Serviços Personalizados
Journal
Artigo
Indicadores
-
Citado por SciELO -
Acessos
Links relacionados
-
Similares em
SciELO
Compartilhar
Silva Lusitana
versão impressa ISSN 0870-6352
Silva Lus. vol.21 no.1 Lisboa jun. 2013
Relação entre Nutrição e Tempo de Permanência de Mudas de Bauhinia forficata em Casa-de-vegetação
Relationship between nutrition and residence time of seedlings of Bauhinia forficata in greenhouse
Relation entre la nutrition et le temps des semis des Bauhinia forficata en serre
*Rogério Bamberg, *Alexandre Behling, **Edson Rogério Perrando, ***Carlos Roberto Sanquetta, ***Nelson Yoshihiro Nakajima, ****Tiago Schreinere *****Allan Libanio Pelissari
* Eng. Florestal, Mestrando em Eng. Florestal, Universidade Federal do Paraná (UFPR), Curitiba, PARANÁ - 80210-170, BRASIL; E-mail: rogeriobamberg@yahoo.com.br; alexandre.behling@yahoo.com.br
** Eng. Florestal, Dr., Dpto. de Eng. Ftal, UFSM/CESNORS, Frederico Westphalen, RS, BRASIL; E-mail: eperran@terra.com.br
*** Eng. Florestal, Dr., Dpto. de Ciências Florestais, UFPR, Curitiba, PR, BRASIL; E-mail: carlos_sanquetta@hotmail.com; nelson.nakajima@ufpr.br
**** Acadêmico em Medicina Veterinária, UNIPAMPA, Uruguaiana, RS, BRASIL; E-mail: rogeriobamberg@yahoo.com.br; tiago.k.s@hotmail.com
***** Eng. Florestal, Doutorando em Eng. Florestal, UFPR, Curitiba, PR, BRASIL; E-mail: allanpelissari@gmail.com
RESUMO
O trabalho teve como objetivo avaliar a influência de dois tipos de adubos em diferentes dosagens nas curvas de velocidade de crescimento e no intercepto entre as curvas de incremento corrente diário e incremento médio diário das variáveis altura e diâmetro de colo em mudas de Bauhinia forficata Link. Para tanto, testaram-se dois fertilizantes sob diferentes regimes de dosagens: Basacote® com concentrações de 3 e 6 g por litro de substrato e NPK (09-33-12) com concentrações de 2 e 4 g por tubete, em relação a uma testemunha (sem adubação), em delineamento experimental inteiramente casualizado, com três repetições de 12 plantas. Nas diferentes adubações testadas, observaram-se comportamentos diferenciados quanto à dinâmica de crescimento das mudas. O efeito do tipo da adubação ocorreu principalmente na altura, influenciando de maneira positiva seu crescimento. Deve-se dar preferência em utilizar adubações com Basacote®, e no caso do uso de NPK, devem ser realizadas aplicações periódicas.
Palavras-chave: estufa, viveiro, idade de rotação
ABSTRACT
This work aimed at evaluating the influence of two fertilizer types under different dosages in the speed growth curves and in the intercept between the curves of daily current increment and daily medium increment for height and collar diameter of seedlings of Bauhinia forficata Link. Two fertilizers under different dosage regimes were tested: Basacote® - with concentrations of 3 and 6 g per liter of substratum and NPK (09-33-12) - with concentrations of 2 and 4 g per tube, as compared to control (without fertilizing), in a completely randomized experimental design, with three repetitions of 12 plants each. Different behaviors were observed for growth dynamics of seedlings. The effect of the fertilization type occurred primarily at height, influencing their growth in a positive way. Preference should be given to fertilizers with Basacote®, and regular applications must be made in the case of NPK.
