Serviços Personalizados
Journal
Artigo
Indicadores
-
Citado por SciELO -
Acessos
Links relacionados
-
Similares em
SciELO
Compartilhar
Revista de Ciências Agrárias
versão impressa ISSN 0871-018X
Rev. de Ciências Agrárias vol.40 no.1 Lisboa mar. 2017
https://doi.org/10.19084/RCA15165
ARTIGO
Impactos das rendas não-agrícolas sobre os indicadores de pobreza FGT para as famílias rurais pernambucanas
Impact of non-agricultural income in FGT poverty indexes for Pernambucan rural families
Alan Francisco Carvalho Pereira1,*, Wellington Ribeiro Justo2 e João Ricardo Ferreira de Lima3
1Mestrando em economia PPGECON/UFPE, Rua Iracema Araújo Freire, 170 Maurício de Nassau, Caruaru PE, Brasil (*e-mail: alanpereira1993@hotmail.com )
2Professor associado URCA. Doutor em Economia pela UFPE (e-mail: justowr@yahoo.com.br )
3Pesquisador A da Embrapa Semiárido. Doutor em Economia Aplicada pela UFV. (e-mail: joao.ricardo@embrapa.br )
RESUMO
A elevada incidência da pobreza e os grandes desequilíbrios nas condições socioeconômicas dos indivíduos residentes no meio rural dos estados da região Nordeste, são objeto de estudo quando se busca entender as diferentes dinâmicas geográficas do desenvolvimento econômico brasileiro. A partir dos anos 90, mesmo com a evolução positiva no desempenho econômico do país e com as grandes transformações econômicas ocorridas nas duas últimas décadas, observou-se que os progressos na redução dos problemas sociais no Nordeste rural foram bastante inferiores aos das demais regiões. O objetivo do trabalho é mostrar os efeitos das rendas Não-Agrícolas sobre os indicadores de pobreza Foster-Greer-Thorbecke (FGT) para as famílias rurais do estado de Pernambuco utilizando a metodologia Propensity Score Matching (PSM). De acordo com os resultados observados, o impacto médio das rendas não agrícolas sobre as exclusivamente agrícolas é de R$ 177,93 e R$ 180,40 pelos dois métodos de pareamento utilizados; a proporção de pobres cai mais de 24 pontos percentuais; o hiato da pobreza é reduzido em média 27 pontos percentuais e a severidade da pobreza diminui mais de 22 pontos percentuais.
Palavras-Chave: Pobreza. Rendas Não-Agrícolas. Pernambuco. Propensity Score.
ABSTRACT
The high incidence of poverty and the great imbalances in socioeconomic conditions of individuals residing in rural areas of the states of the Northeast, are the subject of study when it seeks to understand the different geographical dynamics of Brazilian economic development. From the 90s, even the positive developments in the economic performance of the country and the great economic transformations that have occurred in the last two decades, it was observed that the progress in reducing social problems in the rural Northeast were much lower than the other regions. The objective is to show the effects of non-agricultural incomes of the Foster-Greer-Thorbecke poverty indices (FGT) for rural households in the state of Pernambuco using the propensity score matching methodology (PSM). According to the observed results, the average impact of non-farm incomes on agricultural exclusively to R$ 177.93 and R$ 180.40 for the two pairing methods used; the proportion of poor fell more than 24 percentage points; the poverty gap is reduced on average by 27 percentage points and the severity of poverty decreases more than 22 percentage points.
Key-Words: Poverty. Non-agricultural incomes. Pernambuco. Propensity Score.
INTRODUÇÃO
A elevada incidência da pobreza e os grandes desequilíbrios nas condições socioeconômicas dos indivíduos residentes no meio rural da região Nordeste Brasileiro, são objeto de estudo quando se busca entender as diferentes dinâmicas geográficas do desenvolvimento econômico brasileiro (Nascimento, 2008). O reconhecimento da caracterização de uma diferenciação regional no crescimento econômico se tornou tema principal nas discussões e estudos na década de 70, onde se observou que as altas taxas de expansão da capacidade produtiva não eram suficientes para resolver o aumento das deficiências na estrutura distributiva de renda (Rocha, 2003).
Apesar do alto nível de crescimento do produto nacional que ocorreu, no período de 1967 a 1979, um agravamento nas condições de vida de parte da população, principalmente no meio rural, piora em muitos indicadores sociais como os de incidência de pobreza, analfabetismo e desemprego (Mariano e Neder, 2006).
A partir dos anos 90, mesmo com a evolução positiva no desempenho econômico do país e com as grandes transformações econômicas ocorridas nas duas últimas décadas, observou-se que os progressos na redução dos problemas sociais no Nordeste foram bastante inferiores aos das demais regiões, pois essas desigualdades continuaram em eminência na região devido a permanência de uma elevada população em situação de pobreza e também quando é observada a qualidade de vida dos pobres nordestinos em comparação com os pobres das demais áreas do Brasil (Rocha, 2003).
A intensidade da representação do nordestino na pobreza nacional foi descrita por Rocha (2003), onde a autora mostra nos seus resultados que ao longo da década de 90, mesmo com a melhoria dos indicadores sociais trazidas pelo Plano Real, a participação da pobreza nordestina aumenta no contexto nacional de 41,58% para 42,03%. Este resultado se mostra mais intenso quando analisado com um recorte para o meio rural da região, que tem sua participação na pobreza rural do país elevada de 65,06% para 68,89%. Essa dinâmica negativa da evolução da pobreza rural do Nordeste foi compensada apenas em parte pela diminuição da pobreza nas famílias rurais residentes no Sul e no Centro-Oeste.
