Serviços Personalizados
Journal
Artigo
Indicadores
-
Citado por SciELO -
Acessos
Links relacionados
-
Similares em
SciELO
Compartilhar
Revista de Ciências Agrárias
versão impressa ISSN 0871-018X
Rev. de Ciências Agrárias vol.40 no.1 Lisboa mar. 2017
https://doi.org/10.19084/RCA16010
ARTIGO
Propriedades nutricionais e microbiológicas do solo influenciadas pela adubação verde
Nutritional and microbiological soil properties influenced by the green manure
Kássya J. B. de Oliveira, Jailma S. S. de Lima, Márcia M. de Q. Ambrósio, Francisco Bezerra Neto e Aridênia P. Chaves1
1 Departamento de Fitotecnia, Faculdade de Agronomia, Universidade Federal Rural do Semi-árido, Av. Francisco Mota, Bairro Costa e Silva, caixa postal 572/ 59.625-900, Mossoró- RN, Brasil. *E-mail: aridenia.peixoto@hotmail.com
RESUMO
O objetivo deste trabalho foi avaliar as propriedades microbiológicas e nutricionais do solo, no consórcio de beterraba e rúcula, em função de quatro quantidades de flor-de-seda (Calotropis procera) incorporadas ao solo e de arranjos espaciais. O delineamento experimental foi de blocos completos casualizados com cinco repetições, com os tratamentos arranjados em esquema fatorial 4x3. Os tratamentos consistiram em quatro quantidades de flor-de-seda incorporadas ao solo (10; 25; 40 e 55 t ha-1 de matéria seca) e em três arranjos espaciais (2:2, 3:3 e 4:4). As cultivares plantadas foram: beterraba Early Wonder, e rúcula Cultivada. As características avaliadas no solo foram os teores de: N, P, K, pH, CTC, matéria orgânica (M.O.), bactérias e fungos totais presentes no solo, antes do plantio e após a colheita das culturas. O melhor desempenho microbiológico e nutricional foi registrado na segunda época de colheita do solo na quantidade de 55 t ha-1. Os arranjos espaciais entre as culturas da beterraba e rúcula não influenciaram as características nutricionais e microbiológicas do solo. O número total de fungos e bactérias do solo aumentou com as quantidades crescentes da flor-de-seda incorporadas ao solo.
Palavras-chave: adubação orgânica, Beta vulgaris L, Calotropis procera, cultivo consorciado, Eruca sativa
ABSTRACT
The objective of this study was to evaluate the microbiological and chemical soil properties, in intercropping of beet and arugula, in function of the four quantities of roostertree (Calotropis procera) incorporated into the soil and of spatial arrangements. The experimental design was in randomized complete blocks with five replications, with the treatments arranged in a 4x3 factorial scheme. The treatments consisted in combinations of four amounts of roostertree incorporated into the soil (10, 25, 40 and 55 t ha-¹ of dry matter) and three spatial arrangements (2:2, 3:3 and 4:4). The planted cultivars were of beet Early Wonder and of rocket were Cultivada. The characteristics evaluated in the soil were the contents of N, P, K, pH, CEC, organic matter (O.M.), bacteria and fungi present in soil before sowing and after the crop harvest. The best microbiological and nutritional performance of the soil was registered in the second times and in the amount of 55 t ha-¹. The spatial arrangements do not influence the nutritional and microbiological characteristics of the soil. The total number of fungi and bacteria in the soil increased with increasing amounts of the roostertree incorporated into the soil.
Keywords: Beta vulgaris, Calotropis procera, Eruca sativa, Intercropping system, organic fertilization.
INTRODUÇÃO
A utilização de espécies vegetais como adubos verdes, influencia a microbiota do solo relativamente à quantidade, diversidade e ao seu desenvolvimento. Acredita-se que quanto maior é a quantidade de material orgânico incorporado ao solo, maior será a biomassa microbiana. Esta sucessão de ciclos biológicos é um dos componentes que controla as funções chaves do solo, como a decomposição e a acumulação de matéria orgânica, ou as transformações envolvendo os nutrientes minerais (Batista et al., 2013). Também, representa uma reserva considerável de nutrientes, os quais são continuamente assimilados durante os ciclos de crescimento dos diferentes organismos que compõem o ecossistema (Araújo e Monteiro, 2007).