Key words: greenhouse, nursery, rotation age
RESUMÉ
Ce travail vise à évaluer linfluence de deux types dengrais sous différentes doses dans les courbes de vitesse de croissance et le point dintersection des courbes dincrémentation quotidienne actuelle et de laccroissement moyen quotidien en hauteur et en diamètre au collet des plantes de Bauhinia forficata Link. Deux engrais aux différentes posologies ont été testés: Basacote® - avec des concentrations de 3 et 6 g par litre de substrat et NPK (09-33-12) - avec des concentrations de 2 et 4 g par tube, par rapport au témoin (sans engrais), dans un dispositif expérimentale complètement aléatoire, avec trois répétitions de 12 plantes chacune. On a observé des comportements différents pour la dynamique de croissance des semis. Leffet du type de fertilisation se vérifie principalement sur la hauteur, influençant leur croissance dune manière positive. Nous donnons la préférence à lutilisation dengrais avec Basacote® et en ce qui concerne le NPK, les applications doivent être faites régulièrement.
Mots clés: serre, pépinière, lâge de rotation
Introdução
O gênero Bauhinia tem-se difundido na cultura medicinal brasileira e frequentemente encontra-se na composição de fitoterápicos industrializados. Popularmente conhecida como pata-de-vaca, a espécie Bauhinia forficata Link é largamente utilizada na medicina popular, possuindo propriedades hipoglicemiantes comprovadas por meio de pesquisas farmacológicas. LORENZI (2002) destaca que as folhas desta espécie são utilizadas no tratamento de inflamações renais, como diuréticas, hipoglicemiantes e hipocolesteremiantes.
A espécie é nativa do sul do Brasil, Paraguai, Argentina e Uruguai, com ocorrência nos bordos das matas, podendo ser encontrada na forma arbustiva ou arbórea de até seis metros de altura (LORENZI, 2002). Pertencente à família Leguminosae Caesalpinoideae, é decídua ou semidecídua, heliófita, característica da floresta pluvial Atlântica (LORENZI, 1998). Apresenta crescimento satisfatório em solos com propriedades físicas adequadas (CARVALHO, 2003).
A produção de mudas em viveiros constitui uma das fases mais importantes do processo de implantação de uma dada cultura, pois mudas de baixa qualidade podem comprometer as operações seguintes (GALLO et al., 1978). Segundo SANTOS et al. (2000), o êxito de um plantio depende diretamente das potencialidades genéticas das sementes e da qualidade das mudas. Mudas com padrão adequado de qualidade apresentam melhores condições de crescimento e de competição por fatores como água, luz e nutrientes. Para PAIVA e GOMES (1995), tais mudas devem apresentar, no momento de efetivo plantio em campo, entre outras características, sistema radicular bem formado, com raiz principal retilínea sem enovelamento e raízes secundárias bem distribuídas, propiciando uma maior resistência das mesmas a fatores adversos.
Entre os principais fatores que influenciam no crescimento de mudas de espécies florestais, destacam-se as adubações utilizadas, as quais refletirão diretamente na qualidade do produto final. Diante da importância na medicina popular, aliada a necessidade de estudos de produção de mudas, o presente trabalho teve como objetivo avaliar a influência de diferentes fertilizantes e dosagens nas curvas de velocidade de crescimento e no intercepto entre as curvas de incremento corrente diário e incremento médio diário em altura e diâmetro de colo de mudas de Bauhinia forficata Link.
Material e métodos
O experimento foi conduzido no período de setembro a dezembro de 2010, em condições de casa de vegetação, em um viveiro florestal localizado no município de Frederico Westphalen RS, sob latitude 27°2326, longitude 53°2543 e 641 m de altitude.
Testaram-se dois tipos de fertilizantes e doses: Basacote® com concentrações de 3 e 6 g L-1 (gramas por litro) de substrato e NPK (09-33-12) com concentrações de 2 e 4 g t-1 (gramas por tubete), sendo que estes tratamentos foram comparados com uma testemunha (sem adubação). Utilizou-se delineamento experimental inteiramente casualizado com três repetições de 12 plantas cada.
Com sementes adquiridas junto a uma entidade comercial de venda de sementes de espécies nativas em Ijuí RS, a semeadura foi realizada em setembro de 2010, diretamente em tubetes de polietileno (13,2 cm de altura x 5,2 cm de diâmetro), preenchidos com a combinação fertilizante+dose em substrato comercial (PLANTMAX®). Como suporte para os tubetes, foram utilizadas bandejas de polietileno com capacidade para 54 mudas, as quais foram dispostas a 1,3 metros do nível do solo.