Entre as principais causas que trazem como consequência as discrepâncias na qualidade de vida da população pobre do Nordeste, segundo as análises do Grupo de Trabalho para o Desenvolvimento do Nordeste (GTDN, 1967), destacam-se o processo histórico de desenvolvimento do país que engloba desde a escassez de terras em condições adequadas para a produção; passando por uma política industrial que favoreceu o desenvolvimento econômico e urbanização das outras regiões (Sul, Sudeste e Centro-Oeste); e finalmente, devido à falta de compreensão dos problemas decorrentes das desigualdades de renda entre as regiões no planejamento econômico em que se deu o desenvolvimento nacional.
Ainda segundo o GTDN (1967), o resultado dessa falta de atenção com a região em questão, no que se refere à rota de investimentos e industrialização, aliado com a concentração de renda da das monoculturas predominantes na região e a baixa produtividade agrícola local, deixam esta como um retrato da baixa qualidade de vida da população pobre brasileira.
Em relação à divisão espacial da pobreza e as inferiores condições de vida da população pobre do Nordeste, alguns autores como Graziano da Silva (1997), Lima (2008) e Schneider (2009), argumentam que esses problemas são mais graves no meio rural da região, pois as famílias rurais desse recorte geográfico estão envolvidas em um conjunto de atividades agrícolas voltadas principalmente à subsistência que, na maioria dos casos, não agrega valor aos rendimentos e que demandam baixa qualificação técnica. Nascimento (2008) enfatiza outros possíveis determinantes da elevada pobreza no meio rural nordestino, entre eles: concentração de terras, influências negativas da seca (problema climático) na produção agrícola e pecuária, e as dificuldades de acesso ao crédito por parte dos pequenos produtores agrícolas da região.
A pouca diversificação nas fontes de renda associada com a forte dependência das famílias agrícolas para com as transferências governamentais, na forma de aposentadorias, pensões e programas sociais, formam uma barreira para o desenvolvimento social e produtivo do meio rural nordestino com uma falta de perspectiva para mudança, tendo como alternativa mais viável, os incentivos ao desenvolvimento de atividades produtivas não ligadas a agricultura como um meio de reversão desse quadro negativo de bem-estar social dessas famílias (Schneider e Fialho, 2000; Lima, 2008). Graziano da Silva (1997), Schneider (2009), e agências internacionais de pesquisa e financiamento (OIT, 2005; WORLD BANK, 2005) também enfatizam a importância das atividades não-agrícolas e a combinação dessas com as demais atividades agrícolas (pluriatividade), como meio para a superação da pobreza e desigualdade social no campo, bem como para o desenvolvimento do meio rural principalmente em regiões com maior incidência de pobreza rural.
Desse modo o objetivo desse trabalho é verificar se as rendas não-agrícolas têm efeito de diminuição dos indicadores de pobreza para as famílias rurais pernambucanas e mensurar o tamanho dessa diminuição. A questão que se formula é: Quais os impactos das rendas não-agrícolas sobre a pobreza rural no estado de Pernambuco? Este trabalho está dividido em 5 partes:a introdução; revisão de literatura; metodologia; resultados e principais conclusões.
REVISÃO DE LITERATURA
Rendas Não-agrícolas e pluriatividade: Conceitos fundamentais
O conceito de rendas não-agrícolas diz respeito aos rendimentos advindos de atividades não ligadas à agricultura1. A incidência dessas atividades não-agrícolas é resultado da estrutura de desenvolvimento das áreas rurais, bem como do processo de integralização e distribuição, no espaço, das indústrias e serviços que antes só eram oferecidos nos grandes centros urbanos. Essas novas dinâmicas aliadas também ao desenvolvimento tecnológico da agricultura mudaram a configuração da oferta de mão de obra para outros setores produtivos que não necessariamente estão ligados de maneira direta à produção agrícola (Veiga, 2000; Schneider, 2009).
No meio rural de algumas regiões brasileiras e em muitos países do mundo, esse conjunto de atividades não-agrícolas ganharam importância nos estudos sociais a partir da década 70. Os argumentos quanto a relevância da introdução dessas atividades no meio rural por parte de membros das famílias agrícolas, discutem que as atividades não-agrícolas têm papel fundamental na manutenção das relações sociais no campo e incentivos ao próprio desenvolvimento e estruturação da agricultura. Se torna fundamental observar que a busca pela inserção das atividades não-agrícolas faz parte de estratégias das famílias rurais objetivando superar as dificuldades financeiras e riscos elevados da produção agrícola, bem como acesso a novos mercados de trabalho e produtos refletindo maiores oportunidades e melhoria das condições de vida (Kageyama, 1998).
As características fundamentais das atividades não-agrícolas que as tornam uma alternativa viável de estratégia para o desenvolvimento social e diminuição dos riscos por parte das famílias rurais são: maiores níveis e estabilidades nas rendas se comparados com a maior parte dos segmentos exclusivamente agrícolas, a exigência de capacitações não elevadas e fortalecimento das condições e perspectivas da ascensão social por parte dessas famílias rurais (del Grossi, 1999).