A importância fundamental dessa prática agrícola está na acumulação de biomassa, que promove tanto a manutenção da fertilidade do solo como a regulação de problemas fitossanitários do sistema, mantém o solo coberto por um maior período de tempo e aumenta a diversidade das espécies, favorecendo, por isso, um maior equilíbrio do sistema (Khatounian, 2001).
Na produção de hortícolas, têm sido utilizados adubos orgânicos de várias origens, com intuito de se reduzir o uso de adubos minerais, possibilitar o aumento nutricional do vegetal, proporcionar melhoria nas propriedades físicas e químicas do solo (Souza et al., 2005) e ainda, favorecer o controlo de fitopatógenos radiculares. Também propicía com isso uma alimentação mais saudável e rica em nutrientes para os consumidores, permitindo aos mesmos a possibilidade de escolha entre os produtos oriundos do cultivo tradicional, ou de cultivo orgânico.
Uma alternativa aos adubos orgânicos, no estudo da produção de hortícolas, é o uso de espécies espontâneas, utilizadas como adubo verde para instalação e manutenção de cultivos, entre elas encontra-se a flor-de-seda (Calotropis procera) que é uma espécie disseminada em todo o semi-árido nordestino do Brasil. Esta planta permanece verde durante os períodos mais críticos (Linhares et al., 2009), dotada de crescimento rápido, requerendo apenas de 90 dias após a sua germinação, para alcançar uma altura superior a 50 cm e produzir as suas primeiras flores (Andrade et al., 2005).
Essa prática agrícola tem importância econômica e ambiental, uma vez que reduz os custos com fertilizantes sintéticos e melhora as propriedades do solo, entre as quais temperatura e humidade, favorecendo os microrganismos edáficos e proporcionando uma melhor estrutura e textura do solo, assim como aumento nos teores de matéria orgânica, elevação do pH e adição de carbono e nitrogênio ao solo contribuindo para a melhoria das propriedades físicas, químicas e biológicas do solo (Ferreira et al., 2012).
Nesse sentido, a contribuição para a fertilidade do solo pelo fornecimento de nutrientes é uma das qualidades esperadas pela aplicação do adubo verde (Buzinaro et al., 2009). Para apresentar um bom desempenho, as plantas necessitam que as suas exigências nutricionais sejam atendidas, o que dificilmente ocorre num solo que não tenha recebido adubação. Por esse motivo, este tipo de adubação é de grande importância para as culturas, visto que os adubos verdes encontram-se facilmente disponíveis na natureza, colaboram para o enriquecimento da microbiota do solo e melhoria no seu arejamento, proporcionando plantas mais vigorosas e produtivas.
Assim, o uso de espécies espontâneas na produção de olerícolas, tem mostrado resultados bastante animadores, como uma forma alternativa de se produzir com menor custo para o produtor. Diante disso, o objetivo deste trabalho foi avaliar as propriedades microbiológicas e nutricionais do solo, em sistema consorciado de beterraba (Beta vulgaris) e rúcula (Eruca sativa), em função de diferentes quantidades de flor-de-seda incorporadas ao solo e arranjos espaciais.
MATERIAL E MÉTODOS
O experimento foi conduzido, no período de agosto de 2012 a fevereiro de 2013, na Fazenda Experimental Rafael Fernandes da Universidade Federal Rural do Semi-Árido, UFERSA, no distrito de Alagoinha, distante 20 km do município de Mossoró, situada a 5º 03 de latitude sul e 37º 24 de longitude oeste e altitude de 18 m. Segundo Thornthwaite (1948), o clima da região é semiárido e de acordo com Köppen (1948) é BSwh, seco e muito quente, com duas estações climáticas: uma seca, que vai geralmente de junho a janeiro e uma chuvosa, de fevereiro a maio (Alvares et al., 2014).
O solo desta área é classificado como Argissolo Vermelho Amarelo Eutrófico (Embrapa, 2006). Antes da instalação do ensaio, foram colhidas amostras de solo, na camada de 0-20 cm, as quais foram processadas e analisadas no Laboratório de Química e Fertilidade de Solos da UFERSA, fornecendo os seguintes resultados: pH = 7,06; P = 9,4 mg dm-³; K = 64,2 mg dm-³; Ca = 1,57 cmolc dm-³; Mg = 0,5 cmolc dm-³; Na = 20,0 mg dm-³; CE=0,08 dS m-¹; M.O.=7,06 g Kg-¹; SB = 2,32 cmolc dm-³; CTC=2,73 cmolc dm-³; PST=3%; t=2,3 cmolc dm-³ e V = 85%.