Para a superação da dormência, utilizou-se imersão em água quente (80 °C) e permanência na água fora do aquecimento por 10 minutos, para a embebição das sementes (CARVALHO, 1994). Durante a condução do experimento, o regime hídrico na casa de vegetação foi sistematizado em três irrigações diárias, com bicos microaspersores.
Na avaliação de crescimento e desenvolvimento das mudas, foram determinadas a altura da parte aérea (em cm) e o diâmetro do colo (em mm) aos 28; 35; 42; 49; 56; 63; 70; 77; 84; 91; e 98 dias após a germinação.
Deduzindo que o crescimento, fundamentalmente, é função do tempo, utilizou-se o modelo proposto por LEITE e OLIVEIRA (2002), e utilizado por MAFIAet al. (2005), em que obteve-se os valores dos coeficientes por meio do programa computacional SAS LEARNING EDITION 8.0 (2002).
Onde: Y = Variável avaliada; T = Período em dias;
= Coeficientes do modelo.
A partir do modelo de regressão, foi calculado o incremento corrente diário (ICD), o incremento médio diário (IMD) e a velocidade de crescimento, visando à determinação da rotação técnica em função do crescimento médio das plantas. Para tal, utilizou-se o modelo proposto por LEITE e OLIVEIRA (2002).
Onde: Y = Variável avaliada; T = Período em dias;
= Coeficientes do modelo.
Resultados e discussão
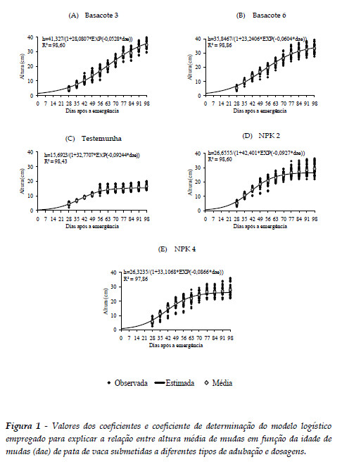
O modelo testado foi eficiente para alcançar o objetivo proposto neste trabalho. Os valores do coeficiente de determinação ajustado (R² > 97%) e dos valores observados em função dos estimados indicam um bom ajuste para o conjunto de dados (Figuras 1 e 2). O modelo ajustado no presente trabalho para a obtenção do incremento corrente diário, incremento médio diário e a velocidade de crescimento também foi utilizado por MAFIA et al. (2005), estudando dois clones de Eucalyptus grandis Hill ex Maiden x Eucalyptus urophylla Blake e do mesmo modo, resultados satisfatórios foram conseguidos (R² > 98%).
Nas diferentes adubações testadas, observaram-se comportamentos diferenciados quanto à dinâmica de crescimento das mudas (Figuras 3). Ficou evidenciado o efeito do tipo da adubação, principalmente para a variável altura e, ainda, a estabilização do desenvolvimento do diâmetro de colo, imposto principalmente pelo espaçamento das plantas (100% de ocupação da bandeja) e também pelo volume do tubete, em todos os tratamentos.
Em relação à idade de estabilização do desenvolvimento, considerando o intercepto entre a curva de incremento corrente diário e a curva de incremento médio diário, observou-se que, em relação ao diâmetro de colo, para a testemunha, foi de 52 dias com 3,0 g L-1 de Basacote®; 51 dias com 6,0 g L-1 de Basacote®; 55 dias com 2,0 g t-1 de NPK; e aos 53 dias com 4,0 g t-1 de NPK (Figura 4). Por outro lado, considerando a altura, essa estabilização ocorreu aos 53 dias para a testemunha; 72 dias com 3,0 g L-1 de Basacote®; 88 dias com 6,0 g L-1 de Basacote®; e 56 dias para o NPK, tanto na dose de 2,0 g t-1 e 4,0 g t-1 (Figura 5).