Após o entendimento das rendas advindas de atividades não-agrícolas como meio de diversificação e aumento na renda, deve se levar em consideração a combinação dessas atividades não-agrícolas com as rendas agrícolas por parte das famílias rurais. Assim, tem-se a pluriatividade2 que aborda uma situação em que pelo menos um membro da família exerce atividade exclusivamente agrícola e os demais empregados em outros setores.
Na literatura internacional, alguns autores como Fuller (1990), Carneiro (1995) e Gasson (1971) tem uma visão da pluriatividade como uma etapa posterior do desenvolvimento capitalista no meio rural. Além disso, esses autores argumentam que a combinação de atividades agrícolas e não-agrícolas é uma ação organizada pelos agentes visando a convergência de desequilíbrios econômicos e sociais do desenvolvimento agrário em ascensão a partir da década de 50.
No Brasil, além do objetivo principal de servir como estratégia para superação das vulnerabilidades sociais e financeiras como citado anteriormente, a pluriatividade altera as relações demográficas e produtivas entre o campo e a cidade pois muda de maneira estrutural o mercado de trabalho (Mattei, 1999). Um resumo das principais mudanças positivas resultantes da combinação das atividades agrícolas e não-agrícolas e sua contribuição para o desenvolvimento do rural brasileiro, segundo Graziano da Silva (1997) e Schneider (2009), são:
a) A elevação da renda da família, pois essas atividades não-agrícolas, em sua essência, são diretamente relacionadas com o comércio, e agroindústrias que dão maior valor agregado aos salários;
b) Maior contribuição para geração de emprego no espaço rural;
c) Estabilização dos rendimentos, em contraste com os efeitos sazonais na qual está sujeita a agricultura;
d) Redução das migrações do campo para a cidade, além do estímulo aos mercados e desenvolvimento dos territórios rurais locais.
Pobreza rural e suas características
Os temas relativos à pobreza ganharam uma maior relevância nos estudos relacionados ao desenvolvimento económico a partir do final do século XX, quando, em algumas partes da Europa e noutros países desenvolvidos, observaram-se que as questões relativas à pobreza e desigualdades sociais em nichos da população não estavam sendo equacionadas mesmo levando em consideração os efeitos do crescimento econômico. Assim, mesmo em países ricos ou nos países em desenvolvimento, a pobreza ganhou uma importância central na formulação de políticas; na elaboração de estudos sobre a sociedade e nos debates acadêmicos (Codes, 2008).
A incidência da pobreza numa determinada sociedade pode ser relacionada com o não atendimento (ou atendimento de forma inadequada) de algumas necessidades básicas de uma parcela dos indivíduos que compõem esta sociedade. Para que seja possível a investigação e caracterização desse fenômeno, faz-se necessário a definição dos tipos de necessidades que se busca investigar como fator condicionante da pobreza (Rocha, 2006).
As definições do fenómeno que se tornaram bastante generalizadas ao longo do período de desenvolvimento de estudos referidos a sua incidência foram aquelas relacionadas aos conceitos: pobreza absoluta (ou extrema pobreza) e pobreza relativa. O conceito de pobreza absoluta está relacionado ao não atendimento de necessidades ligadas ao mínimo vital de um indivíduo em questão, vinculando-se diretamente a ideia de sobrevivência física. O conceito relativo de pobreza é discutido para a sociedade em que o mínimo vital já é atendido, ou seja, quanto ao bem-estar da população, o único objetivo a ser alcançado é a diminuição da desigualdade entre os indivíduos (Rocha, 2006). Outros autores como Sen (2010), estudam a incidência do fenômeno pobreza levando em consideração as capacidades que uma pessoa possui (seja pelo aspecto produtivo; de interação social; de acesso à educação, etc.). Sendo assim, o conceito de pobreza está ligado a privação dessas capacidades dos indivíduos, ou seja, são os níveis de privação de liberdades dos seres que determinam os estágios de desenvolvimento social de uma população.
A utilização do conceito de pobreza como privação de liberdades (ou capacidades) dos indivíduos, tem a característica de abranger as mais diversas necessidades básicas de sobrevivência desses agentes, já que leva em consideração as múltiplas facetas que compõem o desenvolvimento da pobreza em uma sociedade. Esse enfoque multidimensional traz consigo uma maior eficiência no combate ao problema, pois tem a vantagem de proporcionar um maior entendimento das diversas características e pontos que precisam ser atacados para equacionar as questões relativas à pobreza (Barros et al., 2006).
O meio rural Brasileiro tem algumas características relevantes no que diz respeito às condições de vida das famílias. O estudo separado dessa área em relação ao meio urbano é resultado de um entendimento diferenciado quanto ao conceito de pobreza e necessidades básicas relacionadas à observação da estrutura de acesso à terra e recursos naturais; e disponibilidade de serviços públicos básicos de fácil acesso para a população de cada espaço geográfico.
A incidência da pobreza no meio rural está diretamente relacionada a ocorrência de outros problemas, como o aumento do desemprego nos setores urbano-industriais; a pressão demográfica sobre as grandes cidades; a violência urbana, etc. Todos esses fatores quando somados ao processo de mecanização e revolução produtiva na agricultura que ascenderam a posição relativa das regiões Sul, Sudeste e Centro-Oeste em detrimento do setor agrícola nordestino, fizeram com que surgissem parcelas da população rural dependentes de uma agricultura não desenvolvida e que se tornaram o retrato da pobreza rural brasileira. Sendo assim, o atraso no desenvolvimento da agricultura nordestina, e a característica de subsistência dessa agricultura, são uma das principais causas da reprodução das desigualdades sociais e aumento das disparidades nos indicadores de qualidade de vida para as famílias com fontes de rendimento exclusivamente ligadas a agricultura (Nascimento e Cardozo, 2007).