O delineamento experimental foi em blocos casualizados completos com os tratamentos arranjados em esquema fatorial 4x3 com cinco repetições. Os tratamentos consistiram em quatro quantidades de flor-de-seda incorporadas ao solo (10; 25; 40 e 55 t ha-1 de matéria seca) e em três arranjos espaciais (2:2, 3:3 e 4:4). As cultivares de beterraba e de rúcula plantadas foram Early Wonder e Cultivada, respectivamente.
O cultivo consorciado foi estabelecido em fileiras alternadas conforme o arranjo espacial entre a beterraba e a rúcula. A área total das parcelas no arranjo 2:2, 3:3 e 4:4 foram de 1,92 m², 2,40 m² e 2,88 m², respectivamente, formadas por fileiras duplas, triplas e quadruplas de beterraba alternadas com fileiras duplas, triplas e quadruplas de rúcula, ladeadas por duas fileiras-bordadura de cada uma das culturas, com uma área útil de 0,80 m², 1,20 m² e 1,60 m², respectivamente, estando as culturas com um espaçamento de 0,20 x 0,05 m e com uma planta por cova para a beterraba e com duas plantas por cova para a rúcula.
Foram realizadas colheitas de flor-de-seda no município de Quixeré - CE, na propriedade da empresa Cimento Apodi. As plantas foram cortadas manualmente com o auxílio de facão, extraindo-se apenas a parte verde da planta. Em seguida, o material foi triturado em forrageira mecânica e submetido ao processo de secagem em pleno sol, até se obter 10% de umidade, aproximadamente. Foram retiradas amostras do material seco e encaminhadas para o Laboratório onde se realizaram as análises químicas do mesmo, fornecendo os seguintes resultados: N=20,3 g Kg-¹; P = 2,7 g Kg-¹; K = 36,63 g Kg-¹; Ca=7,05 g Kg-¹; Mg=12,38 g Kg-¹; Fe=601,67 mg Kg-¹; Mn=194 mg Kg-¹; Zn=31,23 mg Kg-¹; Cu=7,8 mg Kg-¹ e Na=4519 mg Kg-¹.
Na preparação do solo efetuou-se a limpeza manual da área com o auxílio de uma enxada, seguida de uma gradagem realizada por trator e levantamento dos canteiros. Posteriormente foi realizado o processo de solarização, com plástico transparente Vulcabrilho Bril Fles de 30 micras, durante 45 dias com o intuito de se reduzir a população de fitopatógenos do solo e do aparecimento do dumping off, que viessem a prejudicar a produtividade das culturas (Oliveira et al., 2015).
Foram realizadas duas incorporações do adubo verde nas parcelas experimentais, sendo 50% das quantidades de flor-de-seda incorporadas aos 20 dias antes do plantio das culturas e os 50% restantes, foram incorporados aos 45 dias após o plantio. As culturas foram irrigadas por microaspersão, com duas regas diárias (manhã e tarde), fornecendo-se uma lâmina de água de aproximadamente 8 mm dia-¹. Durante a condução do experimento foram realizadas capinas manuais.
As sementeiras da beterraba e rúcula foram efetuadas em plantio simultâneo em covas, deixando-se aproximadamente 3 a 4 sementes. Os desbastes das plantas ocorreram aos 10 e 14 dias após a sementeira (DAS), deixando-se duas e uma planta por cova, para a rúcula e beterraba respectivamente. A colheita da rúcula no primeiro cultivo foi realizada aos 36 dias após a sementeira. Um segundo cultivo da rúcula foi realizado quando a beterraba estava com 63 dias, e sua colheita ocorreu aos 30 DAS. A colheita da beterraba ocorreu aos 79 dias após o plantio, altura em que as plantas estavam em ponto de colheita.
Foram colhidas amostras de solo em duas épocas distintas, antes do plantio e depois da colheita das culturas, à profundidade de 0 a 20 cm, sendo colhidas 5 amostras simples para formar uma amostra composta, todas retiradas da área útil de cada parcela, utilizando-se um trado holandês. Nestas amostras compostas de solo foram determinados os teores de N total (Tedesco et al., 1995), P, K, pH, CTC e M.O. disponíveis, pelo extrator Mehlich-1 (Embrapa, 2009). Além das análises de solo foram também realizadas análises microbiológicas do solo no Laboratório de Microbiologia e Fitopatologia do Departamento de Ciências Vegetais da UFERSA, tendo o solo permanecido armazenado a 15ºC, até o dia da análise microbiológica.