MAFIA et al. (2005), estudando dois clones (A e B) de Eucalyptus grandis x Eucalyptus urophylla, observaram que o intercepto entre a curva de incremento corrente e médio diário ocorreu aos 82 dias para altura e biomassa da parte aérea e aos 72 dias para a biomassa radicular. Para o clone B, foi de 110 dias para a altura, 102 dias para biomassa da parte aérea e de 68 dias para a biomassa radicular. Sendo assim, os autores concluem que, diante das variáveis analisadas, 80 (clone A) a 100 (clone B) dias são suficientes para a expedição de mudas de boa qualidade em relação ao sistema radicular, tendo em vista que a manutenção de mudas acima desse período no viveiro tende a reduzir a velocidade de crescimento e induzir malformações radiculares, resultados que coincidem com os observados para as mudas de Bauhinia forficata.
A velocidade de crescimento evidenciou que, para o diâmetro médio de colo, o máximo ocorreu em 52 dias para a testemunha, 51 dias para o Basacote® 3,0 g L-1, 55 dias para o Basacote® 6,0 g L-1, 53 dias para o NPK 2,0 g t-1 e 53 dias para o NPK 4,0 g t-1 (Figura 3). Para a altura média, o máximo ocorreu em 53 dias para a testemunha, 88 dias para o Basacote® 3 g L-1, 72 dias para o Basacote® 6 g L-1, 53 dias para o NPK 2 g t-1 e 56 dias para o NPK 4 g t-1 (Figura 3 C e D).
O diâmetro de colo não foi significativamente influenciado pelo tipo e nível de adubação (p>0,05), como se observa na Figura 3 C e D. Contrariamente para a variável altura constatou-se que a adubação com NPK, em seus dois níveis, foi maior entre os 21 e 49 dias após a emergência, diminuindo a partir deste período, enquanto para as adubações com Basacote®, a velocidade foi maior entre os 49 e 77 dias após a emergência.
A testemunha apresentou a menor velocidade de crescimento, sendo que, na idade de estabilização do crescimento, as mudas se encontram com 12 cm de altura e 2,57 mm de diâmetro de colo, ou seja, um padrão não tecnicamente recomendado para plantio em campo. Por outro lado, em relação à altura, a estabilização do desenvolvimento ocorreu aos 88 dias para o Basacote® na dose de 3,0 g L-1, 72 dias para o Basacote® 6,0 g L-1, 53 dias para o NPK 2,0 g L-1 e 56 dias para o NPK 4,0 g L-1 (Figura 3).
Os resultados mostraram ser vantajosa a utilização do fertilizante Basacote®, uma vez que a liberação dos nutrientes encapsulados é lenta. Esta característica permitiu a constatação de que as mudas de Bauhinia forficata mantiveram sua velocidade de crescimento no período entre 49 e 77 dias após a emergência. Diante disso, é importante a inferência que neste período as mudas já possuem condições técnicas de aptidão à sobrevivência após o plantio em campo, sendo que para o tratamento com 3,0 g L-1 a altura e o diâmetro de colo atingiram valores médios de 33,55 cm e 3,64 mm, respectivamente, e para o tratamento 6,0 g L-1 os valores foram de 27,57 cm e 3,57 mm, respectivamente.
Além disso, a testemunha apresentou a menor velocidade de crescimento, evidenciando a importância da adubação para aumentar a eficiência do sistema de produção de mudas da espécie em estudo, ou seja, a produção de mudas com padrão de qualidade desejado em menor tempo e com custo de produção compatível. Assim como relatado por PEZZUTTI et al. (1999), os quais observaram que a ausência de fertilizante no substrato, as mudas de Eucalyptus globulus subsp. maidenii apresentram o menor crescimento para todas as variáveis estudadas quando comparadas aos tratamentos com fertilização. Ao mesmo tempo, o efeito positivo da adubação pode ser observado em outros trabalhos, tais como SCHUMACHER et al. (2003) e SCHUMACHER et al. (2004), estudando o efeito de diferentes doses de fósforo em mudas de Peltophorum dubium (Sprengel) Taubert e de Parapiptadenia rigida (Benth.) Brenan., e CECONI et al. (2006), avaliando a influência de fósforo no crescimento de mudas de Luehea divaricata Mart., ou de Ilex paraguariensis A. St. Hil. por CECONI et al. (2007).