As desigualdades nos indicadores sociais e deficiências no desenvolvimento estrutural do campo são resultados, basicamente, das marcas históricas que englobam o processo de colonização do país e de sua essência exploratória, na qual, a colônia brasileira servia apenas como uma base para atendimento das necessidades da metrópole portuguesa. Dentre as principais consequências trazidas por esse processo histórico, as que mais se destacam como retratos da discrepância nas condições de vida no meio rural são: a incidência da pobreza; a concentração de renda; e os altos níveis de marginalização social, medidos por indicadores como taxa de analfabetismo, desocupação e anos de estudo (Hoffmann e Ney, 2007).
METODOLOGIA
Impactos das rendas não-agrícolas
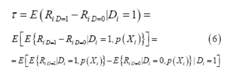
Para atender ao objetivo principal do trabalho que é medir o impacto (tamanho da diferença) entre as rendas das famílias não-agrícolas sobre as exclusivamente agrícolas, ou seja, que todos os seus integrantes têm fontes de rendas advindas apenas da agricultura, lança-se um exemplo de uma família como sendo essa exclusivamente agrícola e tendo renda per capita familiar igual a Ri. Sendo essa mesma família agora não-agrícola, o rendimento familiar per capita da unidade familiar em questão é dada pela seguinte expressão dada por Becker e Ichino (2002):
Onde,
D é uma variável dummy que assume valores 1 para famílias do tipo não-agrícolas e 0 para as exclusivamente agrícolas.
Para medir o tamanho da diferença nos rendimentos que as rendas não-agrícolas proporcionam é necessário medir a diferença total dos rendimentos dessa família quando ela passa a ser não-agrícola dado pela fórmula seguinte:
Expandindo a expressão para a população total , em uma análise mais geral, introduz-se o impacto médio (das rendas não-agrícolas sobre as rendas não agrícolas dada pela equação:
Sendo que
é o valor esperado condicional da diferença dos rendimentos de uma família dado que a família passou a ser não-agrícola. Como não é possível observar a família sendo não-agrícola e exclusivamente agrícola no mesmo instante de tempo, uma medida aproximada seria realizar a comparação entre dois grupos: um grupo formado por famílias não-agrícolas, grupo tratado, e outro formado por famílias exclusivamente agrícolas, grupo de controle, dado da seguinte forma (Duarte et al., 2009):
Nesse caso o impacto médio entre os grupos ( tem o viés que representam, basicamente, as diferenças dos rendimentos caudados por características antes da introdução das rendas não-agrícolas: grau de escolaridade dos membros da família, se os indivíduos possuem ou não aposentadoria e etc. Sendo assim, deve se procurar uma medida de análise que minimize esse viés que pode ser dada pela metodologia Propensity Score Matching.
Propensity Score Matching (PSM)
A metodologia Propensity Score Matching, ou mais resumidamente PSM, foi criada por Rosenbaum e Rubin (1983) objetivando reduzir o viés do cálculo do efeito médio do impacto de uma variável de interesse de um grupo tratado sobre um grupo de controle. A definição do Propensity Score, chamado então de , é entendida como a probabilidade condicional de participar do grupo tratado dado um vetor de características observáveis , mais formalmente dado pela expressão:
Após a estimação de torna-se factível o cálculo do impacto médio sobre uma população de participar ou não do grupo tratado. Assim surge o conceito de Average effect of Treatment on the Treated (ATT), ou em português, efeito médio do tratamento sobre os tratados (considerado aqui por ) dado, segundo Becker e Ichino (2002) aplicado ao contexto do trabalho por:
Para o cálculo de deve se admitir duas hipóteses sobre :
Hipótese 1 Equilibrio das variáveis observadas antes do tratamento, ou seja, que a seleção da amostra seja independente das características observadas condicionais às probabilidades de ter ou não renda não-agrícola, de maneira formal:
Hipótese 2 As rendas dos dois grupos (tratamento e controle) são independentes das variáveis observáveis utilizadas dado o propensity score:
O cálculo do ATT para este trabalho será feito considerando duas metodologias: método de Kernel e método Nearest Neighbor (ou vizinho mais próximo) (Beker e Ichino, 2002). No método Nearest Neighbor (NN) calcula-se a média da diferença da variável de interesse entre uma observação do grupo tratado com uma equivalente do grupo de controle levando em consideração o mais próximo. No método de Kernel (K) a comparação é feita com todas as observações tratas e a média ponderada das observações no grupo de controle. Os pesos que entram no cálculo da média são dados pelo inverso da diferença de para no grupo de tratamento e um correspondente no grupo de controle.
No presente trabalho o a aplicação do PSM se dará com o seguinte roteiro:Primeiro: calcular os indicadores de pobreza FGT para as rendas per capitas das famílias exclusivamente agrícolas e não agrícolas individualmente considerando as características individuais de cada grupo;Segundo: estimar o com base em um modelo logit e depois realizar o pareamento considerando os métodos de Kernel e Nearest Neighbor;Terceiro: Calcular o ATT levando em consideração a variável de interesse renda familiar per capita com base nos dois métodos referidos e, posteriormente, gerar duas variáveis, sendo cada uma um novo vetor de renda agrícola tratada correspondente a ampliação do rendimento resultante do ATT de cada método; e quarto: calcular os novos indicadores FGT para as famílias exclusivamente agrícolas considerando os novos vetores de rendas tratadas dada pela soma do rendimento anterior com cada ATT calculado na etapa anterior e observar o impacto dos rendimentos não agrícolas sobre os indicadores de pobreza rural.