A quantificação das colônias dos microrganismos (bactérias e fungos) foi realizada pelo método da diluição seriada e plaqueamento em meio de cultura específico para cada grupo de microrganismos (Tortora et al., 2008). Para o isolamento de fungos, foi utilizado o meio de Martin (Martin, 1950) acrescido de antibiótico tetraciclina (0,05 g L-¹) e, para o isolamento de bactérias, foi usado o meio de cultura Nutriente Ágar (ágar nutriente - 23,0 g; água destilada - 1000 mL).
De cada amostra foi retirada uma alíquota de 1 g de solo, que foi colocada em tubos de ensaio contendo 9 mL de água destilada esterilizada, e homogeneizadas em agitador de tubos tipo vortex. A partir dessas amostras realizaram-se diluições seriadas até 10-5, homogeneizadas para coleta de 100 µL de cada diluição e adicionadas em placas de 9,0 cm de diâmetro contendo os meios de cultura para posterior espalhamento com o auxílio da alça de Drigalski. As placas foram colocadas em estufas tipo BOD, à temperatura de 28 ± 2ºC, durante seis dias para posterior contagem das colônias. Para cada diluição foram efetuadas quatro placas, sendo consideradas para cálculos apenas as placas que apresentaram entre 25 a 250 colônias, pois quando muitas colônias estão presentes, pode ocorrer uma saturação, impedindo o crescimento de outras colônias (Tortora et al., 2008).
Realizou-se a análise de variância conjunta dos dados das duas coletas de solo após verificar-se que a razão entre os quadrados médios do resíduo de cada característica observada nas duas épocas de análise do solo (antes do plantio e depois da colheita das culturas) não diferiram entre si em mais de 7 vezes. As análises de variância foram realizadas através do aplicativo software SISVAR (Ferreira, 2000). Para a comparação das médias entre os arranjos e as épocas de coleta do solo, foi utilizado o teste de Tukey ao nível de 5% de probabilidade. Para as quantidades de flor-de-seda, procedeu-se com o ajustamento de curva de resposta, que foi realizado através do software Table curve (Jandel Scientific, 1991).
RESULTADOS E DISCUSSÃO
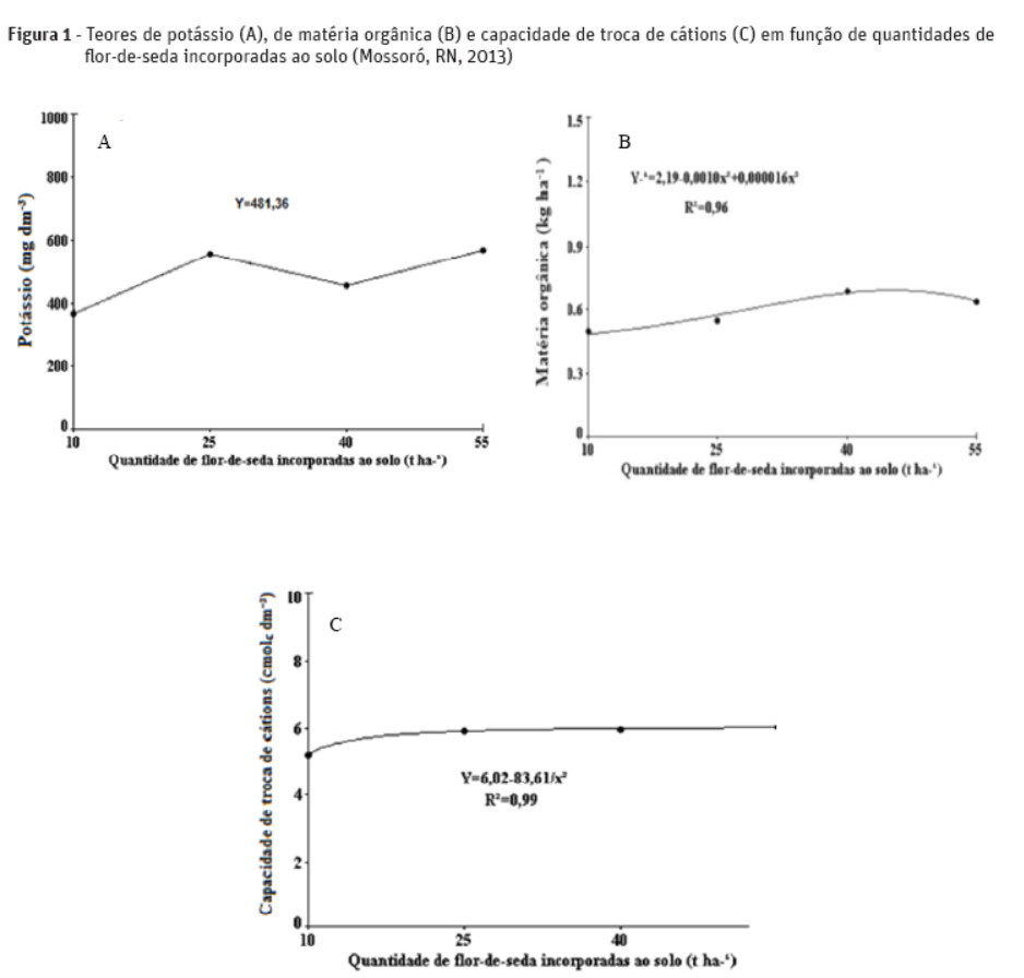
Não foi observada interação entre os fatores épocas de colheita do solo, arranjos espaciais e quantidades de flor-de-seda incorporadas ao solo, nem da interação entre arranjos espaciais e quantidades de flor-de-seda, para nenhum dos parâmetros analisados. Para os teores de K, M.O. e CTC, não foi observada interação entre os fatores estudados, verificando-se apenas o efeito isolado desses fatores (Figura 1A a 1C).
