na caixa com filme PEBD apresentaram o menor valor de acidez titulável (0,81 g ác. cítrico.100g-1) e os acondicionados em PET, um valor ligeiramente mais elevado, de 0,86 g ác. cítrico.100g-1 (Quadro 2). A diferença no teor de acidez titulável não é suficiente para aferir uma mudança no metabolismo dos ácidos nos frutos, podendo estar relacionada com o grau de maturação no momento da colheita (Kader, 1992, Chitarra e Chitarra, 2005).
CONCLUSÕES
As avaliações das modalidades evidenciaram que existe a possibilidade de se introduzir novos filmes no processo de comercialização de morangos proporcionando benefícios na conservação, sem alterar o balanço económico da cadeia.
O filme Cryovac® D955 termoencolhível de 0,019 mm de espessura apresenta excelente potencial para a conservação, no entanto seria necessário introduzir uma alteração nas linhas de embalagem e acondicionamento.
Os filmes de PEBD 0,006 mm e o Goodyear® de PVC com 0,020 mm conduzem a bons resultados na manutenção da qualidade, sendo alternativas a considerar sem, contudo ocasionar alterações na cadeia produtiva deste fruto.
Referências Bibliográficas
A.O.A.C. (1997) - Official methods of analysis of the Association of Official Analytical Chemists International. Ed. Patrícia Canniff, Washington. vol. 2, cap. 37, p. 6, p. 10-11; cap. 42, p. 2-3. [ Links ]
Brackmann, A.; Hunsche, M.; Waclavowsky, A.J & Donazzolo, J. (2001) - Armazenamento de morangos cv. Oso Grande (Fragaria ananassa L.) sob elevadas pressões parciais de CO2. Revista Brasileira de Agrociência, vol. 7, p. 10-14. [ Links ]
Chitarra, M.I.F. & Chitarra, A.B. (2005) - Pós-colheita de frutas e hortaliças: fisiologia e manuseio. FAEPE, Lavras. 783 p. [ Links ]
Cunha Júnior, L.C.; Jacomino, A.P.; Trevisan, M.J. & Scarpare Filho, J.A. (2011) - Altas concentrações de oxigênio favorecem a conservação de morango 'Oso Grande'. Revista Brasileira de Fruticultura, vol. 33, n. 4, p. 1074-1083. http://dx.doi.org/10.1590/S0100-29452011000400005 [ Links ]
Cunha Júnior, L.C.; Jacomino, A.P.; Ogassavara, F.O.; Trevisan, M.J. & Parisi, M.C.M. (2012) - Armazenamento refrigerado de morango submetido a altas concentrações de CO2. Horticultura Brasileira, vol. 30, n. 4, p. 688-694. http://dx.doi.org/10.1590/S0102-05362012000400020 [ Links ]
Deuchande, T.; Carvalho, S.M.P.; Guterres, A.; Fidalgo, F.; Isidoro, N.; Larrigaudière, N. & Vasconcelos, M.W. (2016) - Dynamic controlled atmosphere for prevention of internal browning disorders in Rocha pear. Food Science and Technology, vol. 65, p. 725-730. http://dx.doi.org/10.1016/j.lwt.2015.08.075 [ Links ]
Dias, M.S.C.; Duarte Filho, J.; Pacheco, D.D.; Rios, S.A. & Lanza, F.E. (2007) - Produção de morango em regiões não tradicionais. Informe Agropecuário,vol. 28, p. 24-33. [ Links ]
Duarte Filho, J.; Antunes, L.E.D. & Pádua, J.G. (2007) - Cultivares. Informe Agropecuário, vol. 28, p. 20-23. [ Links ]
Flores-Cantillano, R.F. (2005) - Colheita e pós-colheita. In: Pereira, D.P.; Bandeira, D.L. & Quincozes, E.R.F. (Eds.) - Sistema de produção do morango. Pelotas. EMBRAPA Clima Temperado. (EMBRAPA Clima Temperado. Sistema de produção, 5) Versão Eletrônica. [ Links ]
García, J.M.; Medina, R.J. & Olías, J.M. (1998) - Quality of strawberries automatically packed in different plastic films. Journal of Food Science, vol. 63, n. 6, p. 1037-1041. http://dx.doi.org/10.1111/j.1365-2621.1998.tb15849.x [ Links ]