Modelo Logit
Para a estimação do PSM, por meio do modelo logit, foram consideradas as variáveis dadas, segundo Lima (2008), como as mais relevantes que influenciam a probabilidade de uma família ser ou não do tipo não-agrícola. A variável dependente do modelo logit é uma dummy, assumindo o valor 1 se a família for não-agrícola e 0, caso contrário. As variáveis explicativas do modelo, incluídas no vetor de características são: idade média da PEA restrita; idade média da PEA restrita ao quadrado3; média de anos de estudo; número de componentes da família; duas dummies para posição na ocupação, definidas como 1 para conta-própria e 0, caso-contrário, além de 1 para empregados e 0, caso-contrário; uma variável dummy para local de moradia, assumindo valor de 1 para o rural mais distante (agropecuário) e 0, caso contrário. Também será considerada a razão de dependência formada dividindo o número de membros da família considerados dependentes (com idade menor que 10 anos ou maior que 65 anos) pela idade da PEA ativa; uma variável dummy indicando se a família possui ou não renda do não-trabalho, como aposentadorias, pensões ou transferência de renda do governo, por exemplo.
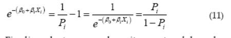
Para a análise dos determinantes das famílias serem ou não não-agrícolas será utilizado o modelo de repressão logística ou simplesmente logit. Esse modelo é baseado na função de distribuição logística acumulada especificada segundo Pindick e Rubinfeld (2004), da seguinte forma:
Na equação, é a base dos logaritmos naturais e tem valor aproximado de 2,7182. é a probabilidade de um indivíduo fazer uma escolha dado um vetor de características (ou variáveis) . Ainda segundo Pindyck e Rubinfeld (2004) para que seja estimado um modelo de regressão de acordo com essa função de distribuição logística é necessário que ambos os membros da equação anterior sejam multiplicados por
, para que se obtenha:
Dividindo-se ambos os lados por e subtraindo-lhes uma unidade, a expressão anterior será:
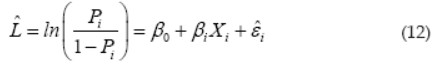
Finalizando, toma-se o logaritmo natural de ambos os lados da expressão anterior e o modelo de logit, como é conhecido, pode ser estimado segundo Gujarati (2009) e Greene (2008) pela seguinte equação:
Onde:
Pi é a probabilidade de um evento ocorrer assumindo os valores de 0 e 1;
ßi é o coeficiente angular estimado relacionado à -ésima variável;
Xi é o vetor de características do -ésimo indivíduo (família);
Ei é termo de erro estimado.
No contexto do presente estudo, a regressão estimada permitirá analisar o efeito de variáveis selecionadas no aumento ou diminuição da probabilidade de uma família rural do estado de Pernambuco ser do tipo não-agrícola. Assim, para este trabalho o modelo logit estimado pode ser descrito da seguinte maneira:
De acordo com as variáveis dependentes definidas anteriormente.
Parâmetros e índices de pobreza Foster-Greer-Thorbecke (FGT)
Para um estudo que vise a análise conceitual e das características da pobreza, faz-se necessário o estabelecimento de um parâmetro que não seja afetado pelo tempo em relação as condições de vida dos indivíduos. Essa medida é a fronteira da pobreza, a qual permite a uma sociedade específica definir como pobres todos aqueles indivíduos com indicadores abaixo desse parâmetro (Barros et al., 2000).
A orientação no que se refere às medidas de pobreza é que se leve em consideração as informações nutricionais no caso de formulação de linhas de indigência, e informações de cesta de consumo combinadas com coeficientes que representem as necessidades de moradia, saúde, transporte, etc. Porém, devido à complexidade e, muitas vezes, ausência dessas informações, as linhas de pobreza são adotadas com certa arbitrariedade, pois são referentes a informações de rendimento (Hoffmann, 1998).
Como argumento a favor do uso de múltiplos de renda como linhas de pobreza Hoffmann (1998) e Rocha (2006) citam o alto grau de monetarização da economia brasileira, onde a grande maioria das necessidades dos indivíduos é atendida pela via das trocas mercantis de forma indireta por meio dos rendimentos. Assim, para este trabalho a incidência de pobreza é calculada utilizando-se uma linha de pobreza igual à metade do salário mínimo de cada ano estudado.
A análise da incidência da pobreza é feita aqui por meio dos índices Foster-Greer-Thorbecke (FGT) que mostram os vários aspectos do fenômeno. O indicador de pobreza FGT é composto por três índices (Foster et al., 1984): P0 proporção dos pobres que mede o tamanho do número de pobres em relação à população total, P1 hiato da pobreza que mede a intensidade da pobreza como um déficit de renda, P2 severidade da pobreza que mostra quão desigual é a distribuição de renda entre os mais pobres da população estudada, dando uma maior relevância a esses últimos.
Segundo Lima et al. (2011), os índices FGT são compostos pelas seguintes equações:
Na qual,
é o numero de pessoas ou famílias abaixo da linha da pobreza;
é o tamanho da população analisada;
é a linha de pobreza4;
é a renda per capita do -ésimo elemento da população (renda familiar per capita).