Para o teor de K no solo, não foi ajustada nenhuma equação resposta em função das quantidades de flor-de-seda incorporadas ao solo, no entanto, o teor médio observado foi de 481,36 mg dm-³ (Figura 1A). Para a M.O., observou-se um aumento à medida que as quantidades de flor-de-seda incorporadas ao solo aumentavam, até um valor máximo de 0,68 kg ha-1de M.O., para a quantidade de 45,28 t ha-¹ de flor-de-seda, decrescendo em seguida até a última quantidade estudada (Figura 1B). Já para a CTC verificou-se o valor máximo de 5,99 (cmolc dm-³) para a quantidade de 55 t ha-1 de flor-de-seda incorporada ao solo (Figura 1C). Este resultado corrobora com a afirmação de Fontanétti (2006), que destaca o efeito positivo da adubação orgânica na fertilidade do solo, uma vez que a adição de matéria orgânica aumenta as cargas negativas do solo, contribuindo para uma maior disponibilidade de nutrientes e capacidade de troca de cátions (CTC) efetiva do solo, assim como o favorecimento da formação de ácidos orgânicos fundamentais à solubilização de nutrientes minerais, a diminuição dos teores de alumínio trocáveis, mediante sua complexação (Sagrilo et al., 2009). Os valores de CTC encontrados nesse trabalho são considerados por Faria et al. (2007) como médios, pois encontram-se na faixa de 5,0-10,0 cmolc dm-³.
Comportamento semelhante foi observado por Batista (2011), quando estudou a adubação verde na produtividade, qualidade e rentabilidade de beterraba e rabanete. Este pesquisador observou, para a cultura da beterraba, que os teores máximos de potássio eram de 1,57 mg dm-3 e de matéria orgânica eram de 9,03 g kg-1, sendo que estes aumentaram em função das quantidades de biomassa dos adubos verdes para 13,72 e 17,67 t ha-1, respectivamente, decrescendo, em seguida, até à maior quantidade (21 t ha-1) de adubo incorporada ao solo. Porém, Almeida (2013) trabalhando com flor-de-seda na adubação do consórcio de alface e rúcula, verificou que após a colheita, os teores de matéria orgânica se mantiveram estáveis com o aumento das quantidades de flor-de-seda incorporadas ao solo, obtendo-se o valor máximo de 6,86 g kg-1 para a quantidade de 45 t ha-1.
Não houve diferenças significativas entre os arranjos espaciais utilizados para os teores de K, M.O. e CTC. Porém, para as épocas de colheita do solo, observaram-se diferenças significativas, destacando-se a segunda época da primeira (Quadro 1). Este comportamento é explicado pela acumulação de material vegetal de uma época para outra, no caso, da flor-de-seda, enfatizando o aumento na disponibilidade de nutrientes ao solo.