Um dos fatores que afetam a qualidade das mudas é o tempo de permanência no viveiro. De acordo com ALFENAS et al. (2004), ao ultrapassarem o período ideal de rotação, as mudas tendem a apresentar enovelamento do sistema radicular, imposto pela restrição de espaço explorável de substrato, baixo vigor vegetativo, redução de área foliar, maior predisposição a determinadas doenças, entre outras desvantagens. Além disso, ao ficarem por mais tempo no viveiro, os custos da produção também aumentam, pelo fato da ocupação da área de produção de mudas, a mão de obra envolvida, custos com irrigações e possíveis combates a doenças. Desta maneira, os interceptos entre as curvas de incremento corrente e médio diário encontrados neste trabalho poderão auxiliar na tomada de decisão em relação ao tempo ideal de rotação das mudas no viveiro.
O crescimento inicial superior observado nas adubações com NPK está estreitamente ligado a rápida disponibilização dos nutrientes as mudas. Entretanto, apesar deste tipo de adubação elevar a velocidade de crescimento, as perdas por lixiviação, características desta composição nutricional, ocasionam uma estabilização do crescimento antes mesmo das mudas atingirem padrões de altura e diâmetro de colo para o plantio. Neste período, as mudas atingiram dimensões de 21,57 cm de altura e 2,84 mm de diâmetro de colo para a dosagem de 2,0 g t-1, e de 20,90 cm de altura e 3,0 de diâmetro para 4,0 g t-1.
Uma alternativa para o bom desempenho deste tipo de fertilização seria a aplicação periódica de nitrogênio e fósforo através da irrigação, sendo a aplicação de potássio desnecessária, pois esta espécie não responde a aplicação deste mineral (RAMOS, 2000).
Outra alternativa a ser considerada é a utilização consorciada entre os adubos testados de modo que o NPK promova o crescimento inicial da muda e o Basacote® com a liberação lenta no final. O efeito da fertilização com adubos capsulados pode ser visualizado no trabalho de TEIXEIRA et al. (2009), onde dentre os adubos de liberação lenta testados, o Basacote mini®foi mais eficiente que o Osmocote®no período de pré-viveiro em mudas de dendezeiro, possivelmente por possuir o tempo de liberação total dos nutrientes de cerca de três meses e o Osmocote®de 5-6 meses, conforme destacam os autores.
Os critérios técnicos de intercepto entre as curvas de incremento corrente diário e incremento médio diário, e do ponto de máximo da curva de velocidade de crescimento, já são recomendados para mudas de eucalipto por MAFIA et al. (2005) e, da mesma forma, podem ser utilizados para mudas de Bauhinia forficata com vistas a avaliação do padrão de qualidade de mudas. Dentre os parâmetros a serem utilizados para esta avaliação, a adoção somente da altura para estimar a qualidade de mudas pode ser usual, uma vez que a mesma apresentou boa representatividade, além de sua fácil mensuração e não ser um método destrutivo, como citado por GOMES et al. (2002) para mudas de Eucalyptus grandis.
Conclusões
Nas condições em que o estudo foi conduzido, observaram-se respostas distintas quanto à dinâmica de crescimento das mudas de Bauhinia forficata quando submetidas a diferentes regimes de fertilização.
A influência da fertilização no sistema de produção de mudas em casa de vegetação é positiva, aumentando a velocidade de crescimento das mesmas. Esta influência pronuncia-se mais efetivamente sobre o parâmetro altura da muda.
Conforme análise do incremento corrente diário e incremento médio diário, a utilização de fertilizantes de liberação lenta (controlada) mostra maior eficiência sobre o ritmo de crescimento e sobre a idade de rotação técnica das mudas em casa de vegetação.
Quando utilizada fertilização do tipo NPK, as aplicações devem ser periódicas para que as mudas atinjam o padrão técnico que as tornem aptas ao plantio em campo.