Para Lima (2008), os dois últimos indicadores (hiato da pobreza e severidade da pobreza) são mais relevantes do que a proporção de pobres (P0), pois levam em consideração os mais pobres entre os pobres dando um peso maior a esses na análise de incidência da pobreza.
A unidade consumidora levada em consideração neste trabalho é a família (conjunto de indivíduos ligados por traços de parentesco) que representa a união das diversas necessidades dos indivíduos que a compõe e todo o esforço para otimização e atendimento dessas necessidades (Hoffmann, 1998; Kageyama, 1998). A renda per capita equivale ao rendimento familiar per capita (soma de todos os rendimentos da família divididos pela quantidade de pessoas da mesma família residentes no mesmo domicílio).
Fonte de dados
A base de dados para este trabalho é a Pesquisa Nacional por Amostra de Domicílios (Pnad) do IBGE para o ano de 2013 já com as novas ponderações. A Pnad possui um desenho de amostragem complexa com estratificação, conglomerado, probabilidades desiguais de seleção e ajustes de pesos amostrais. Segundo Lima (2008), tratar os dados da Pnad como IID (independentes e igualmente distribuídos) significa desconsiderar os efeitos de seu plano amostral e com isso construir os intervalos de confiança e estimar os níveis de significância erroneamente.
A estratificação da amostra da Pnad é feita dividindo o país em 36 estratos, dos quais 18 unidades são Estados que formam um estrato único e independente5, nas outras nove Unidades da Federação são definidos mais dois estratos em cada uma: um contando com todos os nove municípios da região metropolitana com sede na capital6 e o outro com os demais municípios, auto representativos e não auto representativos formando-se assim, mais 18 unidades de amostragem. Os municípios auto representativos (conhecidos como área censitária 2) são aqueles não pertencentes às Regiões Metropolitanas, mas que tem sua presença na amostra garantida, devido ao seu tamanho populacional maior que o estabelecido para os estratos. Os municípios não auto representativos (área censitária 3), são os demais municípios que tem população inferior ao estabelecida pela estratificação e não têm sua participação garantida na amostra ficando dependentes da seleção de municípios na realização da amostra (são selecionados 2 municípios não auto representativos para comporem o extrato da área censitária 3).
O software utilizado na pesquisa empírica é o Stata 12.1 comercializado pela Stacorp, College Station, Texas 77845 USA.
RESULTADOS E DISCUSSÃO
Iniciando os resultados apresentando indicadores relativos as condições de vida das famílias exclusivamente agrícolas e não agrícolas no meio rural de Pernambuco, observa-se pelo Quadro 1 que a renda per capita média das famílias rurais como um todo é de R$ 365,04; para as famílias exclusivamente agrícolas a média é de R$ 292,21; já para as não-agrícolas a média sobe para R$ 442,77, acima aproximadamente 21,09% da média para o estado como um todo e 51,36% maior que as rendas das famílias exclusivamente agrícolas. Mostrando assim que as famílias não-agrícolas têm aumento de renda relativo aos demais tipos de famílias rurais do estado.
A média dos anos de estudo também é maior para os integrantes das famílias não-agrícolas sendo estimada em 6,06 anos ficando acima da média para o meio rural do estado como um todo, 4,87 anos, e aproximadamente 53% acima da média para os integrantes das famílias exclusivamente agrícolas que foi de 3,96 anos de estudo. Para a taxa de analfabetismo, essa atinge 8,2% da população rural de Pernambuco entre 10 e 65 anos de idade. Para as famílias agrícolas a proporção de analfabetos aumenta para 12,5%; e para as famílias não-agrícolas a taxa é significativamente inferior que as duas anteriores sendo calculada em aproximadamente 2,6% da população pertencente à essa classe de família.
Em relação a taxa de desemprego também se observa melhores condições, levando em consideração comparação relativa, das famílias com rendas Não-Agrícolas com aproximadamente 10,9% da população entre 10 e 65 anos desempregada. Para as famílias rurais do estado como um todo, a proporção chega a 12,2% e para as famílias ligadas exclusivamente à agricultura a proporção é de 14%.
No Quadro 2 são apresentados os primeiros resultados dos indicadores de pobreza FGT antes da aplicação da metodologia Propensity Score Matching. De acordo com os resultados, a proporção de pobres (P0) é de aproximadamente 59,6% no meio rural da região Nordeste como um todo. Para o meio rural de Pernambuco, o indicador é de 57,2%. Considerando as famílias com renda exclusivamente a proporção de pobres sobre para 63,5% da população e as Não-Agrícolas apresentam pobreza de 49,1%. Essas tendências se repetem nos demais indicadores.
No hiato da pobreza, o cálculo para as famílias o Nordeste rural como um todo fica em 0,311 e acima do meio rural de Pernambuco com 0,287. Considerando as famílias exclusivamente agrícolas e as Não-Agrícolas, a diferença no indicador chega a 18,7 pontos percentuais.
A severidade da pobreza, medida de desigualdade de renda entre os mais pobres da população, é 0,202 no Nordeste rural; 0,182 no meio rural de Pernambuco como um todo; Sobe para 0,254 quando se consideram apenas as famílias com renda exclusivamente agrícolas e 0,087 nas famílias Não-Agrícolas. Esses primeiros resultados mostram, de maneira geral, que as rendas não-agrícolas têm efeito negativo sobre os indicadores de pobreza. Porém, essas diferenças podem acumular os efeitos de outras variáveis sobre as rendas das famílias como grau de escolaridade número de membros, entre outros, como já foi discutido anteriormente. Esses efeitos acumulados serão retirados por meio da aplicação do PSM.