Para os teores de N e pH no solo foi observada interação significativa entre as épocas de colheita do solo e as quantidades de flor-de-seda incorporadas ao solo (Figura 2A e B). Desdobrando a interação das quantidades de flor-de-seda dentro das épocas de colheita do solo, verificou-se que à medida que se aumentam as quantidades de flor-de-seda ao solo, há um incremento no teor de N, obtendo-se um acréscimo em função das quantidades deste material incorporado ao solo, até ao valor máximo de 0,61 g kg-¹ para a quantidade 55 t ha-¹. Enquanto na época 1, o máximo obtido foi de 0,29 g de N kg-¹ para a menor quantidade de flor-de-seda incorporada ao solo, que foi de 10 t ha-¹ (Figura 2A). Para o pH, foi constatado um comportamento semelhante em função das quantidades de flor-de-seda, obtendo-se um valor máximo de 7,93 na quantidade de 25 t ha-¹. A partir desta quantidade o pH diminuiu, atingindo o valor mínimo de 7,53 para a quantidade de 55 t ha-¹. Já na época 1, o valor máximo de pH obtido foi de 7,27 para a quantidade de 55 t de flor-de-seda ha-¹ (Figura 2B).
Desdobrando a interação das épocas de colheita do solo e as quantidades de flor-de-seda, observou-se que em todas as quantidades estudadas o valor do pH foi superior na segunda época. Comportamento semelhante ocorreu com o teor de nitrogênio no solo, para todas as quantidades de flor-de-seda estudadas, com exceção da quantidade de 10 t ha-¹, onde não foi observada diferença entre as épocas de colheita (Quadro 2).
Resultados semelhantes foram obtidos por Almeida (2013) quando analisou o efeito da adubação com flor-de-seda em consórcio de folhosas, tendo observado que os teores de nitrogênio aumentaram em função das quantidades crescentes do adubo verde adicionadas ao solo, até ao máximo de 0,71 g kg-1 na quantidade de 28,3 t ha-1, decrescendo em seguida até à última quantidade incorporada ao solo.
Batista (2011) observou que o solo antes do cultivo da beterraba possuía pH neutro, porém, após incorporação e colheita da cultura, o pH aumentou, variando entre 8,10 8,20, ou seja, pH de um solo alcalino, evidenciando que a incorporação de material vegetal ao solo com espécies espontâneas, melhorou a fertilidade do mesmo, com aumento nos teores de P, K, N e M.O. Por outro lado, não foram observadas diferenças significativas entre os valores de pH e nitrogênio em função dos arranjos espaciais (Quadro 3).
Para o teor de P no solo, não houve interações entre as épocas de colheita do solo, arranjos espaciais e quantidades de flor-de-seda, nem entre quantidades e arranjos, ou mesmo entre épocas e quantidades. Porém, foi observada interação significativa entre os arranjos espaciais e as épocas de colheita do solo.
Desdobrando a interação, arranjos dentro de épocas de colheita observou-se que na época 1 não houve diferenças significativas entre os arranjos de plantio para o teor de P no solo (Quadro 4). Porém, na época 2, houve diferenças significativas entre os arranjos, constatando-se que os maiores valores de fósforo (P) foram encontrados no arranjo 3:3. Por outro lado, desdobrando a interação épocas de colheita de solo dentro dos arranjos espaciais pode-se observar que os teores de P na época 2 foram sempre superiores aos da época 1 em todos os arranjos (Quadro 4). Observou-se também que o teor de fósforo aumentou em função das quantidades de flor-de-seda incorporadas ao solo, atingindo o valor máximo de 123,62 mg dm-3 para a quantidade de 34 t ha-¹, seguindo-se um declínio nesse teor até a última quantidade de flor-de-seda incorporada ao solo (Figura 3).
Análise microbiológica
Não se observou interação significativa entre as épocas de colheita do solo e arranjos espaciais. Também não houve interação significativa entre as quantidades de flor-de-seda incorporadas e os arranjos espaciais, nem a interação tripla para quantidade de flor-de-seda incorporada ao solo, arranjos espaciais e épocas de colheita, no número de unidades formadoras de colônias (UFCs) de fungos e bactérias.
Independentemente dos arranjos espaciais, não foram observadas diferenças significativas entre o número de UFCs de bactérias e fungos, porém observou-se que o arranjo 4:4 foi o que apresentou maiores valores numéricos, para ambos microrganismos (Quadro 5).