Gil, M.I.; Holcroft, D.M. & Kader, A.A. (1997) - Changes in strawberry anthocyanins and other polyphenols in response to carbon dioxide treatments. Journal Agricultural Food Chemistry, vol. 45, n. 5, p. 1662-1667. http://dx.doi.org/10.1021/jf960675e [ Links ]
Hertog, M.L.A.T.M.; Boerrigter, H.A.M.; Van De Boogaard, G.J.P.M.; Tijskens, L.M.M. & Van Schaik; A.C.R. (1999) - Predicting keeping quality of strawberries (cv. Elsanta) packed under modified atmospheres: integrated model approach. Postharvest Biology and Technology, vol. 15, n. 1, p. 1-12. http://dx.doi.org/10.1016/S0925-5214(98)00061-1 [ Links ]
Kader, A.A. (1992) - Postharvest technology of horticultural crops. University of California, Oakland. 296 p. [ Links ]
Kader, A.A.; Zagory, D. & Kerbel, E.L. (1989) - Modified atmosphere packaging of fruits and vegetables. Critical Reviews in Food Science and Nutrition, vol. 28, n. 1, p. 1-30. http://dx.doi.org/10.1080/10408398909527506 [ Links ]
Leite, B.S.F.; Borges, C.D.; Carvalho, P.G.B. & Botrel, N. (2015) - Revestimento comestível à base de goma xantana, compostos lipofílicos e/ou cloreto de cálcio na conservação de morangos. Revista Brasileira de Fruticultura, vol. 37, n. 4, p. 1027-1036. http://dx.doi.org/10.1590/0100-2945-228/14 [ Links ]
Malgarim, M.B.; Tibola, C.S.; Zaicowisk, C.; Ferri, V.C. & Silva, P.R. (2006) - Modificação da atmosfera e resveratrol na qualidade pós-colheita de morangos cv. Camarosa. Current Agricultural Science and Technology, vol. 12, n. 1, p. 67-70. http://dx.doi.org/10.18539/cast.v12i1.4489 [ Links ]
McGuire, R.G. (1992) - Reporting of objective color measurements. HortScience, vol. 27, n. 12, p. 1254-1255. [ Links ]
Rios, S.A. (2007) - Melhoramento genético do morangueiro. Informe Agropecuário, vol. 28, p. 14-18. [ Links ]
Santos, A.M. (1997) - Dos cultivos de pequenas frutas, em regiões de clima temperado do Brasil, sob cobertura plástica. In: Foro Internacional de Cultivo Protegido, 1997. Botucatu. Anais.Botucatu:UNESP, p. 168-174. [ Links ]
Sarantópoulos, C.I.G.L.; Alves, R.M.V.A. & Oliveira, L.M. (1996) - Embalagens com atmosfera modificada.CETEA, ITAL, Campinas. 114 p. [ Links ]
Shamaila, M.M.; Powrie, W.D. & Skura, B.J. (1992) - Sensory evaluation of strawberry fruit stores under modified atmosphere packaging (MAP) by quantitative descriptive analysis. Journal of Food Science, vol. 57, n. 5, p. 1168-1172. http://dx.doi.org/10.1111/j.1365-2621.1992.tb11290.x [ Links ]
StatSoft, Inc. (2004) - Statistica (data analysis software system), version 7. <www.statsoft.com> [ Links ].
Strohecker, R.L. & Henning, H.M. (1967) - Analisis de vitaminas: métodos comprobados. Paz Montalvo, Madrid. 428 p. [ Links ]
Watkins, C.B.; Manzano, M.J.E.; Nock, J.F.; Zhang, J.J.; Maloney, K.E. & Zhang, J.Z. (1999) - Cultivar variation in response on strawberry fruit to high carbon dioxide treatments. Journal of the Science of Food and Agriculture,vol. 79, n. 6, p. 886-890. http://dx.doi.org/10.1002/(SICI)1097-0010(19990501)79:6<886::AID-JSFA303>3.0.CO;2-0
Zaldivar, C.P.; Abda, J.B.; Ebeler, S.E. & Kader, A.A. (2007) - Quality and chemical changes associated with flavor of Camarosa strawberries in response to CO2 enriched atmosphere. Hortscience, vol. 42, n. 2, p. 299303. [ Links ]
Agradecimentos
Os autores agradecem à FAPESP pelo apoio financeiro na pesquisa e elaboração deste trabalho (Processo 2008/04553-6).
Recebido/received: 2016.12.08
Recebido em versão revista/received in revised form: 2017.02.08
Aceite/accepted: 2017.02.11