No Quadro 3, são mostrados os resultados do modelo logit que foi usado para cálculo do Propensity Score. De acordo com os resultados, a maior parte das variáveis apresenta efeito estatisticamente significativo ao nível de confiança de 10% sobre a chances de a familiar ser ou não ser do tipo Não-Agrícola. A variável dummy para tipo de família (se é formada por empregados ou não) e razão de dependência da família não se mostraram estatisticamente significativas, apresentando assim diferença dos resultados estimados por Lima (2008).
A variável PEA e PEA ao quadrado mostram que a medida que a idade média dos indivíduos da família aumenta, a probabilidade de a familiar ser não agrícola aumenta, mas com ganhos marginais cada vez menores. Sendo assim, a idade mostra o efeito de U invertido contendo um ponto de máximo na qual a idade apresentaria o maior efeito sobre a probabilidade de ser ou não do tipo Não-Agrícola. As demais variáveis apresentam sinais esperados e são estatisticamente significativas a 10%.
O aumento da média dos anos de estudo e do número de componentes têm efeitos positivos sobre a familiar ser Não-Agrícola. Possuir rendas do não trabalho mostra efeito negativo devido a provável dependência da renda da família de programas sociais e aposentadoria, dependência essa que pode ser resultado de algum desequilíbrio no processo produtivo familiar. As famílias do tipo conta própria apresentam o maior efeito em módulo significando que a maior parte dos trabalhadores que têm renda Não-Agrícola são autônomos.
Por último, o Local de moradia apresenta efeito negativo, como já era de se esperar, devido a distância do acesso a serviços e estruturas produtivas que ficam cada vez mais difíceis de serem realizadas a medida que acontece um afastamento dos centros urbanos.
Após a realização do cálculo do Proponsity Score por meio do modelo logit, foi obtido o Efeito Médio do Tratamento (ATT) da renda per capita observando a diferença entre a renda tratada e não tratada com as famílias com scores semelhantes. No Quadro 4, o ATT é apresentado com duas metodologias, Kernel e Nearest Neighbor. Pelo método de Kernel, considerando 2.443 observações tratadas e 3.095 no grupo de controle, já que por esse método são considerados uma média ponderada de todas as observações no grupo de controle, o ATT calculado foi de R$ 177,24 estaticamente significativo com estatística acima de 9.
O ATT pelo método de Nearest Neighbor (ou vizinho mais próximo) apresentou diferença de R$ 180,41 sobre as 2.443 observações no grupo de tratamento e 911 no grupo de controle usadas no pareamento. Esse resultado também foi estatisticamente significativo com estatística de 8,128. De acordo com os resultados em ambos os métodos, a diferença entre as rendas Não-Agrícolas e exclusivamente agrícolas é positiva. Basicamente, tomando como exemplo um caso hipotético de uma família exclusivamente agrícola, em um primeiro momento, que passa a ter todos os membros empregados em atividades Não-Agrícolas posteriormente (passando assim a ser Não-Agrícola) tem seu rendimento per capita aumentando em 61,24% em média.
Depois de considerar o impacto do ATT sobre as rendas exclusivamente agrícolas, foram recalculados os indicadores de pobreza FGT com as novas rendas agrícolas considerando o tratamento. Esses resultados mostram o impacto das rendas não agrícolas sobre os indicadores de pobreza para as famílias rurais de Pernambuco tomando como base as exclusivamente agrícolas que apresentaram maiores níveis de pobreza de acordo com o Quadro 2. Os resultados pelos dois métodos são apresentados no Quadro 5.
Pelo método de Kernel, o efeito sobre os indicadores FGT são apresentados na terceira coluna da Tabela 5. A proporção de pobres cai 0,247 (ou 24,7 pontos percentuais). A medida de déficit de renda, o hiato da pobreza (P1) tem queda de 0,279 passando de 0,368 para 0,089. A medida de desigualdade de renda entre os mais pobres da população, severidade da pobreza tem queda de 0,227, passando de 0,254 para 0,027, o que representa quase a eliminação do problema considerando meio salário mínimo para o ano de 2013.
Os resultados pelo método de Nearest Neighbor têm uma magnitude ainda maior, relativamente comparando-o ao método de Kernel (como já era esperado já que o ATT por esse método foi maior do que pelo método de Kernel). A proporção de famílias pobres no meio rural de Pernambuco cai 0,251 passando de 0,635 para 0,383 da proporção de famílias com renda per capita inferior a meio salário mínimo. O hiato da pobreza apresenta uma diferença de 0,282, ficando em 0,085 após o tratamento. Ou seja, as famílias pobres com renda considerada após o tratamento sobem significativamente para próximo da linha da pobreza. A severidade da pobreza passa de 0,254 para 0,025 apresentando variação negativa de 0,229. Esses resultados somados ao mesmos pelo método de Kernel mostram efeitos significativos das rendas Não-Agrícolas sobre os indicadores de pobreza rural.
CONCLUSÕES
Concluindo os resultados do presente trabalho, o modelo de probabilidade usado para o cálculo do Propensity Score Matching, nesse caso o modelo logit, apresentou resultados já esperados no que diz respeito à probabilidade de auferir ou não rendas Não-Agrícolas. A idade mostrou efeito de U invertido sobre a probabilidade, mostrando assim que existe uma idade ótima na qual o componente da família tem maiores chances de ser Não-Agrícola. Na média dos anos de estudo, o efeito foi positivo, ou seja, cada ano a mais de estudo sobre a média de educação da família tem efeito de aumentar a probabilidade de essa ser do tipo Não-Agrícola.