Verificou-se também interação significativa entre as épocas de colheita do solo e as quantidades de flor-de-seda incorporada ao solo, no número médio de unidades formadoras de colônias de bactérias e fungos presentes no solo (Quadro 6).
Constatou-se que o número médio de UFCs de fungos, na época 2, foi estatisticamente superior ao da época 1, nas quantidades de 40 e 55 t ha-1 de flor-de-seda. Resultado semelhante também foi encontrado por Oliveira et al. (2012) quando estudaram a influência de adubações e manejo de adubo verde nas propriedades biológicas do solo, cultivado com alface em sistema de cultivo orgânico. Estes pesquisadores concluíram que ocorreu um aumento na população de fungos, com a incorporação do adubo verde mucuna preta. Entretanto, quando se avaliou o número de UFCs de bactérias, a diferença estatística foi, apenas, na maior quantidade (55 t ha-1).
O resultado do presente trabalho ressalta o valor da incorporação de materiais orgânicos no aumento da microbiota do solo. Para as quantidades de flor-de-seda testadas, foi observado maior valor numérico de UFCs, tanto de bactérias como de fungos, exceto na avaliação do número de UFCs de fungos, na menor dosagem (Quadro 6). Certamente devido aos compostos exsudados pelas plantas que podem atuar como sinais moleculares, que ativam o crescimento micelial dos fungos e bactérias (Paula e Siqueira, 1990). Também, com o aumento dos nutrientes no solo, estes ficam disponíveis para os microrganismos que se desenvolvem melhor, favorecendo a multiplicação e a reprodução dos mesmos. Desta forma, poderá ocorrer aumento da quantidade e diversidade das bactérias e fungos no solo.
A incorporação ao solo de qualquer material vegetal favorece a atividade microbiana, pois existe uma estreita relação entre matéria orgânica e a biomassa microbiana do solo. A aplicação de um resíduo orgânico ao solo resulta em estímulos diferenciados para os microrganismos, devido a uma modificação direta ou indireta das características do meio, determinantes da qualidade, quantidade e atividade da população microbiana existente (Oliveira et al., 2011).
Para Khatounian (2001) o uso de adubos orgânicos aumenta a produção e mantém a fertilidade do solo. A matéria orgânica adicionada ao solo, de acordo com o grau de decomposição, pode ter efeito imediato ou efeito residual, por isso ganha importância sob o ponto de vista econômico e na conservação das propriedades físicas, químicas e biológicas do solo.
O aumento de bactérias e fungos do solo é de grande importância, pois estes atuam no processo de decomposição da matéria orgânica, manutenção das condições físico-químicas, na ciclagem de nutrientes e no fluxo de energia (DAndréa et al., 2002; Cardoso, 2004). Também, podem estabelecer relações simbióticas com plantas, aumentando assim a capacidade de resistência ao stress, como o défice hídrico ou baixas concentrações de nutrientes, e ainda podem causar alterações físicas. Desta forma, favorecem positivamente a produtividade das culturas.
Para Stark et al. (2008) os adubos verdes são decompostos, principalmente, pelos microrganismos, havendo assim, uma tendência para o aumento da diversidade e atividade microbiana pela mineralização de resíduos orgânicos. Entretanto, vários fatores podem influenciar a decomposição dos resíduos vegetais, o que pode limitar ou estimular o crescimento dos microrganismos.
Também foi verificado no presente trabalho (Quadro 6), que as bactérias foram os microrganismos predominantes no solo, como relatado por Stamford et al. (2005) quando comentou que estes microrganismos do solo constituem o grupo mais numeroso e de maior importância, pois além de originarem doenças em plantas e animais, são responsáveis por inúmeras transformações relacionadas com a fertilidade do solo, tais como: decomposição e síntese da matéria orgânica, mineralização e imobilização de nutrientes, fixação biológica do nitrogênio atmosférico (dinitrogênio), nitrificação e desnitrificação, redução e oxidação de elementos minerais, recuperação de solos salinos/alcalinos, formação de compostos gasosos (metano, gás carbônico, gás sulfídrico, entre outros).
Por outro lado, houve uma interação dupla entre as quantidades de flor-de-seda e épocas de colheita do solo, observando-se aumentos no número de UFCs de bactérias e fungos com a incorporação de quantidades crescentes do adubo verde (Figura 4).