Referências bibliográficas
ALFENAS, A.C., ZAUZA, E.A.V., MAFIA, R.G., ASSIS, T.F., 2004. Clonagem e doenças do eucalipto. Viçosa, Universidade Federal de Viçosa, 442 pp. [ Links ]
CARVALHO, P.E.R., 2003. Espécies Arbóreas Brasileiras. Colombo, Embrapa Floresta, 1039 pp. [ Links ]
CECONI, D.E., POLETTO, I., BRUN, E.J., LOVATO, T., 2006. Crescimento de mudas de açoita-cavalo (Luehea divaricata Mart.) sob influência da adubação fosfatada. Cerne 12(3) : 292-299. [ Links ]
CECONI, D.E., POLETTO, I., LOVATO, T., MUNIZ, M.F.B., 2007. Exigência nutricional de mudas de erva-mate (Ilex paraguariensis a. St.-Hil) à adubação fosfatada. Ciência Florestal 17(1) : 25-32. [ Links ]
GALLO, D., NAKANO, O., NETO, S.S., 1978. Manual de entomologia agrícola. São Paulo, Agronômica Ceres, 531 pp. [ Links ]
LEITE, H.G., OLIVEIRA, F.H.T., 2002. Statistical method to test the identity of analytical methods. Communications in Soil Science Plant Analysis 6(1) : 22. [ Links ]
LORENZI, H., 1998. Árvores brasileiras: manual para identificação e cultivo de plantas arbóreas do Brasil. Nova Odessa, Instituto Plantarum, 352 pp. [ Links ]
LORENZI, H., 2002. Árvores brasileiras: manual de identificação e cultivo de plantas arbóreas do Brasil. 2ª ed. Nova Odessa, Instituto Plantarum, 384 pp. [ Links ]
MAFIA, R.G., ALFENAS, A.C., SIQUEIRA, L., FERREIRA, E.M., LEITE, H.G., CAVALLAZZI, J.R.P., 2005. Critério técnico para determinação da idade ótima de mudas de eucalipto para plantio.Revista Árvore 29(6) : 947-953. [ Links ]
PAIVA, H.N., GOMES, J.M., 1995. Viveiros florestais. Viçosa, Imprensa Universitária, 56 pp. [ Links ]
PEZZUTTI, R.V., SCHUMACHER, M.V., HOPPE, J.M., 1999. Crescimento de mudas de Eucalyptus globulus em resposta à fertilização NPK. Ciência Florestal 9(2) : 117-125. [ Links ]
RAMOS, M.R.C., PINTO, J.E.P.B., FURTINI NETO, A.E., DAVIDE, A.C., 2000. Influencia da aplicação de nitrogênio, fósforo e potássio no crescimento e composição mineral de mudas de pata-de-vaca (Bauhinia forficata Link). Revista Brasileira de Plantas Medicinais 3(1) : 79-86. [ Links ]
SANTOS, C. B. LONGHI, S.J., HOPPE, J.M., MOSCOVICH, F.A., 2000. Efeito do volume de tubetes e tipos de substratos na qualidade de mudas de Cryptomeria japonica (L. F.) D. Don. Ciência Florestal 10(2) : 1-15. [ Links ]
SAS LEARNING EDITION, 2002. Getting started with the SAS Learning Edition.Cary, 200 pp. [ Links ]
SCHUMACHER, M.V., CECONI, D.E., SANATANA, C.A., 2003. Influência de diferentes doses de fósforo no crescimento de plantas de Peltophorum dubium (Sprengel) Taubert. Boletim de Pesquisa Florestal 47(1) : 99-114. [ Links ]
SCHUMACHER, M.V., CECONI, D.E., SANTANA, C.A., 2004. Influência de diferentes doses de fósforo no crescimento de mudas de Angico-vermelho (Parapiptadenia rigida (Bentham) Brenam). Revista Árvore 28(1) : 149-155. [ Links ]
TEIXEIRA, C.P., RODRIGUES, H.S., LIMA, W.A.A., ROCHA, R.N.C., LOPES, R.N.V.C.R., 2009. Influência da disposição dos tubetes e da aplicação de fertilizantes de liberação lenta, durante o pré-viveiro, no crescimento de mudas de dendezeiro (Elaeis guineensis Jacq.). Ciência Florestal 19(2) : 157-168. [ Links ]
Entregue para publicação em março de 2013
Aceite para publicação em maio de 2013