Para o presente trabalho observou-se que o impacto das rendas Não-Agrícolas, tomando como base os dois métodos de pareamento utilizados, foram positivos considerando a diminuição dos indicadores de pobreza FGT. O efeito médio do tratamento (ATT) se mostrou alto quando comparado com as rendas per capitas familiares exclusivamente agrícolas. Pelo método de Kernel o impacto da introdução das rendas não ligadas à agricultura foi de R$ 177,24 representando um aumento de aproximadamente 61% nos rendimentos. Pelo método de Nearest Neighbor o impacto foi ainda maior sendo calculado em R$ 180,41 o que representa uma elevação nos rendimentos per capita familiares de 62%.
Analisando os impactos sobre os indicadores de pobreza, observou-se que a proporção de pobres caiu 0,247; o hiato da pobreza caiu 0,279; e a severidade da pobreza diminuiu em 0,227 levando em consideração a ponderação de todos os indivíduos do grupo de controle por intervalos nos scores de proporção, que é a base da metodologia de Kernel. Pelo método do vizinho mais próximo o impacto sobre a proporção de pobres foi de 0,251; sobre o déficit de renda, esse tem uma melhora de 0,282; e a severidade da pobreza caiu 0,229. Observa-se que os impactos medidos pelo segundo método foram maiores, isso devido ao ATT que também foi maior nesse segundo método que compara observações individuais com scores mais próximos entre os grupos de tratamento e controle.
REFERÊNCIAS BIBLIOGRÁFICAS
Barros, R.P. de; Carvalho, M. e Franco, S. (2006) - Pobreza multidimensional no Brasil. Texto para Discussão n.º 1227. IPEA, Rio de Janeiro. 108 p. [ Links ]
Barros, R.P. de; Henriques, R. e Mendonça, R. (2000) - A estabilidade inaceitável: desigualdade e pobreza no Brasil. In: Henriques, R. (Org.). - Desigualdade e Pobreza no Brasil. IPEA, Rio de Janeiro. 104 p. [ Links ]
Becker. S.O. e Ichino, A. (2002) - Estimation of average treatment effects based on propensity scores. The Stata Journal, vol. 2, n. 4, p. 358377. [ Links ]
Carneiro, M.J. (1995) - Pluriatividade: uma resposta à crise da exploração familiar?. In: Encontro Nacional do PIPSA (Projeto de Intercâmbio de Pesquisa Social em Agricultura), 17, 1995, Porto Alegre, RS, Anais do XVII PISA. Porto Alegre, RS. p. 50-58. [ Links ]
Codes, A.L.M. de (2008) - A trajetória do pensamento científico sobre a pobreza: em direção a uma visão complexa. Texto para Discussão nº 1332. IPEA, Brasília. 30 p. [ Links ]
del Grossi, M.E. (1999) - Evolução das ocupações não-agrícolas no meio rural brasileiro, 1981-95. 221 f. Tese (Doutorado em Ciências Econômicas) - Instituto de Economia, Universidade Estadual de Campinas, São Paulo. [ Links ]
WORLD BANK (2005) - Pro-poor growth in the 1990s: lessons ans insights from 14 countries. Washington: DC. 104 p. [ Links ]
Recebido/received: 2015.12.15
Aceite/accepted: 2016.01.10
NOTAS
1 Para o IBGE, as atividades agrícolas são aquelas relacionadas a agricultura, silvicultura, pecuária, extração vegetal, pesca e piscicultura. Deve-se ter em vista também que as atividades ligadas a todo beneficiamento de produtos agropecuários realizado em estabelecimentos rurais rudimentares e não licenciados é considerado indústria rural dentro das atividades agropecuárias (Lima, 2008).
2 A pluriatividade foi utilizada até meados da década de 80, na literatura internacional, relacionada aos termos part-time farming e pluriactivié que designavam um fenômeno crescente de diversificação das fontes de renda e introdução de novas atividades no meio rural que começou a se tornar evidente a partir da década de 1970 (Nascimento, 2005).
3 PEA restrita se refere às pessoas com 10 anos ou mais que trabalharam mais de 15 horas na semana de referência, excluídas as que se dedicam apenas ao autoconsumo. A variável idade da PEA restrita ao quadrado é inserida levando em consideração o efeito do ciclo de vida sobre as escolhas dos indivíduos, ver Lima (2008).
4 A linha de pobreza utilizada para é meio salário mínimo equivalente a R$ 339,00 para 2013.
5 Os Estados que formam um único extrato são: Acre, Amazonas, Amapá, Alagoas, Distrito Federal, Espírito Santo, Goiás, Maranhão, Mato Grosso, Mato Grosso do Sul, Paraná, Piauí, Rio Grande do Norte, Roraima, Santa Catarina e Tocantins.
6 As nove Regiões Metropolitanas são: Região Metropolitana de Belém, Região Metropolitana de Belo Horizonte, Região Metropolitana de Curitiba, Região Metropolitana de Fortaleza, Região Metropolitana de Porto Alegre, Região Metropolitana de Recife, Região Metropolitana de Salvador e Região Metropolitana de São Paulo.