Resultados semelhantes também foram obtidos por Batista et al. (2013) quando estudaram as propriedades microbiológicas do solo e a produtividade de rabanete, influenciados pelo uso de espécies espontâneas, inclusive flor-de-seda. Estes pesquisadores concluíram que, embora o crescimento dos microrganismos no solo não tenha sido influenciado pelas espécies estudadas, ocorreu aumento no número de UFCs de microrganismos com as quantidades aplicadas.
CONCLUSÕES
O melhor desempenho microbiológico e nutricional foi registrado na segunda época de colheita do solo e na quantidade de 55 t ha-1.
Os arranjos espaciais entre as culturas da beterraba e rúcula não influenciaram as características nutricionais e microbiológicas do solo.
O número total de fungos e bactérias do solo aumentou com as quantidades crescentes da flor-de-seda incorporadas ao solo.
Referências bibliográficas
Alvares, C.A.; Stape, J.L.; Sentelhas, P.C.; Goncalves, J.L.M. e Sparovek, G. (2014) - Koppens climate classification map for Brazil. Meteorologische Zeitschrift, vol. 22, n. 6, p. 711728. http://dx.doi.org/10.1127/0941-2948/2013/0507 [ Links ]
Almeida, A.E.S. (2013) - Uso da flor-de-seda como adubo verde no consórcio de alface e rúcula. Tese de Mestrado em Ciências do Solo. Mossoró, Universidade Federal Rural do Semi-Árido. 51 p. [ Links ]
Andrade, M.V.M.; Silva, D.S.; Andrade, A.P.; Medeiros, A.N. e Pinto, M.S.C. (2005) - Fenologia da Calotropis procera Ait R.Br., em função do sistema e da densidade de plantio. Archivos de Zootecnia, vol. 54, n. 208, p. 631-634. [ Links ]
Araújo, A.S.F. e Monteiro, R.T.R. (2007) - Indicadores biológicos de qualidade do solo. Bioscience Journal, vol. 23, n. 3, p. 66-75. [ Links ]
Batista, M.A.V.; Bezerra Neto, F.; Ambrósio, M.M.Q.; Guimarães, L.M.S.; Saraiva, J.P.B. e Silva, M.L. (2013) - Atributos microbiológicos do solo e produtividade de rabanete influenciados pelo uso de espécies espontâneas. Revista Horticultura Brasileira. vol. 31, n. 4, p.587-594. http://dx.doi.org/10.1590/S0102-05362013000400013 [ Links ]
Batista, M.A.V. (2011) - Adubação verde na produtividade, qualidade e rentabilidade de beterraba e rabanete. Tese de Doutoramento. Mossoró, Universidade Federal Rural do Semi-Árido, 123 f. [ Links ]
Buzinaro, T.N.; Barbosa, J.C. e Nahas, E. (2009) - Atividade microbiana do solo em pomar de laranja em resposta ao cultivo de adubos verdes. Revista Brasileira de Fruticultura, vol. 31, n. 2, p.408415. http://dx.doi.org/10.1590/S0100-29452009000200014 [ Links ]
Cardoso, M.O. (2004) - Método para quantificação da biomassa microbiana do solo. Agropecuária Técnica, vol. 25, n. 1, p. 1-12. [ Links ]
DAndréa, A.F.D.; Silva, M.L.N.; Curi, N.; Siqueira, J.O. e Carneiro, M.A.C. (2002) - Atributos biológicos indicadores da qualidade do solo em sistemas de manejo na região do cerrado no sul do estado de Goiás. Revista Brasileira de Ciência do Solo, vol. 26, n. 4, p. 913-923. http://dx.doi.org/10.1590/S0100-06832002000400008 [ Links ]
EMBRAPA. (2006) - Sistema Brasileiro de Classificação de Solos. 2ª ed. Rio de Janeiro: Embrapa, 306 p. [ Links ]
EMBRAPA. (2009) - Manual de análises químicas de solos, plantas e fertilizantes. 2ª ed. Brasília, Embrapa Informação Tecnológica, 627 p. [ Links ]
Faria, C.M.B.; Silva, M.S.L. e Silva, D.J. (2007) - Alterações em características de solos do Submédio São Francisco sob diferentes sistemas de cultivo. Boletim de Pesquisa e Desenvolvimento, vol.74. Embrapa Semi-Árido, Petrolina. 33 p. [ Links ]
Recebido/received: 2016.01.18
Recebido em versão revista/received in revised form: 2016.04.22
Aceite/accepted: 2016.05.04













